Can someone understand this passage of Linear Algebra?

Click For Summary
SUMMARY

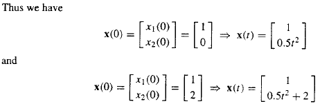
The discussion centers on understanding initial conditions in Linear Time-Varying (LTV) systems solutions as presented in a Linear Algebra textbook. The user is confused about the derivation of initial conditions x1(0) = 1 and x2(0) = 0, and the representation of the state vector x(t) = [1 0.5t^2]^T. Another participant clarifies that the vectors [1, 0]^T and [1, 2]^T are arbitrary choices for linearly independent initial conditions, not derived values. This highlights the importance of recognizing arbitrary selections in mathematical modeling.

PREREQUISITES
  • Understanding of Linear Algebra concepts, particularly Linear Time-Varying (LTV) systems.
  • Familiarity with state vectors and their representations in matrix form.
  • Basic knowledge of initial conditions in differential equations.
  • Ability to interpret mathematical notation and equations in Linear Algebra.
NEXT STEPS
  • Study the concept of Linear Time-Varying (LTV) systems in detail.
  • Learn about the significance of initial conditions in differential equations.
  • Explore examples of state space representations in Linear Algebra.
  • Review linear independence and its role in selecting initial conditions.
USEFUL FOR

Students of Linear Algebra, educators teaching LTV systems, and anyone seeking to deepen their understanding of initial conditions in mathematical modeling.

EngPF
Messages
6
Reaction score
0

Homework Statement


Hello there everybody! I'm reading a Linear Algebra textbook, specifically on LTV systems solutions.
I'm trying to redo this example from the book:

upload_2014-11-13_20-12-2.png


Homework Equations


But I couldn't understand the passage:

upload_2014-11-13_20-12-26.png


The Attempt at a Solution


I mean. x1(0) = 1 and x2(0) = 0? I don't know from where that came from. And then x(t) = [1 0.5t^2]^T ?

I can see from the x1(t) = x1(0) and x2(t) = (1/2)(t^2)x1(0) + x2(0) that

x(t) = [1 0.5t^2]^T [x1(0) x2(0)] <= This I can relate!

But the second one where x(t) = [ 1 2 ]^T I can't understand.

I think it might have been arbitrarily choosen values? Either that or I'm missing some basic concept here. I've tried to get back some pages/chapters but could find the answer for that. Should I study the first chapters all again? (yeah probably I should! =/ )

Anyway, could someone help me to understand this?

Thank you very much!
 
Last edited:
Physics news on Phys.org
EngPF said:

Homework Statement


Hello there everybody! I'm reading a Linear Algebra textbook, specifically on LTV systems solutions.
I'm trying to redo this example from the book:

View attachment 75422

Homework Equations


But I couldn't understand the passage:

View attachment 75423

The Attempt at a Solution


I mean. x1(0) = 1 and x2(0) = 0? I don't know from where that came from. And then x(t) = [1 0.5t^2]^T ?

I can see from the x1(t) = x1(0) and x2(t) = (1/2)(t^2)x1(0) + x2(0) that

x(t) = [1 0.5t^2]^T [x1(0) x2(0)] <= This I can relate!

But the second one where x(t) = [ 1 2 ]^T I can't understand.

I think it might have been arbitrarily choosen values? Either that or I'm missing some basic concept here. I've tried to get back some pages/chapters but could find the answer for that. Should I study the first chapters all again? (yeah probably I should! =/ )

Anyway, could someone help me to understand this?

Thank you very much!

I think you are correct that [1,0]^T and [1,2]^T are arbitrarily chosen linearly independent initial conditions. They didn't 'derive' them.
 
Last edited:

Similar threads

  • · Replies 26 ·
Replies
26
Views
3K
  • · Replies 2 ·
Replies
2
Views
2K
Replies
4
Views
2K
Replies
8
Views
2K
  • · Replies 1 ·
Replies
1
Views
1K
  • · Replies 24 ·
Replies
24
Views
5K
  • · Replies 1 ·
Replies
1
Views
2K
  • · Replies 10 ·
Replies
10
Views
2K
  • · Replies 14 ·
Replies
14
Views
4K
Replies
2
Views
1K