Calculating Drag Force for Parachute: F=ma and Sum of Forces

Click For Summary

Discussion Overview

The discussion revolves around calculating the drag force for a parachute using the equations of motion, specifically F=ma and the sum of forces. Participants are exploring the implications of using imperial units, the definitions of force and mass, and the correct application of these concepts in the context of a skydiver's descent.

Discussion Character

  • Homework-related
  • Technical explanation
  • Debate/contested
  • Mathematical reasoning

Main Points Raised

  • Some participants express uncertainty about the acceleration value used in the calculations and whether it is correct in imperial units.
  • One participant argues that the force cannot be assumed constant as it depends on the changing velocity of the skydiver.
  • Another participant questions the validity of the initial computations, suggesting that the skydiver would crash at an unreasonably high velocity, indicating potential errors in unit conversion.
  • There is a discussion about the proper interpretation of the formula given in the problem, particularly regarding the units required for velocity.
  • Participants highlight the importance of distinguishing between units of force (lbf) and mass (lbm), noting that they cannot be equated directly.
  • Some participants suggest that the gravitational force should be calculated using the mass in lbm multiplied by the acceleration due to gravity, while others clarify the relationship between lbf and lbm.
  • There are conflicting views on whether the problem statement clearly defines the units for the variables involved, leading to confusion in calculations.
  • Participants debate the implications of using different units for the drag coefficient and how it affects the terminal velocity of the skydiver.

Areas of Agreement / Disagreement

Participants do not reach a consensus on several points, including the correct interpretation of units, the validity of the initial calculations, and the implications of the problem statement. Multiple competing views remain regarding the proper approach to calculating forces in this context.

Contextual Notes

There are limitations in the problem statement regarding the clarity of units for velocity and the definitions of force and mass. Participants express uncertainty about the assumptions made in the calculations and the implications of using different unit systems.

nysnacc
Messages
184
Reaction score
3

Homework Statement


14.44_01.PNG


Homework Equations


F=ma
Sum of force

The Attempt at a Solution



Not sure if my a is correct, but actually, I need to have it in imperial (US) unit,[/B]
14.44_02.PNG
 
Physics news on Phys.org
You cannot assume a constant force in the second part. The force depends on velocity, which is changing.
 
but first part is good? what should I do with the force then?
 
No, the first part is not ok either. According to your computation, the sky diver will crash into the ground with a velocity larger than 30 m/s. This does not seem like a very good parachute. Hint: Units are important. Always convert values of the same type of quantity to the same units!

Edit: The problem is also not well stated. It states that ##F = 0.5 v^2## (in pounds) but fails to tell you what units this requires ##v## to be specified in.
 
upload_2016-9-13_21-30-24.png


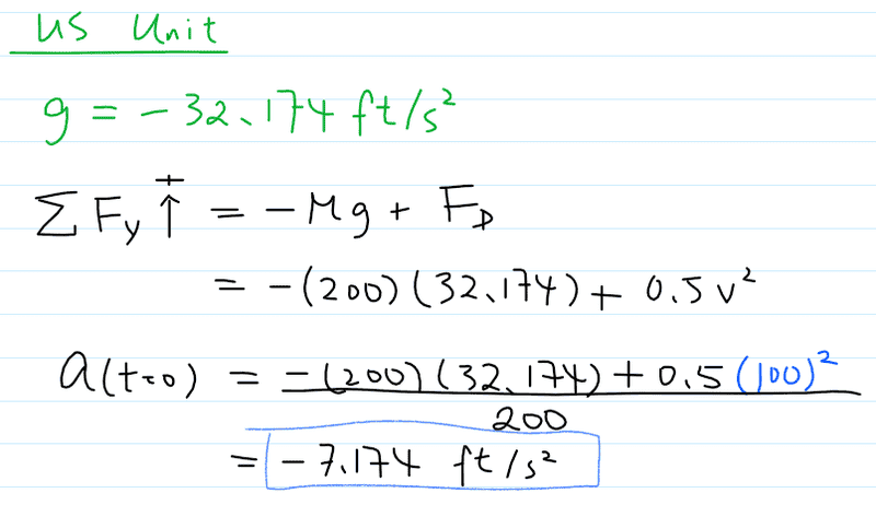
this is my updated value, as I was supposed to use US units thanks for pointing that out :)
 
No this is not correct either. Look up the definition of lbf vs the definition of lbm. Your sky diver would still accelerate from a velocity of 30 m/s and crash into the ground at a higher velocity. (This hurts!)

Also, please stop using images in your posts. It is impossible to quote parts of them and they do not always appear well on mobile devices etc. There is a perfectly viable way of writing equations in LaTeX in this forum if you want more advanced formulas than what can be written in plain text.
 
Umm... what's wrong with my initial equation?
 
nysnacc said:
Umm... what's wrong with my initial equation?
The mass is given in lbm. What is the gravitational force on an object with mass 1 lbm?
 
