Solve the given differential equation

Click For Summary

Homework Help Overview

The discussion revolves around handling a differential equation involving integration techniques, specifically focusing on expressions of the form ##x(1+x^2)^{-n} dx## with varying values of n. Participants explore the implications of different powers in the integrand and the potential use of substitution methods.

Discussion Character

  • Exploratory, Mathematical reasoning, Assumption checking

Approaches and Questions Raised

  • Participants discuss the use of the chain rule and substitution methods for integration. Questions arise about how to adapt these methods when the exponent changes, particularly when comparing different forms of the integrand.

Discussion Status

The conversation is ongoing, with participants offering insights into the integration process and questioning the assumptions behind the proposed substitutions. Some participants suggest that the integration techniques remain consistent despite changes in the problem setup, while others express uncertainty about the applicability of simple substitutions in revised scenarios.

Contextual Notes

There is mention of a need for clarity regarding the specific values used in the integrands, as well as the potential for confusion stemming from different interpretations of the problem. Participants also note the importance of separating different types of problems for clearer discussion.

chwala
Gold Member
Messages
2,841
Reaction score
428
Homework Statement
See attached
Relevant Equations
separation of variables
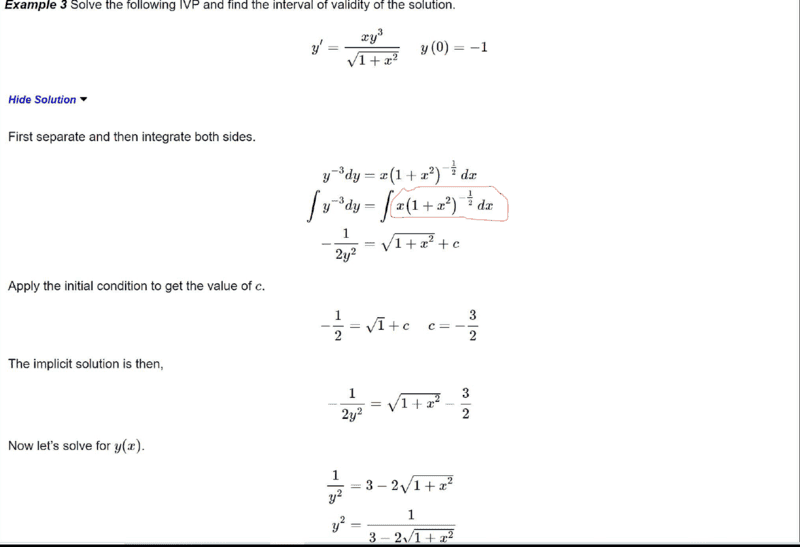
My interest is only on the highlighted part, i can clearly see that they made use of chain rule i.e
by letting ##u=1+x^2## we shall have ##du=2x dx## from there the integration bit and working to solution is straightforward. I always look at such questions as being 'convenient' questions.

Now to my question, supposing we had ##x(1+x^2)^{-\frac{1}{5}} dx## in the place of ##x(1+x^2)^{-\frac{1}{2}} dx##
How would we handle this?

1691325775186.png
 
Physics news on Phys.org
chwala said:
Homework Statement: See attached
Relevant Equations: separation of variables

My interest is only on the highlighted part, i can clearly see that they made use of chain rule i.e
by letting ##u=1+x^2## we shall have ##du=2x dx## from there the integration bit and working to solution is straightforward. I always look at such questions as being 'convenient' questions.

Now to my question, supposing we had ##x(1+x^2)^{-\frac{1}{5}} dx## in the place of ##x(1+x^2)^{-\frac{1}{2}} dx##
How would we handle this?

View attachment 330199
You would handle it the same way that I would suppose the original integration was done: Sub ##u = 1 + x^2## and go from there.

-Dan
 
  • Like
Likes   Reactions: fresh_42
chwala said:
Homework Statement: See attached
Relevant Equations: separation of variables

My interest is only on the highlighted part, i can clearly see that they made use of chain rule i.e
by letting ##u=1+x^2## we shall have ##du=2x dx## from there the integration bit and working to solution is straightforward. I always look at such questions as being 'convenient' questions.

Now to my question, supposing we had ##x(1+x^2)^{-\frac{1}{5}} dx## in the place of ##x(1+x^2)^{-\frac{1}{2}} dx##
How would we handle this?

