Boundary conditions of linear materials

Click For Summary

Homework Help Overview

The discussion revolves around the boundary conditions of linear materials in the context of magnetostatics, specifically focusing on the magnetic field within a uniformly magnetized sphere. Participants are attempting to analyze parts d), e), and f) of a problem related to the magnetic field and magnetization, exploring the implications of different magnetic properties and boundary conditions.

Discussion Character

  • Mixed

Approaches and Questions Raised

  • Participants are exploring the relationships between the magnetic field (B), magnetic field strength (H), and magnetization (M) within and around the uniformly magnetized sphere. There are attempts to derive boundary conditions and clarify the roles of different components of H and M. Some participants question the correctness of assumptions made regarding the magnetic field equations and the influence of outer layers on the magnetic properties.

Discussion Status

The discussion is ongoing, with participants providing insights and questioning each other's reasoning. Some guidance has been offered regarding the use of boundary conditions and the implications of the magnetic properties, but there is no explicit consensus on the interpretations or methods being discussed.

Contextual Notes

There are indications of confusion regarding the application of certain magnetic equations, particularly in relation to the presence of outer layers and the assumptions about linear materials. Participants are also referencing external resources to deepen their understanding of the topic.

Tony Hau
Messages
107
Reaction score
30
Homework Statement
Please see the picture below
Relevant Equations
1) ##\vec M = \chi_m \vec H##
2)##\vec B = \mu \vec H##
Boundary conditions:
1) ##H^{\perp}_{above} - H^{\perp}_{below}= -(M^{\perp}_{above} - M^{\perp}_{below})##
2) ##H^{\parallel}_{above} - H^{\parallel}_{below} = K_{free} \times \hat n##
The question is as follows:
1607839563985.png

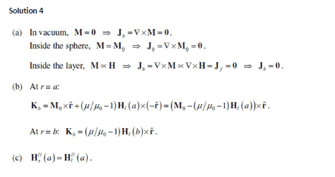
Solutions given only contain part a) to c), which is as follows:
1607839613473.png

So I now try to attemp d), e) and f).
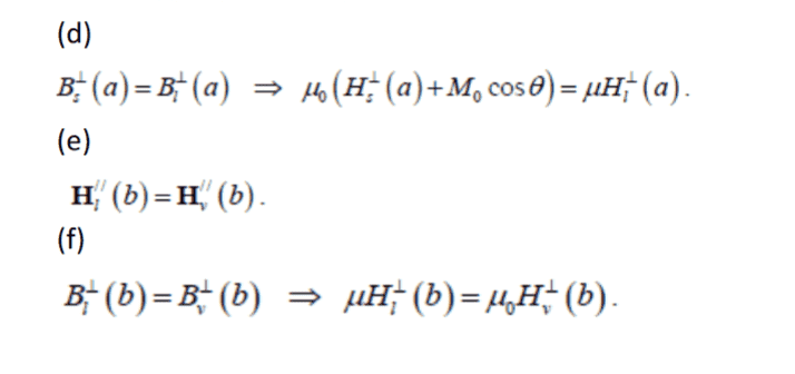
d)
The magnetic field of a uniformly magnetized sphere is:
$$ \vec B =\frac{2}{3}\mu_{o} \vec M = \mu_{o}\vec H$$
$$\frac{2}{3}\vec M = \vec H$$
The perpendicular component of ##\vec H## is: $$ H^{\perp}_{s} = \vec H \cdot \hat r = \frac{2}{3} \vec M \cdot \hat r$$

e) ##H^{\parallel}_{above} - H^{\parallel}_{below} = \vec K_{free} \times \hat n =0##,
Therefore, $$H^{\parallel}_{l}(a) = H^{\parallel}_{s}(a)$$

f)
By $$\oint \vec H \cdot d\vec a= - \oint \vec M \cdot d\vec a$$
$$ H^{\perp}_{above} - H^{\perp}_{below}= -(M^{\perp}_{above} - M^{\perp}_{below})$$
Given that:
##H^{\perp}_{below} = \vec H_{s}(a) \cdot \hat r##
##M^{\perp}_{above} = \vec M_{above} \cdot \hat r = \chi_{m} \vec H_{l}(a) \cdot \hat r##
##M^{\perp}_{below} = \vec M \cdot \hat r##
Therefore, $$ H^{\perp}_{above} - \vec H_{s}(a) \cdot \hat r = - (\chi_{m} \vec H_{l}(a) \cdot \hat r - \vec M \cdot \hat r)$$
$$ H^{\perp}_{l} = - (\chi_{m} \vec H_{l}(a) \cdot \hat r - \vec M \cdot \hat r)+ \vec H_{s}(a) \cdot \hat r = - [(\frac{\mu}{\mu_{o}}-1) \vec H_{l}(a) \cdot \hat r - \vec M \cdot \hat r] +\frac{2}{3}\vec M \cdot \hat r$$

I cannot proceed further, or I do not even know if I am correct. Can anyone give me any advice?
 