32 lbf?
 
  • #10
nysnacc said:
32 lbf?
No. Again, look up the definition of lbf vs the definition of lbm.
 
  • #11
Orodruin said:
Edit: The problem is also not well stated. It states that ##F = 0.5 v^2## (in pounds) but fails to tell you what units this requires ##v## to be specified in.
Absolutely! It seems crazy to give a formula where the units are defined for only one of the variables. Of course I'm not accustomed to USC units, so perhaps ft and sec are implicit if F is in pounds?

Surely the proper way to give such a formula, is to say F=kv2 then give the value of k with units.
Then k = 0.5 lbf sec2 ft-2 for honest Americans, or for us foreigners k = 24 N sec2 m-2
 
  • #12
Merlin3189 said:
Of course I'm not accustomed to USC units, so perhaps ft and sec are implicit if F is in pounds?
I would not bet my money on this. Without giving too much away, using this would give a rather large g-force on the sky diver (higher than any I could find referenced for sky diving in a quick Google search). If the velocity ##v## is intended to be in m/s, you instead get a rather low value.

On the other hand, the option k = 0.5 lbf s^2/m^2 also gives a large terminal velocity (roughly 20 m/s) and k = 0.5 lbf s^2/ft^2 gives roughy 7 m/s. Both are high velocities. 7 m/s would correspond to free-falling from roughly 2.5 m height.
 
  • #13
nysnacc said:
32 lbf?

1 lbf = 32.174 lbm

W = 1lbf = 1 lbm * 32.174
 
  • #14
nysnacc said:
1 lbf = 32.174 lbm

W = 1lbf = 1 lbm * 32.174
No, 1 lbf cannot be equal to 1 lbm since the former is a unit of force and the latter a unit of mass. They simply have different physical dimension.
 
  • #15
Orodruin said:
No, 1 lbf cannot be equal to 1 lbm since the former is a unit of force and the latter a unit of mass. They simply have different physical dimension.
Hard time finding it :(
 
  • #17
so 1 lbf = 32 lbm ?
 
  • #18
nysnacc said:
so 1 lbf = 32 lbm ?
No. Again, they are units of different physical dimension. One is a measure of force and the other is a measure of mass.

1 lbf is the magnitude of the gravitational force on an object of mass 1 lbm.

This means that, calling the standard Earth gravity g, 1 lbf = (1 lbm) g. This relationship is given in the first equation on the Wikipedia page.
 
  • Like
Likes   Reactions: nysnacc
  • #19
so for my sum of force in y, I should have put 200 lbf instead of 200*32??
 
  • #20
nysnacc said:
so for my sum of force in y, I should have put 200 lbf instead of 200*32??
Yes.
 
  • Like
Likes   Reactions: bsheikho
  • #21
so F_y = - 200 +0.5* (100) <-- instantaneous
 
  • #22
oh typed it wrong,
F_y = - 200 +0.5* (100)2
 
  • #23
Fy = 4800 (pointing up)

a = 4800 lbf / 200 lbm = 24 ft/s2
 
  • #24
nysnacc said:
oh typed it wrong,
F_y = - 200 +0.5* (100)2
Yes, with the unit lbf (always give the units!) - and assuming that v in the task is supposed to be inserted in ft/s, which (as mentioned above) is not at all clear from the problem.

nysnacc said:
Fy = 4800 (pointing up)

a = 4800 lbf / 200 lbm = 24 ft/s2
No. 1 lbf = (1 lbm) g and therefore ...
 
  • #25
a = 4800 lbf / 200 lbm*32 ft/s2 = 24 ft/s2
 
  • #26
not 24 but 0.75
 
  • #27
4800 lbf / 200 lbm = 4800 g (1 lbm)/(200 lbm) = (4800/200) g = 24 g
 
  • #28
so it is roughly 768 ft / s2?
 
  • #29
Orodruin said:
4800 lbf / 200 lbm = 4800 g (1 lbm)/(200 lbm) = (4800/200) g = 24 g

768 ft /s^2 not making sense. 24g meant to be 24 ft/s2 ??
 
  • #30
nysnacc said:
768 ft /s^2 not making sense.
Why not? Because it is a large acceleration? I said that already in this thread. No, it is not supposed to be 24 ft/s^2. That computation had obvious fallacies in terms of units.
 

Similar threads

  • · Replies 6 ·
Replies
6
Views
4K
  • · Replies 4 ·
Replies
4
Views
3K
Replies
3
Views
2K
  • · Replies 9 ·
Replies
9
Views
4K
  • · Replies 5 ·
Replies
5
Views
2K
  • · Replies 8 ·
Replies
8
Views
19K
  • · Replies 6 ·
Replies
6
Views
3K
  • · Replies 2 ·
Replies
2
Views
2K
  • · Replies 13 ·
Replies
13
Views
3K
Replies
10
Views
2K