Beam Deflection: Solving for Unknowns at a Given Point

Click For Summary

Discussion Overview

The discussion revolves around the calculation of beam deflection, specifically addressing the use of singularity functions in determining deflection at various points along a beam. Participants explore the implications of these functions in the context of maximum deflection and the conditions under which certain values are assumed to be zero.

Discussion Character

  • Homework-related
  • Technical explanation
  • Debate/contested

Main Points Raised

  • Some participants assert that the value of C2 in the deflection equation should be zero when x=0, referencing the definition of the singularity function.
  • Others question the reasoning behind the singularity function's value at specific points, particularly when determining maximum deflection.
  • There is a discussion about the definition of the singularity function and its implications for values of x relative to a.
  • Some participants propose that the singularity function simplifies deflection calculations, especially when using the double integration method.
  • Concerns are raised about the assumptions made regarding the value of a and its relationship to x in the context of maximum deflection.

Areas of Agreement / Disagreement

Participants express differing views on the application and implications of the singularity function, with no consensus reached on the interpretation of specific values and their relevance to beam deflection calculations.

Contextual Notes

Participants note that the beam must be analyzed in segments depending on loading conditions, which may complicate calculations if singularity functions are not employed. The discussion highlights the importance of definitions and assumptions in solving beam deflection problems.

chetzread
Messages
798
Reaction score
1

Homework Statement


determine deflection of beam
m6vCPT1.jpg

RoiNzgx.jpg

Homework Equations

The Attempt at a Solution


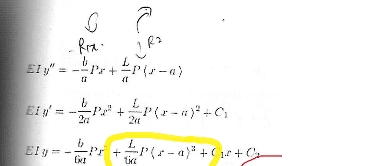
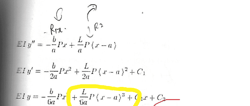
at x=0, y=0 , i found that C2 = LP(a^2)/6 (circled part) but the author gt 0, which is correct?
 
Physics news on Phys.org
chetzread said:

Homework Statement


determine deflection of beam
m6vCPT1.jpg

RoiNzgx.jpg

Homework Equations

The Attempt at a Solution


at x=0, y=0 , i found that C2 = LP(a^2)/6 (circled part) but the author gt 0, which is correct?

The author is correct.

##EIy = -\frac{b}{6a}Px^3 + \frac{L}{6a}P<x-a>^3+C_1x+C_2##

When x = 0, y = 0, and the expression <x-a> = 0, due to the definition of the singularity function <x-a>, and C2 = 0 as described in the text.
 
SteamKing said:
The author is correct.

##EIy = -\frac{b}{6a}Px^3 + \frac{L}{6a}P<x-a>^3+C_1x+C_2##

When x = 0, y = 0, and the expression <x-a> = 0, due to the definition of the singularity function <x-a>, and C2 = 0 as described in the text.
why <x-a> = 0 ?
 
chetzread said:
why <x-a> = 0 ?
The way a singularity function is defined:

<x-a> = 0, if x - a < 0
<x-a> = 1, if x - a > 0

Some other properties are found in this article:

https://en.wikipedia.org/wiki/Singularity_function

You should check your text for the precise definition.
 
  • Like
Likes   Reactions: chetzread
SteamKing said:
The way a singularity function is defined:

<x-a> = 0, if x - a < 0
<x-a> = 1, if x - a > 0

Some other properties are found in this article:

https://en.wikipedia.org/wiki/Singularity_function

You should check your text for the precise definition.
my notes doesn't hv explanation on this
 
SteamKing said:
The way a singularity function is defined:

<x-a> = 0, if x - a < 0
<x-a> = 1, if x - a > 0

Some other properties are found in this article:

https://en.wikipedia.org/wiki/Singularity_function

You should check your text for the precise definition.
since x - a > 0, so <x-a> = 1 , am i right ? why the author take <x-a> = 0 ?
 
chetzread said:
since x - a > 0, so <x-a> = 1 , am i right ? why the author take <x-a> = 0 ?
When x = 0, <0 - a> = -a; -a < 0; <0-a> = 0, according to the definition of the singularity function
 
chetzread said:
my notes doesn't hv explanation on this
What about your textbook? Do you have a textbook for this course? What does it say?
 
SteamKing said:
What about your textbook? Do you have a textbook for this course? What does it say?
ok , i have another part of question here . in the working , the maximum deflection occur at x= (1/sqrt rt 3) ,
why the author ignore the LP[(x-a)^3]/ (6a) at x = (1/sqrt rt 3) ?
by ignoring the at LP[(x-a)^3]/ (6a) at x= (1/sqrt rt 3) , the author assume x-a <0 ?
but , the value of a is unknown , how to know that x-a<0 ?

WceUCUV.jpg

Pa51WwX.png
 
Last edited:
  • #10
chetzread said:
ok , i have another part of question here . in the working , the maximum deflection occur at x= (1/sqrt rt 3) ,
why the author ignore the LP[(x-a)^3]/ (6a) at x = (1/sqrt rt 3) ?
by ignoring the at LP[(x-a)^3]/ (6a) at x= (1/sqrt rt 3) , the author assume x-a <0 ?
but , the value of a is unknown , how to know that x-a<0 ?

WceUCUV.jpg

Pa51WwX.png

I think the author is clumsily trying to say that the singularity function <x-a> = 0 where the deflection is at a maximum. Instead of saying "do not exist", it would probably be better to say that "<x-a> vanishes" at that location.

Anyhow, once that fact is recognized, then the location x of the maximum deflection can be solved for as illustrated.
 
  • Like
Likes   Reactions: chetzread
  • #11
SteamKing said:
I think the author is clumsily trying to say that the singularity function <x-a> = 0 where the deflection is at a maximum. Instead of saying "do not exist", it would probably be better to say that "<x-a> vanishes" at that location.

