Can Differentiating a Simple Fraction Simplify Complex Integration?

  • Context: Undergrad 
  • Thread starter Thread starter garylau
  • Start date Start date
  • Tags Tags
    Function Integrate
Click For Summary

Discussion Overview

The discussion revolves around the integration of a complex function involving a fraction with variables and parameters. Participants explore various methods of integration, including partial fraction decomposition and substitution techniques, while expressing uncertainty about the complexity of the integrals involved.

Discussion Character

  • Exploratory
  • Technical explanation
  • Mathematical reasoning
  • Debate/contested

Main Points Raised

  • One participant expresses difficulty in integrating a specific function and questions the applicability of partial fraction decomposition.
  • Another participant clarifies that partial fraction decomposition typically requires both the numerator and denominator to be polynomials.
  • A proposed method for integration involves rewriting the function in a specific form, suggesting that it can be expressed as a product of terms involving variables A, C, and u.
  • Participants discuss the derivation of the form (A-u)(C-u)^\alpha and the manipulation of terms to facilitate integration.
  • Some participants note the cleverness of the proposed integration technique and express intent to remember it for future use.
  • There is a suggestion to integrate with respect to z first, then u, and finally differentiate with respect to z, raising questions about the validity and ease of this approach.
  • Concerns are raised about whether this method could be considered "cheating," while others argue that it simplifies the process.

Areas of Agreement / Disagreement

Participants do not reach a consensus on the best method for integration, with multiple competing views on the techniques and their validity remaining throughout the discussion.

Contextual Notes

Some participants express uncertainty about the origins of certain mathematical forms and relationships used in the integration process, indicating potential limitations in their understanding or the need for further clarification.

Who May Find This Useful

Readers interested in advanced integration techniques, particularly in the context of complex functions and mathematical reasoning, may find this discussion relevant.

garylau
Messages
70
Reaction score
3
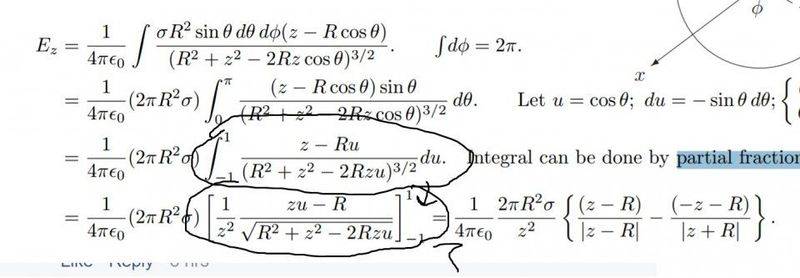
Sorry how to integrate this function from step1 to step 2(see the circle inside the picture)

it looks too complicated
i can't help with it
i cannot use partial fraction to do because it looks hard to decompose it
thank
 

Attachments

  • images (11).jpg
    images (11).jpg
    31.4 KB · Views: 478
Physics news on Phys.org
I thought partial fractional decomposition required both numerator and denominator to be polynomials?
 
  • Like
Likes   Reactions: garylau
We're trying to integrate
[itex]\frac{z-Ru}{(R^2 + z^2 - 2Rzu)^{\frac{3}{2}}}[/itex]

We can rewrite this as:

[itex]\frac{R}{(2Rz)^{\frac{3}{2}}} \frac{\frac{z}{R} - u}{(\frac{R^2 + z^2}{2Rz} - u)^\frac{3}{2}}[/itex]

Now [itex]\frac{\frac{z}{R} - u}{(\frac{R^2 + z^2}{2Rz} - u)^\frac{3}{2}}[/itex] is of the form

[itex](A-u)(C-u)^\alpha[/itex]

with [itex]A = \frac{z}{R}[/itex], [itex]C = \frac{R^2 + z^2}{2Rz}[/itex], [itex]\alpha = \frac{-3}{2}[/itex]

Here's the general way to integrate such expressions:

Rewrite this as:
[itex]((A-C) + (C-u))(C-u)^\alpha = (A-C) (C-u)^\alpha + (C-u)^{\alpha+1}[/itex]

We can easily integrate these terms, to get:

[itex]-\frac{A-C}{\alpha+1} (C-u)^{\alpha+1} - \frac{1}{\alpha+2} (C-u)^{\alpha+2}[/itex]
[itex]= -\frac{(C-u)^{\alpha+1}}{(\alpha+1)(\alpha+2)} ((A-C)(\alpha+2) + (C-u)(\alpha+1))[/itex]
[itex]= -\frac{(C-u)^{\alpha+1}}{(\alpha+1)(\alpha+2)} (A (\alpha+2) - C - u(\alpha+1))[/itex]

So if you plug in our known values for [itex]A, C, \alpha[/itex], you should get the desired result (after some simplification).
 
