Calculate the maximum deflection of a simply supported beam

Click For Summary

Discussion Overview

The discussion revolves around calculating the maximum deflection of a simply supported beam subjected to a point load and a uniformly distributed load (udl). Participants explore various methods and equations related to beam deflection, including moment calculations and the use of different mathematical approaches.

Discussion Character

  • Technical explanation
  • Mathematical reasoning
  • Debate/contested
  • Homework-related

Main Points Raised

  • One participant expresses uncertainty about their initial approach to the problem and the calculations involved.
  • Another participant provides a detailed solution, including equations for moments and deflections, and acknowledges corrections from another user.
  • Some participants discuss the complexity of the resulting cubic equation and the challenges in solving it, with one noting the potential for complex roots.
  • Several users share their calculated values for maximum deflection and the position at which it occurs, with slight variations in results.
  • There is a disagreement regarding the moment equation and the treatment of different segments of the beam, with one user suggesting that the section before a certain point can be neglected.
  • Participants mention different methods for solving equations, including Newton's method and Macaulay's method, discussing their applicability in structural problems.
  • One user reflects on the practical application of using L/2 as an estimate for maximum deflection in simpler exercises.

Areas of Agreement / Disagreement

Participants do not reach a consensus on the moment equations and the treatment of the beam sections. There are multiple competing views on how to approach the problem and solve the cubic equation, indicating that the discussion remains unresolved.

Contextual Notes

Participants highlight the complexity of the calculations and the potential for different results based on the methods used. There are mentions of unresolved mathematical steps and the dependence on specific assumptions in the calculations.

Who May Find This Useful

This discussion may be useful for students and professionals interested in structural engineering, particularly those dealing with beam deflection calculations and related mathematical methods.

Buzz_Lightyear
E=220GN/m²
L= 7m
W= 20kN at 2m from the left edge.
udl=10kN/m from x=2 to x=7Beam supported in x=0 and x=7


I am not sure ir this is the way to do it.
 

Attachments

  • IMG_20170930_140616.jpg
    IMG_20170930_140616.jpg
    21.5 KB · Views: 830
  • IMG_20170930_133132.jpg
    IMG_20170930_133132.jpg
    22.7 KB · Views: 759
Physics news on Phys.org
Here is my post corrected by suggestion of Chestermiller. I would like to thank him for showing me how to do it properly.

1. Homework Statement :

E=220GN/m²
L= 7m
W= 20kN at 2m from the left edge.
udl=10kN/m from x=2 to x=7
Beam supported in x=0 and x=7
width= 20mm
height=40mm

Homework Equations


$$EI\frac{\partial ²y}{\partial x²}=M$$
$$I=\frac{width\times height³}{12}$$

The Attempt at a Solution


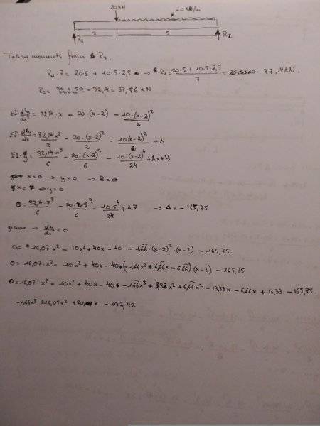
Taking moments from R2:

$$R1\times7=20\times5+10\times5\times2,5$$
$$R1=\frac{20\times5+10\times5\times2,5}{7}=32.14kN$$
$$R2=20+50-32.14=37.86kN$$
$$EI\frac{\partial²y}{\partial x²}=32.14x-20\times(x-2)-10\times\frac{(x-2)²}{2}$$
$$EI\frac{\partial y}{\partial x}=\frac{32.14x²}{2}-\frac{20\times(x-2)²}{2}-10\times\frac{(x-2)³}{6}+A$$
$$EIy=\frac{32.14x³}{6}-\frac{20\times(x-2)³}{6}-10\times\frac{(x-2)⁴}{24}+Ax+B$$
If x=0 then y=0 then B=0
If x=7 then y=0:

$$0=\frac{32.14\times7³}{6}-\frac{20\times(7-2)³}{6}-10\times\frac{(7-2)⁴}{24}+A7$$
$$A=-165.5$$

y=max when dy/dx=0

$$0=16.07x²-10x²-40x-40-1.6666(x-2)²\times(x-2)-165.75$$
developing this equation I get:

$$0=-1.6666x³+16.05x²+20x-192.42$$

I am not very sure if this is all right. I didn't spect to get a third grade ecuation for this problem. I don't know how to continue from here
 
  • Like
Likes   Reactions: Buzz_Lightyear
Thank you so much. I didn't spect it to get that complicated.
 
I don't match your moment equation. The shear force is constant at 32.14 out to x = 2. Then, the part at x > 2 kicks in.
 
