Checking Process: Solving Water Pump Problem

Click For Summary

Discussion Overview

The discussion revolves around solving a water pump problem, specifically focusing on the calculation of power delivered by the pump given an inlet pressure of -2.36 psi. Participants are checking their thought processes and calculations related to the energy equations applicable to the problem.

Discussion Character

  • Homework-related
  • Mathematical reasoning
  • Technical explanation

Main Points Raised

  • One participant outlines their approach to the problem and seeks validation of their thought process.
  • Another participant provides a detailed energy equation in rate form, discussing the assumptions of steady-state operation and adiabatic flow.
  • A participant shares their calculations based on textbook formulas, questioning the validity of their thought process.
  • One participant acknowledges mistakes in their previous calculations and shares revised work for further review.

Areas of Agreement / Disagreement

The discussion does not show clear consensus, as participants are at different stages of their calculations and understanding. Some express uncertainty about their approaches and results, while others provide technical insights without resolving the overall problem.

Contextual Notes

Participants reference specific assumptions such as steady-state operation and negligible changes in internal energy, but these assumptions may depend on the context of the problem. The calculations and energy equations presented are subject to verification and may contain unresolved steps.

Jason03
Messages
161
Reaction score
0
I have completed the first part of the problem below. I am checking to make sure that I have the right thought process...

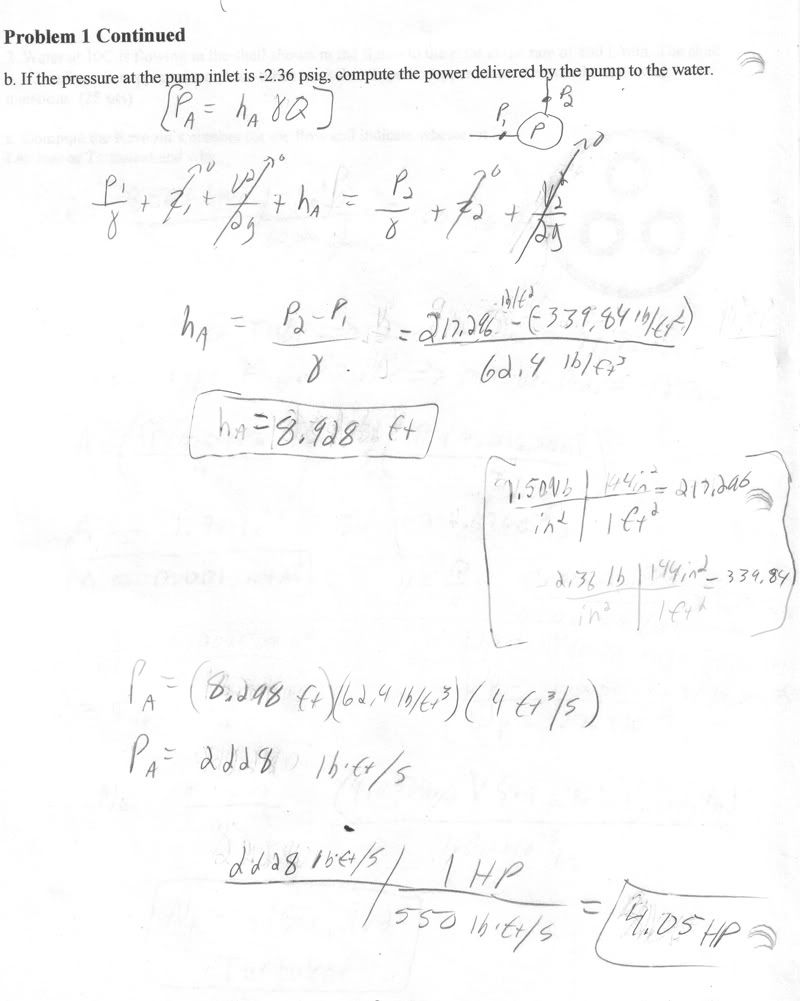
Also the next part of the question asks if the inlet pressure to the pump is -2.36 psi compute the power delivered by the pump to the water...How would I approach that?

http://i674.photobucket.com/albums/vv106/jason03_2009/question.jpg
 
Last edited by a moderator:
Physics news on Phys.org
The power delivered by the pump is a time rate input of energy. You can approach this by looking at the energy equation in rate form.
[tex] \frac{d}{dt}\left[m\left(u + \frac{V^2}{2}+gz\right)\right]_V = \sum \dot{m}_{in} \left( h + gz + \frac{V^2}{2}\right)_{in} - \sum \dot{m}_{out} \left( h + gz + \frac{V^2}{2}\right)_{out} + \dot{W}_V - \dot{Q}_V[/tex]
Where the V subscript denotes over the control volume. For steady state operation, there can be no time rate of change of mass or energy, so the term on the left disappears. Also, for steady-state operation, you can assume steady adiabatic flow, so:
[tex]\dot{Q} = \frac{dQ}{dt} = 0[/tex]
We can then substitute
[tex]h = u + P\nu[/tex]
into the equations. Assume that the change in internal energy is negligible and this should get you nearly there.

edit: They are hard to see, but make sure you notice that those are mass flows on the right-hand side.
 
Ok...I did some calculations below using the formulas from my textbook which makes it slighlty more simplified...but is my thought process ok?

http://i674.photobucket.com/albums/vv106/jason03_2009/part2.jpg
 
Last edited by a moderator:

Similar threads

  • · Replies 1 ·
Replies
1
Views
2K
Replies
2
Views
3K
  • · Replies 2 ·
Replies
2
Views
5K
  • · Replies 6 ·
Replies
6
Views
2K
Replies
12
Views
6K
  • · Replies 6 ·
Replies
6
Views
2K
  • · Replies 2 ·
Replies
2
Views
3K
  • · Replies 1 ·
Replies
1
Views
3K
  • · Replies 2 ·
Replies
2
Views
2K
  • · Replies 3 ·
Replies
3
Views
861