  • Like
Likes   Reactions: Battlemage! and garylau
stevendaryl said:
We're trying to integrate
[itex]\frac{z-Ru}{(R^2 + z^2 - 2Rzu)^{\frac{3}{2}}}[/itex]

We can rewrite this as:

[itex]\frac{R}{(2Rz)^{\frac{3}{2}}} \frac{\frac{z}{R} - u}{(\frac{R^2 + z^2}{2Rz} - u)^\frac{3}{2}}[/itex]

Now [itex]\frac{\frac{z}{R} - u}{(\frac{R^2 + z^2}{2Rz} - u)^\frac{3}{2}}[/itex] is of the form

[itex](A-u)(C-u)^\alpha[/itex]

with [itex]A = \frac{z}{R}[/itex], [itex]C = \frac{R^2 + z^2}{2Rz}[/itex], [itex]\alpha = \frac{-3}{2}[/itex]

Here's the general way to integrate such expressions:

Rewrite this as:
[itex]((A-C) + (C-u))(C-u)^\alpha = (A-C) (C-u)^\alpha + (C-u)^{\alpha+1}[/itex]

We can easily integrate these terms, to get:

[itex]-\frac{A-C}{\alpha+1} (C-u)^{\alpha+1} - \frac{1}{\alpha+2} (C-u)^{\alpha+2}[/itex]
[itex]= -\frac{(C-u)^{\alpha+1}}{(\alpha+1)(\alpha+2)} ((A-C)(\alpha+2) + (C-u)(\alpha+1))[/itex]
[itex]= -\frac{(C-u)^{\alpha+1}}{(\alpha+1)(\alpha+2)} (A (\alpha+2) - C - u(\alpha+1))[/itex]

So if you plug in our known values for [itex]A, C, \alpha[/itex], you should get the desired result (after some simplification).

where is this form
[itex](A-u)(C-u)^\alpha[/itex]
coming from

and Where do you got [itex]((A-C) + (C-u))(C-u)^\alpha = (A-C) (C-u)^\alpha + (C-u)^{\alpha+1}[/itex] this equation from?

thank
 
Last edited:
garylau said:
where is this form
[itex](A-u)(C-u)^\alpha[/itex]
coming from

He's just substituting there. A and C are the two terms that have r and z in it. In the first step he just rearranged it to get u by itself in both the numerator and deniminator, so that he could make the substitution.

The second part is just adding and subtracting C, and then using the associstive property. You'll note that A - u = A + C - C - u.
 
  • Like
Likes   Reactions: garylau
Honestly that's a really clever trick and I think I'm going to commit this one to memory.
 
garylau said:
where is this form
[itex](A-u)(C-u)^\alpha[/itex]
coming from

and Where do you got [itex]((A-C) + (C-u))(C-u)^\alpha = (A-C) (C-u)^\alpha + (C-u)^{\alpha+1}[/itex] this equation from?

thank
I suspect both of those relationships came from a book of integrals.
 
  • Like
Likes   Reactions: garylau and Greg Bernhardt
garylau said:
where is this form
[itex](A-u)(C-u)^\alpha[/itex]
coming from

The integrand is (after factor out the factor [itex]\frac{2R}{(2Rz)^{3/2}}[/itex]):

[itex]\frac{\frac{z}{R} - u}{(\frac{R^2 + z^2}{2Rz} - u)^{3/2}}[/itex]

That's the same as:

[itex](\frac{z}{R} - u)(\frac{R^2 + z^2}{2Rz} - u)^{-3/2}[/itex]

Now, let [itex]A = \frac{z}{R}, C = \frac{R^2 + z^2}{2Rz}, \alpha = -3/2[/itex], so you get

[itex](A - u)(C - u)^{\alpha}[/itex]

...and Where do you got [itex]((A-C) + (C-u))(C-u)^\alpha = (A-C) (C-u)^\alpha + (C-u)^{\alpha+1}[/itex] this equation from?

Battlemage! explained it above.
 
  • Like
Likes   Reactions: garylau
But the temptation to integrate with respect to ##z## (since ##(z^2-Rzu)'=2(z-Ru)##), then integrate with respect to ##u##, and then differentiate with respect to ##z## is just irresistible...
 
  • Like
Likes   Reactions: Battlemage! and stevendaryl
  • #10
Dragon27 said:
But the temptation to integrate with respect to ##z## (since ##(z^2-Rzu)'=2(z-Ru)##), then integrate with respect to ##u##, and then differentiate with respect to ##z## is just irresistible...
Ye gads, is this not cheating? Would that actually work, and if so is it easier?
 
  • #11
Battlemage! said:
Ye gads, is this not cheating?
It feels so good, that it probably is...
Battlemage! said:
Would that actually work, and if so is it easier?
The integrals in the intermediate steps are much easier, in my opinion (or, maybe, more obvious). In the end you just differentiate a simple fraction, it's not too hard.
 
  • Like
Likes   Reactions: Battlemage!

Similar threads

  • · Replies 1 ·
Replies
1
Views
4K
  • · Replies 16 ·
Replies
16
Views
4K
  • · Replies 5 ·
Replies
5
Views
2K
  • · Replies 3 ·
Replies
3
Views
2K
  • · Replies 1 ·
Replies
1
Views
2K
  • · Replies 10 ·
Replies
10
Views
3K
  • · Replies 3 ·
Replies
3
Views
2K
  • · Replies 1 ·
Replies
1
Views
3K
  • · Replies 33 ·
2
Replies
33
Views
4K
Replies
3
Views
2K