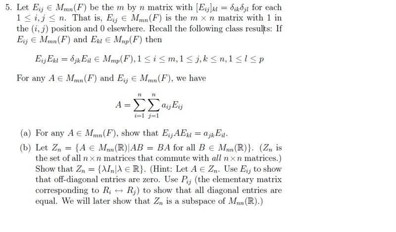
Can you prove E_{ij}AE_{kl}=a_{jk}E_{il} with the given formula for A?

  • Thread starter Thread starter lesliemath
  • Start date Start date
  • Tags Tags
    Matrix
Click For Summary
SUMMARY

The discussion centers on proving the equation E_{ij}AE_{kl}=a_{jk}E_{il} using a specific formula for matrix A. Participants emphasize the importance of substituting the provided formula for A into the equation and manipulating the indices accordingly. The key steps involve understanding the properties of matrix multiplication and the role of the elementary matrices E_{ij} and E_{kl}. This proof is essential for grasping advanced concepts in linear algebra and matrix theory.

PREREQUISITES
  • Understanding of matrix multiplication and properties
  • Familiarity with elementary matrices, specifically E_{ij} and E_{kl}
  • Knowledge of matrix notation and indexing conventions
  • Basic concepts of linear algebra, including matrix transformations
NEXT STEPS
  • Study the properties of elementary matrices and their applications in linear algebra
  • Learn about matrix multiplication rules and index manipulation techniques
  • Explore advanced topics in linear algebra, such as eigenvalues and eigenvectors
  • Review proofs involving matrix identities and transformations
USEFUL FOR

Students and educators in mathematics, particularly those focusing on linear algebra, matrix theory, and proof techniques. This discussion is beneficial for anyone looking to deepen their understanding of matrix operations and properties.

lesliemath
Messages
1
Reaction score
0
matrix -- proving need help!

please help i have no idea how to do this question. please give me some hints :(
 

Attachments

  • math.jpg
    math.jpg
    40.8 KB · Views: 418
Physics news on Phys.org


Part (a) is asking you to show that [itex]E_{ij}AE_{kl}=a_{jk}E_{il}[/itex], and it's giving you a formula for A. So why don't you start by writing [itex]E_{ij}AE_{kl}=[/itex], and then use the formula for A that you were given?
 
Last edited:

Similar threads

Replies
9
Views
2K
  • · Replies 25 ·
Replies
25
Views
4K
Replies
5
Views
2K
  • · Replies 3 ·
Replies
3
Views
2K
  • · Replies 1 ·
Replies
1
Views
2K
Replies
1
Views
1K
Replies
2
Views
2K
  • · Replies 11 ·
Replies
11
Views
2K
  • · Replies 10 ·
Replies
10
Views
3K
  • · Replies 4 ·
Replies
4
Views
2K