Anyhow, once that fact is recognized, then the location x of the maximum deflection can be solved for as illustrated.
how could that be ? the value of a is unknown
 
  • #12
chetzread said:
how could that be ? the value of a is unknown
No, it isn't. a is the distance between R1 and R2. Look at the beam diagram.
 
  • #13
SteamKing said:
No, it isn't. a is the distance between R1 and R2. Look at the beam diagram.
if it' so , x > a , so x-a > 0 , so <x-a> should be =1 , right ?
 
  • #14
chetzread said:
if it' so , x > a , so x-a > 0 , so <x-a> should be =1 , right ?
It's not a which is unknown, it is the value of x at which the deflection is a maximum.
 
  • Like
Likes   Reactions: chetzread
  • #15
SteamKing said:
I think the author is clumsily trying to say that the singularity function <x-a> = 0 where the deflection is at a maximum. Instead of saying "do not exist", it would probably be better to say that "<x-a> vanishes" at that location.

Anyhow, once that fact is recognized, then the location x of the maximum deflection can be solved for as illustrated.
why <x-a> = 0 when deflection is at a maximum ??
 
  • #16
chetzread said:
why <x-a> = 0 when deflection is at a maximum ??
Specifically, the problem is looking for the location of the maximum deflection between the supports.

The quantity <x-a> is going to be zero because x is located between between the supports and x = a is the location of the right support. That's just the definition of the singularity function in this case. It helps to check the beam diagram for this problem.
 
  • Like
Likes   Reactions: chetzread
  • #17
SteamKing said:
Specifically, the problem is looking for the location of the maximum deflection between the supports.

The quantity <x-a> is going to be zero because x is located between between the supports and x = a is the location of the right support. That's just the definition of the singularity function in this case. It helps to check the beam diagram for this problem.
x is located between supports ? but , in the diagram , x span from R1 and beyond R2 ?
What do you mean ?
 
  • #18
chetzread said:
x is located between supports ? but , in the diagram , x span from R1 and beyond R2 ?
What do you mean ?
x is the length coordinate of the beam with origin at the left support, i.e. x = 0 there.

Sure, x can be used to locate stuff along the entire length of the beam (even beyond the location of the right support), but this particular question asks the student to find the location of maximum deflection between the supports, i.e. find max. δ(x) such that 0 ≤ x ≤ a. Again, refer to the diagram.
 
  • Like
Likes   Reactions: chetzread
  • #19
SteamKing said:
x is the length coordinate of the beam with origin at the left support, i.e. x = 0 there.

Sure, x can be used to locate stuff along the entire length of the beam (even beyond the location of the right support), but this particular question asks the student to find the location of maximum deflection between the supports, i.e. find max. δ(x) such that 0 ≤ x ≤ a. Again, refer to the diagram.
Can you explain what is the purpose of having singularity function in beam problem?
 
  • #20
chetzread said:
Can you explain what is the purpose of having singularity function in beam problem?
Their use can simplify the deflection calculations, especially when the double integration method is used to calculate deflections.
 
  • Like
Likes   Reactions: chetzread
  • #21
SteamKing said:
Their use can simplify the deflection calculations, especially when the double integration method is used to calculate deflections.
if they are not used,then the calculation will become complicated?
I'm still blurred. Taking the case from post#1 as an example, why singularity function said that <x-a> =0 if x<a ?
 
  • #22
chetzread said:
if they are not used,then the calculation will become complicated?

Yes. The beam must be split into many different pieces, depending on how it is loaded.
I'm still blurred. Taking the case from post#1 as an example, why singularity function said that <x-a> =0 if x<a ?
Because that is how the singularity function is defined.

If x < a, then the singularity function <x-a> = 0
If x > a, then the singularity function <x-a> = (x - a)
 
  • Like
Likes   Reactions: chetzread
  • #23
SteamKing said:
Yes. The beam must be split into many different pieces, depending on how it is loaded.

Because that is how the singularity function is defined.

If x < a, then the singularity function <x-a> = 0
If x > a, then the singularity function <x-a> = (x - a)
what do you mean by
The beam must be split into many different pieces ?
 
  • #24
chetzread said:
what do you mean by
The beam must be split into many different pieces ?
Just that. If you have many different loads, then the shear force curve and the bending moment curve will be affected by all these different loads and their location along the beam. If you have a single distributed load running the entire length of the beam, that is the simplest loading to analyze. If you have a mix of point loads and distributed loads, or just several point loads, the analysis becomes more complicated. It's hard to describe without having an example problem to use as an illustration.
 
  • Like
Likes   Reactions: chetzread
  • #25
SteamKing said:
Just that. If you have many different loads, then the shear force curve and the bending moment curve will be affected by all these different loads and their location along the beam. If you have a single distributed load running the entire length of the beam, that is the simplest loading to analyze. If you have a mix of point loads and distributed loads, or just several point loads, the analysis becomes more complicated. It's hard to describe without having an example problem to use as an illustration.
can you explain using the example in post #1?
 

Similar threads

  • · Replies 8 ·
Replies
8
Views
3K
  • · Replies 11 ·
Replies
11
Views
3K
  • · Replies 10 ·
Replies
10
Views
4K
  • · Replies 8 ·
Replies
8
Views
3K
  • · Replies 1 ·
Replies
1
Views
3K
Replies
1
Views
2K
  • · Replies 2 ·
Replies
2
Views
2K
  • · Replies 1 ·
Replies
1
Views
2K
  • · Replies 7 ·
Replies
7
Views
3K
  • · Replies 1 ·
Replies
1
Views
2K