  • Like
Likes   Reactions: Buzz_Lightyear
You are right, Chestermiller .However, since for x<=2 the maximum M(2)=64.28 kNm and for more than 2 -let's say x=3.5 M(3.5)=71.24 it seems to me you may neglect x<2 part.
The problem is to solve the cubic equation. I did it using a simply iterative program in V.B.6 but if you intend to solve it algebric you'll get always a complex number [square_root of -2916]
 
  • Like
Likes   Reactions: Buzz_Lightyear
Babadag said:
You are right, Chestermiller .However, since for x<=2 the maximum M(2)=64.28 kNm and for more than 2 -let's say x=3.5 M(3.5)=71.24 it seems to me you may neglect x<2 part.
The problem is to solve the cubic equation. I did it using a simply iterative program in V.B.6 but if you intend to solve it algebric you'll get always a complex number [square_root of -2916]
I totally disagree with all of this. Try it both ways and see what you get. Also, a cubic equation always has one real root. Also, what does your equation predict for the moment at x = 7, where the moment is supposed to be zero?
 
  • Like
Likes   Reactions: Buzz_Lightyear
It is a limit on how much can suffer an electrical engineer from the mechanical static calculations. However, because no other mechanical engineer did not dare to do so I tried to start it-at least.:frown:
 
  • Like
Likes   Reactions: Buzz_Lightyear
I got x = 3.53 solving it by hand using Newton's method. This required 3 iterations.
 
  • Like
Likes   Reactions: Buzz_Lightyear
  • #10
There are slight differences between computer calculated parameters and by hand
calculated in the last equation [post #2].
y=−1.6666x³+16.05x²+20x−192.420
If we take this equation as correct x=3.461535 y<2E-6
If x=3.53 then y=4.868>0.01 [As it could be still a good error]
 
  • Like
Likes   Reactions: Buzz_Lightyear
  • #11
For the region x > 2, I get the following for the downward displacement:
$$EIy=-288.55-101.42(x-2)+32.14(x-2)^2+2.023(x-2)^3-4.167(x-2)^4$$

At x = 3.53 m, I get a downward displacement of 2.2 mm.
 
  • Like
Likes   Reactions: Buzz_Lightyear
  • #12
Chestermiller said:
I got x = 3.53 solving it by hand using Newton's method. This required 3 iterations.
How do you solve it using Newton's method. At college they only show us how to use Macauly's method.
 
  • #13
Newton's Method is a systematic procedure for finding roots of equations . It is not used in any direct way for solving structural problems - it is just useful sometimes for getting solutions to equations which can arise in structural problems .

Macaulay's Method is a systematic procedure for deriving equations for structural problems - but it does not provide any method for solving those equations .

Almost all engineering problems have the same four stages :

(a) Understanding the mechanics of the problem .
(b) Deriving the relevant equations .
(c) Solving those equations .
(d) Verifying the solution obtained .

Different methods are needed for dealing with each stage .

Just for interest - when you have a uniform beam on simple end supports and with any realistic system of unidirectional lateral loads then the point of maximum deflection is always somewhere near the mid point of the beam . This fact can be useful sometimes for finding quick solutions to certain types of problem .
 
Last edited:
  • Like
Likes   Reactions: Buzz_Lightyear
  • #14
nb: Stages (a) and (b) together are commonly described as 'modelling the problem'
 
  • Like
Likes   Reactions: Buzz_Lightyear
  • #15
Buzz_Lightyear said:
How do you solve it using Newton's method. At college they only show us how to use Macauly's method.
Newton's method is a way of solving an equation such as f(x) = 0 for a root, x. It is iterative, and the iterative equation is:
$$x^{n+1}=x^n-\frac{f(x^n)}{f'(x^n)}$$
where ##x^n## is the value of x in the nth iteration. In the calculations I carried out, I used a finite difference approximation to ##f'(x^n)##.
 
  • Like
Likes   Reactions: Buzz_Lightyear
  • #16
Thank you so much for all the ideas and help. It looks that at my level I can use L/2 as the maximum deflection for practical exercises. I was overthinking about how to solve it.
 
  • #17
Buzz_Lightyear said:
Thank you so much for all the ideas and help. It looks that at my level I can use L/2 as the maximum deflection for practical exercises. I was overthinking about how to solve it.
They asked for the max deflection, not just the location. Plus, you couldn't possibly have known in advance the location of the max.
 

Similar threads

  • · Replies 8 ·
Replies
8
Views
3K
Replies
3
Views
2K
  • · Replies 8 ·
Replies
8
Views
2K
Replies
6
Views
4K
  • · Replies 1 ·
Replies
1
Views
3K
Replies
4
Views
4K
  • · Replies 1 ·
Replies
1
Views
2K
Replies
1
Views
2K
Replies
1
Views
2K
  • · Replies 6 ·
Replies
6
Views
2K