Chain Rule Differentiation: Simplifying Trigonometric Expressions

Click For Summary
SUMMARY

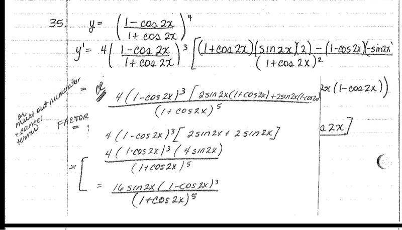
The discussion focuses on the application of the Chain Rule in differentiating trigonometric expressions, specifically addressing the simplification of the expression involving \( (1+\cos(2x)) + (1-\cos(2x)) \). The key point is that the transition from line 3 to line 4 in the differentiation process is valid due to the algebraic simplification resulting in \( 4 \sin(2x) \). The disappearance of \( 1 - \cos(2x) \) is clarified through the combination of terms, demonstrating the effectiveness of the Chain Rule in handling trigonometric identities.

PREREQUISITES
  • Understanding of the Chain Rule in calculus
  • Familiarity with trigonometric identities, particularly \( \cos(2x) \)
  • Basic algebraic manipulation skills
  • Knowledge of differentiation techniques for trigonometric functions
NEXT STEPS
  • Study the Chain Rule in depth with examples involving trigonometric functions
  • Explore trigonometric identities and their applications in calculus
  • Practice algebraic simplification techniques in calculus problems
  • Learn about higher-order derivatives of trigonometric functions
USEFUL FOR

Students studying calculus, particularly those focusing on differentiation of trigonometric expressions, as well as educators seeking to clarify the Chain Rule's application in real-world problems.

grace77
Messages
43
Reaction score
0
The question:
ImageUploadedByPhysics Forums1402924990.055025.jpg

This is the solution that was given by my teacher

Attempt:

I understand how the work is done until the 3-4 line. Where did the 1-cos2x disappear to in the 4th line?
I know you can use the outside inside method but try as I might, I can't seem to understand how the final answer was gotten??

Can someone please tell me what I'm missing here??
 
Physics news on Phys.org
What is ##(1+\cos(2x)) + (1-\cos(2x))## ?
 
The differentiation is done from line 1 to line 2. The rest is just tidying things up a little. The equality from line 3 to line 4 follows simply because

\begin{equation*}
2\sin(2x)(1 + \cos(2x)) + 2\sin(2x)(1 - \cos(2x)) =2 \sin(2x)( 1 + \cos(2x) + 1 - \cos(2x)) = 4 \sin(2x).
\end{equation*}
 

Similar threads

  • · Replies 3 ·
Replies
3
Views
2K
  • · Replies 3 ·
Replies
3
Views
2K
  • · Replies 10 ·
Replies
10
Views
2K
Replies
9
Views
3K
  • · Replies 2 ·
Replies
2
Views
2K
  • · Replies 4 ·
Replies
4
Views
2K
  • · Replies 6 ·
Replies
6
Views
2K
  • · Replies 3 ·
Replies
3
Views
2K
  • · Replies 6 ·
Replies
6
Views
3K
  • · Replies 2 ·
Replies
2
Views
1K