Characterize EM wave propagate in +z and -z

  • Context: Undergrad 
  • Thread starter Thread starter yungman
  • Start date Start date
  • Tags Tags
    Em Em wave Wave
Click For Summary

Discussion Overview

The discussion revolves around the characterization of electromagnetic (EM) waves, specifically right-hand circularly polarized (RHC) waves, propagating in both the +z and -z directions. Participants explore the mathematical representation of these waves, their polarization characteristics, and the implications for antenna alignment and matching in a theoretical setup.

Discussion Character

  • Exploratory
  • Technical explanation
  • Debate/contested

Main Points Raised

  • One participant proposes unit vectors for RHC EM waves traveling in +z and -z directions, questioning their correctness.
  • Another participant points out that the proposed unit vectors have fixed orientations, which may not accurately represent the rotating nature of RHC waves.
  • A participant discusses the setup involving transmitting and receiving antennas aligned along the z-axis, emphasizing the need to consider the direction of wave propagation when analyzing polarization.
  • Concerns are raised about the relationship between the direction of wave propagation and the rotation of the electric field vector, suggesting that the proposed unit vectors may not represent RHC waves correctly.
  • Some participants provide alternative expressions for the electric field vectors of the waves, using a time-dependent convention to illustrate the polarization characteristics.
  • One participant mentions a reference text that explains the concepts in detail, suggesting that visualizing the polarization progression could clarify the handedness of the waves.
  • Confusion arises regarding differing conventions in reference materials, with one participant expressing uncertainty about the correctness of solutions provided in a textbook compared to their understanding.

Areas of Agreement / Disagreement

Participants express differing views on the correctness of the proposed unit vectors for RHC waves and the implications for antenna matching. There is no consensus on the proper representation of the waves or the conventions used in reference materials, leading to ongoing confusion and debate.

Contextual Notes

Participants note limitations in their understanding based on varying conventions in different texts, as well as the complexity of accurately representing circular polarization in mathematical terms. The discussion reflects the challenges of reconciling theoretical models with practical applications in antenna design.

Who May Find This Useful

This discussion may be of interest to students and professionals in electromagnetics, antenna theory, and communications engineering, particularly those exploring the nuances of wave polarization and antenna alignment.

yungman
Messages
5,741
Reaction score
291
For RHC EM wave travel in +z direction, the unit vector is [itex]\hat {E}=\frac{\hat {x}+\hat{y}j}{\sqrt{2}}[/itex] ignoring the ωt-kz.

What if the RHC EM wave travels in -z direction? The unit vector should be [itex]\hat {E}=\frac{\hat {x}-\hat{y}j}{\sqrt{2}}[/itex] ignoring the ωt+kz.

Am I correct?
 
Physics news on Phys.org
This is an apology for my earlier post which was here for a few hours. I'd failed to spot the j in your vectors, so what I wrote was misleading.
 
Last edited:
Philip Wood said:
You've quoted two unit vectors, both in the x-y plane, that is in a plane (or, better, in one of a family of planes) at right angles to the directions of propagation of the waves. So far, so good. But what is the relevance of these vectors to the waves? If RHC is short for "right hand circularly polarised", then the vectors representing the E-fields must be rotating, whereas yours have fixed orientations. And I've no idea why the vectors for the waves traveling in opposite directions should be at right angles to each other, as your choice of vectors seems to suggest. Could you please explain how your unit vectors are supposed to be related to the waves.

Thanks for your reply. My original issue is about matching of the transmitting and receiving antenna both are facing each other on a straight line( in this case along z axis) in a great distance to assume plane wave (TEM) when reaching the receiving antenna.
To make it easy, I put the receiving antenna at the origin facing the +z direction. Then I put the transmitting antenna at great distant on the +z axis transmitting towards the origin. With this setup, I can find the degree of matching ( Loss factor) in this system of two antennas. Polarization characteristics of an antenna is by the EM wave it produces when transmitting, which in this case is RHC ( right hand circular) polarization and is circular polarization. So I simplify the issue by just looking at the two plane wave facing each other.

Back to your question, Polarization of EM wave is direction dependent, ie: travel in +z or -z. So we first have to set up ONE reference coordinates using the receiving antenna at the origin and put the two antennas in z axis. With this the transmitting wave is -z direction, and the ( pretended) transmitting wave from the receiving antenna is traveling in +z direction. That's where I come up with the two waves traveling in opposite direction.

