Bird's book "Transport Phenomena"

Click For Summary

Discussion Overview

The discussion revolves around the treatment of pressure in the context of the Hagen-Poiseuille equation as presented in Bird's book "Transport Phenomena." Participants are examining the differences in how pressure is accounted for in various exercises, specifically contrasting a pipe flow scenario with a thin film exercise.

Discussion Character

  • Technical explanation
  • Debate/contested

Main Points Raised

  • One participant notes a discrepancy in the treatment of pressure in the Hagen-Poiseuille equation, questioning why a term related to pressure seems to have disappeared in a specific exercise.
  • Another participant references the equation from their 1960 edition of the book, providing the formula for flow rate and the definition of pressure, but seeks clarification on the specific exercise being discussed.
  • A participant mentions the chapter and edition of the book where the momentum balance in a pipe is discussed, indicating a potential difference in treatment between editions.
  • There is a query about the role of gravity in the context of the exercise, suggesting that it may not have been considered in the same way as in the Hagen-Poiseuille scenario.
  • One participant expresses uncertainty about the thin film exercise, suggesting it might involve vertical flow, and requests more details about the specific problem to assist in understanding the issue.

Areas of Agreement / Disagreement

Participants do not appear to reach a consensus on the treatment of pressure in the exercises discussed. Multiple viewpoints and uncertainties remain regarding the specific details of the exercises and how they relate to the Hagen-Poiseuille equation.

Contextual Notes

There are limitations in the discussion due to missing details about the specific thin film exercise, as well as potential differences between editions of the book that may affect the interpretation of the equations and concepts presented.

Est120
Messages
54
Reaction score
3
in the book " transport phenomena" (Bird) when obtaining the famous equation of hagen poiseuille
Bird defines a variable that involves the pressure, but when doing an exercise a term magically disappeared, someone could explain to me what happened
why we took into account the pressure in this balance and in the previous exercise (thin film) we did not

watch this
 
Physics news on Phys.org
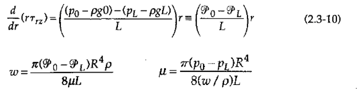
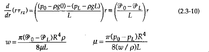
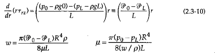
I have a 1960 edition (!) and found HP $$Q={\pi \left ( {\mathfrak P}_0 - {\mathfrak P}_L \right ) R^4\over 8\mu L}\qquad\qquad(2.3-19)$$
##{\mathfrak P} = p - \rho gz## and (2.3-10) is as in your picture.

What exercise are you referring to with

1566677888919.png
 
  • Like
Likes   Reactions: berkeman
BvU said:
I have a 1960 edition (!) and found HP $$Q={\pi \left ( {\mathfrak P}_0 - {\mathfrak P}_L \right ) R^4\over 8\mu L}\qquad\qquad(2.3-19)$$
##{\mathfrak P} = p - \rho gz## and (2.3-10) is as in your picture.

What exercise are you referring to with

View attachment 248629
In chapter 2 ,but in 2nd edition after balancing momentum in a pipe
 
The term that involves gravity ,what happens with that term?
 
Est120 said:
we took into account the pressure in this balance and in the previous exercise (thin film) we did not
Didn't find a thin film exercise -- but it will likely be vertical flow. Perhaps yours is horizontal ? Still don't know what exercise you are referring to. Can you post the complete problem statement for the example you are asking about or do you want me to keep sleuthing ?
 
  • Like
Likes   Reactions: vanhees71

Similar threads

  • · Replies 5 ·
Replies
5
Views
3K
  • · Replies 9 ·
Replies
9
Views
2K
  • · Replies 19 ·
Replies
19
Views
7K
  • · Replies 10 ·
Replies
10
Views
3K
  • · Replies 2 ·
Replies
2
Views
3K
  • · Replies 0 ·
Replies
0
Views
2K
  • · Replies 5 ·
Replies
5
Views
2K
  • · Replies 12 ·
Replies
12
Views
3K
  • · Replies 7 ·
Replies
7
Views
3K
Replies
6
Views
2K