Calculating Rotation Angle in an Offset Slider-Crank Mechanism

  • Thread starter Thread starter aleset
  • Start date Start date
  • Tags Tags
    Mechanism
Click For Summary

Discussion Overview

The discussion revolves around calculating the rotation angle of the connecting rod in an offset slider-crank mechanism, given certain geometrical parameters and the stroke length. Participants explore various mathematical relationships and formulas relevant to this mechanical system.

Discussion Character

  • Technical explanation
  • Mathematical reasoning
  • Debate/contested

Main Points Raised

  • One participant expresses confusion about calculating the rotation angle of the connecting rod while knowing the stroke, particularly regarding the elimination of angle 'b' from the formula.
  • Another participant points out that there are two unknowns, 'a' and 'b', but only one equation, suggesting that an additional equation is needed to solve for 'b'.
  • A participant asks for an alternative formula that relates angle 'a' to stroke 'c' without needing angle 'b'.
  • One participant provides a detailed method involving the known parameters to find the intersection points necessary for calculating angle 'b', including references to external resources for further assistance.
  • Another participant acknowledges a misunderstanding of the problem, confirming that they initially solved for 'b' instead of 'a', and seeks clarification on the known parameters.
  • A later reply suggests a method to find angle 'a' using known parameters and the relationship between the connecting rod and the crank, while also noting the complexity of the problem.
  • One participant introduces a substitution for angle 'b' based on specific conditions but realizes that the equation cannot be rearranged to find angle 'α' from stroke 'c' due to the existence of two possible angles for a given stroke distance.

Areas of Agreement / Disagreement

Participants do not reach a consensus, as there are multiple competing views on how to approach the problem, and some express uncertainty regarding the relationships between the angles and the stroke.

Contextual Notes

Participants highlight limitations in their approaches, including the need for additional equations to resolve the unknowns and the ambiguity in determining angles based on stroke length due to multiple possible configurations.

aleset
Messages
3
Reaction score
1
I have a offset slider crank mechanism. Of which I know all the geometrical data, because I measure them .

I do not understand how I can calculate the rotation angle of the connecting rod knowing the stroke.in my formula I have the angle b. I do not understand how to eliminate it from the formula

regardes
 

Attachments

  • ang.JPG
    ang.JPG
    18.1 KB · Views: 823
Engineering news on Phys.org
aleset said:
I have a offset slider crank mechanism. Of which I know all the geometrical data, because I measure them .

I do not understand how I can calculate the rotation angle of the connecting rod knowing the stroke.in my formula I have the angle b. I do not understand how to eliminate it from the formula

regardes
You have two unknowns, ##a## and ##b##, but only one equation. If you want to solve for ##b##, you need one more equation involving ##a## and ##b##.
 
thanks thinch.

is there an alternative formula that relates the angle "a" with the stroke "c" without knowing the angle "b"?
 
Wrong. See my posts 6 and 7, below.[/color]

Your Known data:
  1. Center of rotation of crank. Call this 'γ'
  2. Radius of crank, 'r'
  3. Angle of crank, 'α'
  4. Length of connecting rod, 'L'
  5. Location and orientation of stroke 'C' centerline
I'm doing this in rectangular coordinates because I find it easier to think about.

  • With the first three knowns ('γ', 'r', 'α') you find crank location, the intersection of 'r' and 'L'. Call this point 'δ'
  • Find the point(s) on a circle centered at 'δ', of radius 'L', that intersect the line that describes the stroke 'C'
  • You now have the location of three triangle vertices, the length of two sides, and the third side is easily calculable. It should be (relatively) easy to find the one missing angle.
  • Angle 'b' is arctan({ΔY of "L"} / {ΔX of "L"})
EDIT: strikeout and added Angle 'b' calc

These found with: https://www.google.com/search?&q=find+intersection+of+line+and+circle
https://math.stackexchange.com/ques...intersections-of-a-straight-line-and-a-circle
https://www.mathportal.org/calculators/analytic-geometry/circle-line-intersection-calculator.php

These found with: https://www.google.com/search?&q=find+intersection+of+two+circles
https://math.stackexchange.com/ques...ind-the-points-at-which-two-circles-intersect
http://www.ambrsoft.com/TrigoCalc/Circles2/circle2intersection/CircleCircleIntersection.htm

Cheers,
Tom
 
Last edited:
thanks for answer.

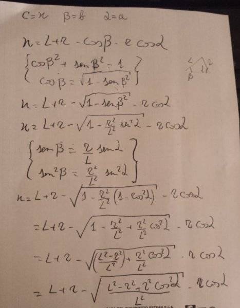
I tried to calculate the angle "a". with trigonometry I have related the angle "b" with the angle "a". but I entered an swamp and I can not get out of it. in the sheet,

referred to the drawing, alpha = a, beta = b, x = c
 

Attachments

  • 2018-11-14 at 13.25.10.jpeg
    2018-11-14 at 13.25.10.jpeg
    26.7 KB · Views: 782
I'm sorry. I misread the original problem. :oops: I solved for 'b' when 'a' is known, where you seem to want 'a' when 'b' is known.
I will have to think on that for a while.

Just to verify so I don't mess up again, are these known?
  1. Crank radius 'r'
  2. Connecting rod length 'L'
  3. Offset of stroke path from crank center 'e'
  4. Angle 'b'
  5. Horizontal Position of left end of Connecting rod relative to crank center when 'b' is known

Tom
 
Last edited:
Think I've got it this time.

Per your initial drawing:
Find angle 'a'.

Knowns:
  1. Rotational center of crank shaft
  2. Crank radius 'r'
  3. Connecting rod length 'L'
  4. Path of stroke (centerline)
  5. Angle 'b'

Solution:
 
If you draw your figure with α = 90° you will see that another substitution for β is: asin ((r sin α) + e)/L) for solving for c based upon an input α value; but, cannot be reconfigured to solve for α based upon a c input value.

Edit: I have now realized something I should have seen earlier. You cannot have an equation to find an angle α from the stroke location c because there are two possible α angles in the crank rotation for anyone stroke distance c.=; as clearly illustrated in the below graph using sample L, r and e values for this problem.

upload_2018-11-19_16-11-53.png
 

Attachments

  • upload_2018-11-19_16-11-53.png
    upload_2018-11-19_16-11-53.png
    14 KB · Views: 1,009
Last edited:

Similar threads

Replies
1
Views
2K
  • · Replies 5 ·
Replies
5
Views
2K
Replies
7
Views
3K
  • · Replies 3 ·
Replies
3
Views
14K
  • · Replies 13 ·
Replies
13
Views
4K
  • · Replies 6 ·
Replies
6
Views
5K
Replies
9
Views
3K
  • · Replies 4 ·
Replies
4
Views
3K
  • · Replies 13 ·
Replies
13
Views
4K
  • · Replies 2 ·
Replies
2
Views
4K