The Loss factor is defined as:
[tex]LF=\left(\hat {E}_w \cdot \hat{E}_a\right)^2[/tex]
Where [itex]\hat{E}_w[/itex] is unit vector of the plane wave by the transmitting antenna towards the origin along z axis. [itex]\hat{E}_a[/itex] is unit vector of plane wave by the receiving antenna ( pretend) transmitting from origin towards +z direction.
 
The direction of the circular polarization is taken in context to how the polarization rotates when viewed from the rear of the wave. So if you switch the direction of propagation, you need to correspondingly adjust the direction of rotation. To view the rotation for a +z traveling wave, you view the rotation of the electric vector in time in the x-y plane where the upper vertical axis is +x and the right hand horizontal axis is +y. To view the rotation for a -z traveling way, you look at the x-y plane where the upper vertical axis is the +y and the right hand horizontal axis is the +x. Doing this we can see that neither of the two waves proposed by the OP is a RHCP.

The correct waves, using the [itex]j\omega t[/itex] time convention are:
+z: [itex]\left( \hat{x} - j\hat{y} \right) e^{j\omega t - \beta z}[/itex]
-z: [itex]\left( \hat{x} + j\hat{y} \right) e^{j\omega t + \beta z}[/itex]

Obviously of course to find the alignment of the electric field we simply take [itex]Re \left\{ \left( \hat{x} - j\hat{y} \right) e^{j\omega t} \right\}[/itex] when observing at z=0 to see how the z propagating wave rotates and we see that this is a RHCP as we advance t.
 
Last edited:
Born2bwire said:
To view the rotation for a +z traveling wave, you view the rotation of the electric vector in time in the x-y plane where the upper vertical axis is +x and the right hand horizontal axis is +y. To view the rotation for a -z traveling way, you look at the x-y plane where the upper vertical axis is the +y and the right hand horizontal axis is the +x. Doing this we can see that neither of the two waves proposed by the OP is a RHCP.

The correct waves, using the [itex]j\omega t[/itex] time convention are:
+z: [itex]\left( \hat{x} - j\hat{y} \right) e^{j\omega t - \beta z}[/itex]
-z: [itex]\left( \hat{x} + j\hat{y} \right) e^{j\omega t + \beta z}[/itex]

Obviously of course to find the alignment of the electric field we simply take [itex]Re \left\{ \left( \hat{x} - j\hat{y} \right) e^{j\omega t} \right\}[/itex] when observing at z=0 to see how the z propagating wave rotates and we see that this is a RHCP as we advance t.

Yeh, I got the LHC and RHC wrong. Now I want to confirm that I got this all correct.
158503[/ATTACH]"]
140bt53.png

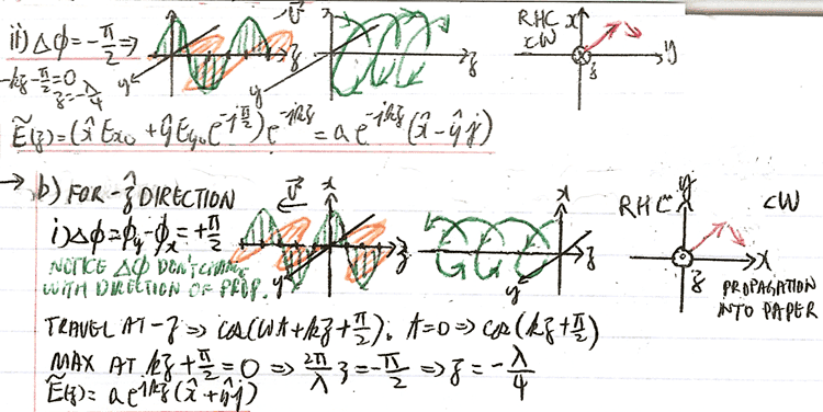
1) I show the RHC wave travel in +z direction on the top. The Ex is shown in green and Ey is shown in orange. This is the receiving antenna and [itex]\Delta\phi=-\frac{\pi}{2}[/itex].
2) I show the transmitting antenna in the bottom that radiates a wave in -z direction.

Please confirm that I am correct. I have not seen any book draw out the orthogonal components of the waves, I just want to confirm I got this right.
Thanks
 

Attachments

  • 140bt53.png
    140bt53.png
    67.1 KB · Views: 539
Last edited:
Balanis's "Advanced Engineering Electromagnetics" does a good job of explicitly explaining the concept in his fourth chapter with the figures as you have desired. The simple way of looking at this is by constructing a 2D plot where the cross-product of the axes gives you the direction of the wave propagation (hence the specifications I gave for the axes in my previous post). Then you can simply plot out the progression of the polarization as a function of increasing t using the real part of the time harmonic expression. For example, [itex]Re \left\{ \left( \hat{x} - j\hat{y} \right) e^{j\omega t} \right\}[/itex] at t= 0 is [itex]\hat{x}[/itex] and at say t = 0.01 and a unity wavelength is [itex]0.998\hat{x} + 0.0628\hat{y}[/itex]. From those two points we can easily discern the handedness of the propagation.

