Calculating Flow from Tank to Vessel w/ Power

Click For Summary

Discussion Overview

The discussion revolves around calculating the flow from an underground tank through a pump into a vessel, focusing on the application of fluid dynamics principles, including the use of the Darcy-Weisbach equation and Reynolds number. Participants explore various approaches to determine flow rates, power requirements, and the impact of different fluid properties.

Discussion Character

  • Exploratory
  • Technical explanation
  • Debate/contested
  • Mathematical reasoning

Main Points Raised

  • One participant attempts to calculate flow using Reynolds number and velocity but expresses uncertainty about the role of power in their calculations.
  • Another participant questions the choice of Reynolds number and suggests that the flow might be laminar, prompting a discussion on the relationship between viscosity, density, and flow rate.
  • There is a proposal to calculate power based on known flow velocity, leading to a debate on whether to work backwards from power to find velocity and flow.
  • Several participants share calculations of flow rates, mass flow rates, Reynolds numbers, and frictional heads, with varying results and methods, including the use of Darcy's equation.
  • One participant corrects a previous error regarding power calculations, adjusting their results based on frictional losses and other parameters.
  • Discussions about the friction factor and head losses lead to differing interpretations of the calculations and assumptions made.

Areas of Agreement / Disagreement

Participants express differing views on the calculations and methods used, with no clear consensus reached on the correct approach or final values. Disagreements arise regarding the application of the Darcy-Weisbach equation, the interpretation of frictional losses, and the accuracy of various calculated parameters.

Contextual Notes

Limitations include potential missing assumptions about fluid properties, the dependence on specific definitions of flow regimes, and unresolved mathematical steps in the calculations presented.

Who May Find This Useful

This discussion may be useful for students and professionals interested in fluid dynamics, particularly those dealing with pump systems, flow calculations, and the application of fluid mechanics principles in practical scenarios.

GSXR-750
Messages
16
Reaction score
0
I am trying to calculate the flow in a system from an underground tank up through a pump into a vessel.

But cannot find or derive a formula that yields a good result, I don't think I can use the same head calculations as Velocity will have changed.


1. Homework Statement


ρ = 1000 kg m–3
μ = 0.001 Pa s
P1 = 1bar
P2 = 2bar
Area/Diameter of pipe mm = 0.00636/90
Power = 2749 Watts

Homework Equations



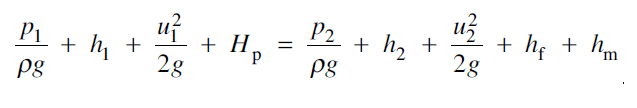
Image 1

The Attempt at a Solution


[/B]
I have attempted using ##Re= \frac {UcdP} {p},##

(assuming streamlined)##2000= \frac {Uc*0.09*1000} {0.001},##
## Uc= \frac {2000} {90000},##
##Uc = 0.02 ms^{-1}##

## Flow = Velocity * Area ##
= 0.02 * 0.00636
## = 0.00013m^3s^{-1}##However I haven't used power here so I cannot see it being the correct way to calculate the flow.
 

Attachments

  • image001.png
    image001.png
    2.7 KB · Views: 551
Physics news on Phys.org
Why did you choose 2000 for Re?
 
From my notes this equation looked to give a reasonable answer. It however finds the Critical Velocity, which I now see is the velocity in which the flow changes into turbulent flow.
I used 2000, as I know from a previous question using the exact same system but given a flow, different Viscosity and density, that the pipework is laminar.

Is there a way to transpose the old Viscosity and density with the new one to find flow or velocity?
I am told the solution may require an iterative solution.

Thanks
 
Suppose, instead of knowing the power supplied to the pump, you knew in advance the velocity of the flow in the pipe. Could you then solve for the power supplied to the pump?
 
The question states using the same pump as before. So I think I need to use the power previously stated and work backwards to velocity and hence flow.
 
GSXR-750 said:
The question states using the same pump as before. So I think I need to use the power previously stated and work backwards to velocity and hence flow.
That wasn't my question. I'm not asking about your specific problem. Read my question carefully. If I told you that the flow in the pipe is 3 m/s, would you be able to calculate the power required from the pump to achieve this flow? Yes or no.
 