  • Like
Likes   Reactions: Delta2
Physics news on Phys.org
You don't know what ## B ## is doing inside the uniformly magnetized sphere, because it will be affected by the ## H ## from contributions from the outer layer. To compute the boundary condition of the perpendicular component of ## H##, you just need ## \nabla \cdot H =-\nabla \cdot M ##, (comes from ## \nabla \cdot B=0 ##, and ## B=\mu_o (H+M) ##), which will give you ## H_{1} \cdot \hat{n}_1+H_{2} \cdot \hat{n}_2=-(M_{1} \cdot \hat{n}_1+M_2 \cdot \hat{n}_2) ##. The dot products will give you the perpendicular components. There will also be minus signs, because ## \hat{n}_1=-\hat{n}_2 ##, etc.

@vanhees71 You might find this one of interest as well, and I welcome your inputs=I think I got it right, but please confirm. :)
 
Last edited:
  • Like
Likes   Reactions: Delta2 and Tony Hau
Charles Link said:
You don't know what ## B ## is doing inside the uniformly magnetized sphere, because it will be affected by the ## H ## from contributions from the outer layer. To compute the boundary condition of the perpendicular component of ## H##, you just need ## \nabla \cdot H =-\nabla \cdot M ##, (comes from ## \nabla \cdot B=0 ##, and ## B=\mu_o (H+M) ##), which will give you ## H_{1} \cdot \hat{n}_1+H_{2} \cdot \hat{n}_2=-(M_{1} \cdot \hat{n}_1+M_2 \cdot \hat{n}_2) ##. The dot products will give you the perpendicular components. There will also be minus signs, because ## \hat{n}_1=-\hat{n}_2 ##, etc.

@vanhees71 You might find this one of interest as well, and I welcome your inputs=I think I got it right, but please confirm. :)
But isn't it what I am doing for part f? $$ \nabla \cdot \vec H = -\nabla \cdot \vec M$$ $$ \oint \vec H \cdot d\vec a = -\oint \vec M \cdot d\vec a$$
 
  • Like
Likes   Reactions: Charles Link
Upon reading further down, you did some things very well. When I posted, I only read through part (d), and I don't agree with it. The ## M ## in that region is simply fixed. Meanwhile, where does ## B=\mu_o H ## come from? (If you meant ## B=\mu H ##, that would also be incorrect for this region). Once again, I don't think you can say ## B=(2/3) \mu_o M ##. That would be the case only if there were no outer layer.
 
  • Like
Likes   Reactions: Delta2 and Tony Hau
Charles Link said:
Upon reading further down, you did some things very well. When I posted, I only read through part (d), and I don't agree with it. The ## M ## in that region is simply fixed. Meanwhile, where does ## B=\mu_o H ## come from? (If you meant ## B=\mu H ##, that would also be incorrect for this region). Once again, I don't think you can say ## B=(2/3) \mu_o M ##. That would be the case only if there were no outer layer.
Yes, ##\vec B = \mu \vec H## is what I meant. I use this equation because there is no linear material in this inner magnetized sphere. Hence, we can assume that ##\mu## in ##\vec B = \mu \vec H## can be assumed to be ##\mu_o##. Why is it incorrect for this region?

By the way, I have come up with one solution to calculate the magnetic ##B## ## ##field inside the sphere. We can do this by calculating the magnetic field produced by the surface currents at ##r = a## and ##r=b## respectively, which is calculated in part b. After all, all the fields produced by the linear layer equals to that produced by the surface currents.
 
Last edited:
When you have a specified ##M ## inside the material, the ## H ## is computed as always from any and all magnetic poles, using the inverse square law, with magnetic pole density ## \rho_m=-\nabla \cdot M ##, (along with the contribution to ## H ## from any currents in conductors using Biot-Savart). The ## H ## will not affect the ##M ## in this case. You still have ## B=\mu_o(H+M) ##.
(Note: You do not have ## M=\chi H ## for this case. You cannot say ## H=M/\chi ##. )

See https://www.physicsforums.com/threads/a-magnetostatics-problem-of-interest-2.971045/
You might find this worthwhile reading.
 
Last edited:
  • Like
Likes   Reactions: Tony Hau
Charles Link said:
When you have a specified ##M ## inside the material, the ## H ## is computed as always from any and all magnetic poles, using the inverse square law, with magnetic pole density ## \rho_m=-\nabla \cdot M ##, (along with the contribution to ## H ## from any currents in conductors using Biot-Savart). The ## H ## will not affect the ##M ## in this case. You still have ## B=\mu_o(H+M) ##.
(Note: You do not have ## M=\chi H ## for this case. You cannot say ## H=M/\chi ##. )

See https://www.physicsforums.com/threads/a-magnetostatics-problem-of-interest-2.971045/
You might find this worthwhile reading.
Alright. But your article is a bit complicated and may take some time...
 