A more rigorous and general way of finding the polarization is by use of the Poincaré Sphere. Using the Poincaré Sphere, we find that [itex]\gamma = \tan^{-1} \frac{1}{1} = 45^{\circ}[/itex] and [itex]\delta = -90^{\circ} - 0^{\circ} = -90^{\circ}[/itex]. This gives the point on the sphere to be [itex]\epsilon = -45^{\circ}[/itex] and [itex]\tau = 22.5^{\circ}[/itex]. From the [itex]\epsilon[/itex], we deduce that we have an RHCP since [itex]2\epsilon[/itex] means that the point lies at the southern pole of the sphere.

I'll say that your figures seem to be correct though I do not think that mapping out the explicit orthogonal components of the electric field has much utility when compared with the superposition of the two since the latter clearly demonstrates the circular polarization.
 
Thanks for your detail reply. I just ordered the Advanced EEM by Balanis from Amazon. I am using the Antenna theory by Balanis also, so we are talking about the same convention. I have both 2nd and the 3rd edition.

There is more confusion! I am using the 2nd edition only because I have downloaded the solution manual on line. But the convention in the example inside the book and the solution of the problems are using a different convention. Attached is a scan of Example 2.10 in p71 of the Antenna Theory 2nd edition.

158525[/ATTACH]"]
5554y8.png


Just ignore all my writing on the book, just read the text only. The standard convention of a RHC antenna transmitting in +z direction should be [itex]\hat{\rho}_w=\frac{\hat{\theta}-\hat{\phi}j}{\sqrt{2}}[/itex] as we both agreed. And the receiving antenna has to be along the z axis with transmitting wave in -ve z direction. Therefore [itex]\hat{\rho}_w=\frac{\hat{\theta}+\hat{\phi}j}{\sqrt{2}}[/itex].

But as you see, the answer in the book is exactly opposite. The answers in the solution manual are exactly opposite from what our understanding. I am confused. The solution manual is written by someone else, but I take it that the book is not wrong!

I draw the wave just for my own understanding in the physical sense. Also the book did say the sense of rotation is from the wave with leading phase to the lagging one. By drawing the two orthogonal components out, I can see the rotation.

I have a hard time finding the relation between the Poincare Sphere to ellipse translation and the derivation. If you have any suggestion on materials relate to this, please let me know. I have joined two antenna forums thinking they should know these kind of things, but apparently engineers don't really care about this, all they care is RHC match to RHC and everything is fine!

Really appreciate your help.
 

Attachments

  • 5554y8.png
    5554y8.png
    82.4 KB · Views: 477
Last edited:
BTW

The example used in Balanis 3rd edition agrees with the convention we both agreed:

158529[/ATTACH]"]
10h36zl.png


Don't tell me there is a change of heart! But I read the text in both books, they are exactly the same.

Hey Born2Wire, I really appreciate your help on this. It is not easy to find materials on this. The only other book is by Kraus and he uses a different convention where the propagation is towards you ( out of paper) rather into the paper...Or as you put it, looking at the head of the wave instead of the tail of the wave. Kraus uses Poincare sphere. I looked at other EM books, they mostly use Kraus' convention.
 

Attachments

  • 10h36zl.png
    10h36zl.png
    64.3 KB · Views: 529
Last edited:
I have read through P146 to 166 in Advanced EEM by Balanis, I am more sure I am right in the last two posts.
 
  • #10
This naming drives me always nuts. It sometimes even depends on the book! It's easier to use modern physics to name the circularly polarized waves. As massless vector fields despite energy and momentum (density) the standard modes are characterized by the helicity, which is the projection of the total angular momentum to the direction of momentum and takes the values [itex]\pm 1[/itex].
 
  • #11
Thanks for your reply. The issue is all the inconsistent are from the same author...Constantine Balanis. He made it very clear how to classify RHC and LHC and their unit vector according to the direction of propagation. It is very straight as both Born2wire and me agree on the same convention. But then in one of the example, it is opposite. I just want to make sure I interpreted the question correctly. I have to assume I am wrong and the example of the book is right.
 
  • #12
I bring this one up again to show all the inconsistency from Balanis.
 