Given Fluid information and heads calculated from Velocity. Using Darcy Formula
 
GSXR-750 said:
Given Fluid information and heads calculated from Velocity. Using Darcy Formula
Good. Do it. Let's see what you get for the power.
 
So I calculated Flow to be ##0.0019m^3s##
Hm = 0.023m
Hf = 1.97m
Therefore using Darcys Equation is ended up with Hp to be 29.18 (very similar to my previous fluid)

Which gave me a Power of 858 kW.

From this I assume that Hp won't change much in this given system.

Hence from my first question. ##Q= \frac {2749} {1000*9.81*29.19} ##

Thanks
 
Last edited:
  • #10
Do you really mean kW?
 
  • #11
In your equation, what does hm stand for?
 
  • #12
Is there a diagram of the system?
 
  • #13
I apologise I inputted Velocity not flow. The answer should be 5441 Watts or 5.4 Kw.

Hm stands for the frictional losses caused by fittings. Though I'm now looking thinking my overall process for Hf is incorrect.

I now think it should be 5069 Watts
 

Attachments

  • Screen Shot 2017-04-28 at 17.04.44.png
    Screen Shot 2017-04-28 at 17.04.44.png
    30.8 KB · Views: 589
  • #14
Can you please provide the entire problem statement. Thanks.
 
  • #15
Initial parts

Screen Shot 2017-04-28 at 17.42.43.png
Screen Shot 2017-04-28 at 17.42.54.png
That was the original
 
  • #16
Issue we started with.

Screen Shot 2017-04-28 at 17.53.09.png
 
  • #17
For a velocity of 3 m/s, I get a volumetric flow rate (assuming a diameter of 0.09 m) of 0.0191m^3/s. Is this what you got?
I get a mass flow rate of 19.1 kg/sec.
I get a Reynolds number of 270000. Is this what you get?
For a smooth pipe, I get a Darcy Weisbach friction factor of about 0.15. Is this what you got?
I get a velocity head of 0.459 m.
I get a frictional head of about 24.5 m. Is this what you get?
 
  • #18
The pressure head and the gravitational head are both independent of flow rate.

Pressure head = 1 bar = 10 m
Gravitational head = 16 m

Is this your assessment?
 
  • #19
Thanks for you patience with me

Chestermiller said:
For a velocity of 3 m/s, I get a volumetric flow rate (assuming a diameter of 0.09 m) of 0.0191m^3/s. Is this what you got?
I get a mass flow rate of 19.1 kg/sec.
I get a Reynolds number of 270000. Is this what you get?
I get a velocity head of 0.459 m.
For a smooth pipe, I get a Darcy Weisbach friction factor of about 0.15. Is this what you got?
I get a frictional head of about 24.5 m. Is this what you get?

I got the Flow rate, mass flow rate, Reynolds and velocity head. I don't believe i have studied finding the Darcy Weisback friction factor.
I think my frictional head loss is 23.29 as I was going from the water surface not the whole leg i.e. 17m height.
 
  • #20
GSXR-750 said:
Thanks for you patience with me
I got the Flow rate, mass flow rate, Reynolds and velocity head. I don't believe i have studied finding the Darcy Weisback friction factor.
Then you must be using Fanning. Darcy Weisback friction factor is 4 x Fanning, and, in the DW equation, you only use L/D, compared with than 4L/D with Fanning.
I think my frictional head loss is 23.29 as I was going from the water surface not the whole leg i.e. 17m height.
The frictional head should be based on the total length of pipe, 32 meters.
 

Similar threads

  • · Replies 8 ·
Replies
8
Views
9K
Replies
0
Views
3K
Replies
22
Views
3K
  • · Replies 2 ·
Replies
2
Views
5K
  • · Replies 1 ·
Replies
1
Views
3K
  • · Replies 5 ·
Replies
5
Views
3K
  • · Replies 35 ·
2
Replies
35
Views
5K
  • · Replies 31 ·
2
Replies
31
Views
5K
  • · Replies 8 ·
Replies
8
Views
2K
  • · Replies 2 ·
Replies
2
Views
2K