View attachment 330199
Where did you get ##\dfrac{1}{5}## from?
 
fresh_42 said:
Where did you get ##\dfrac{1}{5}## from?
I just came up with that part of the question. I will amend my question and re-post it again. (post 5)
 
topsquark said:
You would handle it the same way that I would suppose the original integration was done: Sub ##u = 1 + x^2## and go from there.

-Dan
I will amend the question as it is still 'convenient' as in it is easy to solve.

Now to my question, supposing we had say ##x(1+x^{\frac{1}{2}})^{-\frac{1}{5}} dx## in the place of ##x(1+x^2)^{-\frac{1}{2}} dx##
How would we handle this?
 
chwala said:
I just came up with that part of the question. I will amend my question and re-post it again. (post 5)
I do not see any ##5##. So where exactly do you see it?
 
chwala said:
I will amend the question as it is still 'convenient' as in it is easy to solve.

Now to my question, supposing we had say ##x(1+x^{\frac{1}{2}})^{-\frac{1}{5}} dx## in the place of ##x(1+x^2)^{-\frac{1}{2}} dx##
How would we handle this?
I don't see that a simple substitution would work for this revised problem. For your 2nd example above, the expression in parentheses is ##1 + x^2##. Outside the parentheses you have something that is almost the differential of ##1 + x^2## (differing only by a constant multiplier). For a similar kind of substitution for your first example you would need the differential (or a constant multiple of it) outside the parentheses.
 
  • Like
Likes   Reactions: topsquark and chwala
fresh_42 said:
Where did you get ##\dfrac{1}{5}## from?
He's asking about a different, but related, problem.
chwala said:
Now to my question, supposing we had ##x(1+x^2)^{−1/5}dx## in the place of ##x(1+x^2)^{−1/2}dx##
How would we handle this?
Which was answered by @topsquark.
topsquark said:
You would handle it the same way that I would suppose the original integration was done: Sub ##u=1+x^2## and go from there.
 
  • Like
Likes   Reactions: chwala, topsquark and fresh_42
chwala said:
I will amend the question as it is still 'convenient' as in it is easy to solve.

Now to my question, supposing we had say ##x(1+x^{\frac{1}{2}})^{-\frac{1}{5}} dx## in the place of ##x(1+x^2)^{-\frac{1}{2}} dx##
How would we handle this?
The easiest way to see it is to do it in two steps:
1. Let ##u = x^{1/2}##.

2. Then let ##v = u + 1##.

But you can come up with all sorts of ugly examples, and many of them do not have an actual solution. If your question is about integration techniques of
##\displaystyle \int \dfrac{x \, dx }{(1 + x^a)^b}##

you really need to put it in it's own thread.

-Dan
 
  • Like
Likes   Reactions: chwala
  • #10
chwala said:
Homework Statement: See attached
Relevant Equations: separation of variables

My interest is only on the highlighted part, i can clearly see that they made use of chain rule i.e
by letting ##u=1+x^2## we shall have ##du=2x dx## from there the integration bit and working to solution is straightforward. I always look at such questions as being 'convenient' questions.

Now to my question, supposing we had ##x(1+x^2)^{-\frac{1}{5}} dx## in the place of ##x(1+x^2)^{-\frac{1}{2}} dx##
How would we handle this?

View attachment 330199
What happened with the y' in the separation process( from top line to 2nd line)?
 
  • #11
WWGD said:
What happened with the y' in the separation process( from top line to 2nd line)?
Check post ##8##. My interest is solely on the highlighted part of post ##1## in red.
 
  • Like
Likes   Reactions: WWGD

Similar threads

  • · Replies 15 ·
Replies
15
Views
2K
  • · Replies 18 ·
Replies
18
Views
4K
  • · Replies 3 ·
Replies
3
Views
2K
  • · Replies 1 ·
Replies
1
Views
2K
  • · Replies 4 ·
Replies
4
Views
2K
  • · Replies 6 ·
Replies
6
Views
2K
  • · Replies 12 ·
Replies
12
Views
3K
  • · Replies 8 ·
Replies
8
Views
2K
Replies
5
Views
2K
  • · Replies 7 ·
Replies
7
Views
2K