  • #13
yungman said:
Thanks for your detail reply. I just ordered the Advanced EEM by Balanis from Amazon. I am using the Antenna theory by Balanis also, so we are talking about the same convention. I have both 2nd and the 3rd edition.

There is more confusion! I am using the 2nd edition only because I have downloaded the solution manual on line. But the convention in the example inside the book and the solution of the problems are using a different convention. Attached is a scan of Example 2.10 in p71 of the Antenna Theory 2nd edition.

159516[/ATTACH]"]
5554y8.png


Just ignore all my writing on the book, just read the text only. The standard convention of a RHC antenna transmitting in +z direction should be [itex]\hat{\rho}_w=\frac{\hat{\theta}-\hat{\phi}j}{\sqrt{2}}[/itex] as we both agreed. And the receiving antenna has to be along the z axis with transmitting wave in -ve z direction. Therefore [itex]\hat{\rho}_w=\frac{\hat{\theta}+\hat{\phi}j}{\sqrt{2}}[/itex].

But as you see, the answer in the book is exactly opposite. The answers in the solution manual are exactly opposite from what our understanding. I am confused. The solution manual is written by someone else, but I take it that the book is not wrong!

I draw the wave just for my own understanding in the physical sense. Also the book did say the sense of rotation is from the wave with leading phase to the lagging one. By drawing the two orthogonal components out, I can see the rotation.

I have a hard time finding the relation between the Poincare Sphere to ellipse translation and the derivation. If you have any suggestion on materials relate to this, please let me know. I have joined two antenna forums thinking they should know these kind of things, but apparently engineers don't really care about this, all they care is RHC match to RHC and everything is fine!

Really appreciate your help.

I bring this thread up again as nobody responded about the inconsistency. I since work from another angle and I still find the example in this post is WRONG.

First look at the rotation of the vector ##\hat {\theta}+\hat{\phi}j##
[tex]\vec E(0,t)\;=\;Re[\hat {\theta}E_{\theta 0}e^{j\omega t}+\hat{\phi}E_{\phi 0}e^{j\omega t}e^{j\frac{\pi}{2}}]\;=\;\;Re[\hat {\theta}E_{\theta 0}e^{j\omega t}+\hat{\phi}jE_{\phi 0}e^{j\omega t}]\;=\;\hat {\theta}E_{\theta 0}\cos\omega t+\hat {\phi}E_{\phi 0}\cos(\omega t +\frac{\pi}{2})[/tex]

Let##\Psi## be the angle from ##\theta## axis to ##\vec E(0,t)##
[tex]\Rightarrow \;\tan\Psi\;=\;\frac {\cos(\omega t+\frac{\pi}{2})}{\cos \omega t}\;=\;\frac {\cos \omega t \cos(\frac{\pi}{2})-\sin \omega t\sin(\frac{\pi}{2})}{\cos \omega t}\;=\;-\tan\omega t[/tex]
[tex]\Rightarrow\;\Psi\;=\;-\omega t[/tex]

Therefore ##\Psi## decreases as time t increases.

With this, if the plane wave is traveling in +z direction ( in spherical coordinates, in +R direction) AND draw the diagram where the propagation is INTO the paper, this is LHC ( left hand rotation). Therefore, when the book said the RHC transmitting antenna at origin radiating wave at +z direction ( +R), the unit vector HAS to be

[tex]\hat{\rho}_w\;=\;\frac{\hat{\theta}-\hat{\phi}j}{\sqrt{2}}[/tex]
But the book claimed:
[tex]\hat{\rho}_w\;=\;\frac{\hat{\theta}+\hat{\phi}j}{\sqrt{2}}[/tex]
The book is wrong!

There is no if and buts about this, there is no convention confusion. The example 2.12 in post #8 copied from the latest edition is correct. Anyone can comment on this?
 

Attachments

  • 5554y8.png
    5554y8.png
    91.1 KB · Views: 514
Last edited:
  • #14
Nobody can comment?
 

Similar threads

  • · Replies 1 ·
Replies
1
Views
2K
  • · Replies 2 ·
Replies
2
Views
1K
  • · Replies 5 ·
Replies
5
Views
1K
  • · Replies 7 ·
Replies
7
Views
2K
  • · Replies 21 ·
Replies
21
Views
3K
  • · Replies 1 ·
Replies
1
Views
2K
  • · Replies 3 ·
Replies
3
Views
947
  • · Replies 15 ·
Replies
15
Views
3K
  • · Replies 8 ·
Replies
8
Views
2K
  • · Replies 6 ·
Replies
6
Views
2K