  • Like
Likes   Reactions: Charles Link
  • Like
Likes   Reactions: Tony Hau
The solution is finally released:
Screenshot (141).png
 
  • Like
Likes   Reactions: Charles Link
  • #10
Do you see how they did part (d)? They had to use ## H_s ##, which can have contributions from the outer layer.

If the outer layer is absent, then ## H_s ## is uniform throughout the entire interior of the sphere including ## H_s(a) ## and is then ## \vec{H}_s(a)=-\vec{M}/3 ##.

With the outer layer in place, they don't ask you to compute ## H_s ##. That would be rather difficult, and they simply want the boundary condition for now.
 
  • Like
Likes   Reactions: Tony Hau
  • #11
However I have come up with another way for d) and f):
For d), $$ \nabla \cdot \vec H = - \nabla \cdot \vec M$$, $$ H^{\perp}_{l} - H^{\perp}_{s} = -(M^{\perp}_{l} - M^{\perp}_{s})$$
Given that:
##M^{\perp}_{l} = \vec M_{l} \cdot \hat r##

For ##\vec M_{l}##, because ## \vec B_{l} = \mu_o (\vec H_{l} + \vec M_{l})##,
##\mu \vec H_{l} = \mu_o (\vec H_{l} +\vec M_{l})##,
##(\frac{\mu}{\mu_o}-1)\vec H_{l} = \vec M_{l}##,
##M^{\perp}_{l} = (\frac{\mu}{\mu_o}-1)\vec H_{l} \cdot \hat r = \vec M_{l} \cdot \hat r##,

Therefore, $$ H^{\perp}_{l} - H^{\perp}_{s} = -((\frac{\mu}{\mu_o}-1)H^{\perp}_{l} - \vec M_{l} \cdot \hat r)$$
$$\mu H^{\perp}_{l} = \mu_o \vec M_{l} \cdot \hat r + \mu_o H^{\perp}_{s}$$

For f),
By $$ H^{\perp}_{v} - H^{\perp}_{l} = -(M^{\perp}_{v} - M^{\perp}_{l} )$$,
Because $$M^{\perp}_{v} =0$$,
therefore, $$H^{\perp}_{v}= \frac{\mu}{\mu_o} H^{\perp}_{l}$$

After reading a passage from Electromagnetics by John Kraus, I finally understand when to apply ##\vec B = \mu_o(\vec H + \vec M)## and ##\vec B = \mu \vec H##. The paragraph reads as follows:

##\dots## In isotropic media ##\vec M## and ##\vec H## are in the same direction, so that their quotient is a scalar and hence ##\mu## is a scalar. In nonisotropic media, such as crystals, ##\vec M## and ##\vec H## are, in general, not in the same direction, and ##\mu## is not a scalar. Hence, ##\vec B = \mu_o(\vec H + \vec M)## is a general relation, while ##\vec B = \mu \vec H## is a more consise expression, which, however, has a simple significance only for isotropic media or certain special cases in nonisotropic media.
 
  • #12
Charles Link said:
Do you see how they did part (d)? They had to use ## H_s ##, which can have contributions from the outer layer.

If the outer layer is absent, then ## H_s ## is uniform throughout the entire interior of the sphere including ## H_s(a) ## and is then ## \vec{H}_s(a)=-\vec{M}/3 ##.

With the outer layer in place, they don't ask you to compute ## H_s ##. That would be rather difficult, and they simply want the boundary condition for now.
The outer layer is magnetized and radiates H field, which alters the H field inside the sphere, am I right?
 
  • Like
Likes   Reactions: Charles Link
  • #13
Tony Hau said:
Therefore,
Right after "Therefore", you should have ## M_s ## in that expression, not ## M_l ##. Otherwise, part (d) that you have there looks correct to me. :)
 
  • Like
Likes   Reactions: Tony Hau
  • #14
Tony Hau said:
The outer layer is magnetized and radiates H field, which alters the H field inside the sphere, am I right?
Yes, and it is not uniform and not simply in the z-direction, like the ## H ## field is inside the sphere for the case of no outer layer. With no outer layer, the ## H=-M/3 ## field inside the sphere is much simpler.
 
  • Like
Likes   Reactions: Tony Hau

Similar threads

Replies
10
Views
3K
  • · Replies 17 ·
Replies
17
Views
5K
  • · Replies 5 ·
Replies
5
Views
4K
Replies
1
Views
2K
Replies
7
Views
3K
  • · Replies 1 ·
Replies
1
Views
2K
  • · Replies 3 ·
Replies
3
Views
2K
Replies
2
Views
2K
  • · Replies 4 ·
Replies
4
Views
3K
Replies
3
Views
3K