Can a Vector Field in 3D and Time Have a Fourth Component in its Divergence?

Click For Summary
SUMMARY

The discussion centers on calculating the divergence of a vector field in spherical coordinates, specifically the vector field A=0.2R^(3)∅ sin^2(θ) (R hat + θ hat + ∅ hat). The user reports a final answer of 3.60 and seeks validation of their methodology and results. Key points include the importance of understanding the notation used in spherical coordinates, particularly the distinction between the unit vectors and the angles θ and φ. Additionally, the conversation touches on the potential for a fourth component in divergence when dealing with time-dependent vector fields, such as in electromagnetic waves.

PREREQUISITES
  • Understanding of vector calculus, specifically divergence in spherical coordinates.
  • Familiarity with spherical polar coordinates and their notation.
  • Knowledge of electromagnetic theory, particularly wave behavior in a vacuum.
  • Proficiency in mathematical notation and symbols used in physics.
NEXT STEPS
  • Study the divergence of vector fields in spherical coordinates using resources like "Vector Calculus" by Jerrold E. Marsden.
  • Learn about the implications of time-dependent fields in electromagnetism, focusing on Maxwell's equations.
  • Explore the differences between various conventions of spherical coordinates in academic literature.
  • Investigate the mathematical treatment of vector fields with additional temporal components, particularly in physics contexts.
USEFUL FOR

Students and professionals in physics and engineering, particularly those focusing on vector calculus, electromagnetism, and mathematical physics.

jem

Homework Statement


I attempted to solve the problem. I would like to know if my work/thought process or even answer is correct, and if not, what I can do to fix it.
I am given:

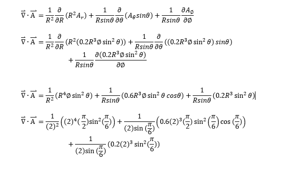
Calculate the divergence of the vector field :
A=0.2R^(3)∅ sin^2(θ) (R hat+θ hat+ ∅ hat)

Homework Equations


[/B]
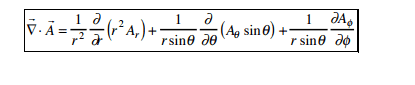
The equation I used was the divergence of a vector field in spherical coordinates:
The file is attached:


The Attempt at a Solution


The file is attached:
My final answer is 3.60.
 

Attachments

  • 13.PNG
    13.PNG
    2.7 KB · Views: 504
  • Capture.PNG
    Capture.PNG
    8.1 KB · Views: 541
Physics news on Phys.org
jem said:

Homework Statement


I attempted to solve the problem. I would like to know if my work/thought process or even answer is correct, and if not, what I can do to fix it.
I am given:

Calculate the divergence of the vector field :
A=0.2R^(3)∅ sin^2(θ) (R hat+θ hat+ ∅ hat)

Homework Equations


[/B]
The equation I used was the divergence of a vector field in spherical coordinates:
The file is attached:

The Attempt at a Solution


The file is attached:
My final answer is 3.60.

What does your notation mean? What is ##\hat{R}##. What is the difference between ##\theta## and ##\hat{\theta}##, and between ##\phi## and ##\hat{\phi}##? I can guess, but why should I need to, and maybe my guess is wrong. Finally, which of the two common forms of spherical polar coordinates are you using? Some sources use ##\theta## as the polar angle (latitude) and ##\phi## as longitude, while others choose the exact opposite convention. Both appear in this Forum from time to time.
 
Hi. When a vector field is a function of the 3 Cartesian coordinates and time, for example in the case of an electromagnetic wave in a vacuum, can it happen that a divergence of 4 components appears, with the fourth component of the type
[tex]\dfrac{1}{C} \ \dfrac{\partial A}{\partial t}[/tex]
(A symbolizes some field of the wave)
 

Similar threads

  • · Replies 4 ·
Replies
4
Views
2K
  • · Replies 1 ·
Replies
1
Views
4K
  • · Replies 5 ·
Replies
5
Views
2K
  • · Replies 1 ·
Replies
1
Views
2K
  • · Replies 3 ·
Replies
3
Views
2K
Replies
33
Views
5K
  • · Replies 2 ·
Replies
2
Views
2K
  • · Replies 1 ·
Replies
1
Views
2K
  • · Replies 2 ·
Replies
2
Views
3K
  • · Replies 5 ·
Replies
5
Views
2K