Computational physics - Light trajectory near black hole

Click For Summary

Discussion Overview

The discussion revolves around the light trajectory near a Schwarzschild black hole, focusing on the differential equations governing the motion of photons and the implementation of these equations in a C++ program. Participants explore the implications of initial conditions, angular momentum, and energy on the trajectory of light, as well as potential issues with the computational results.

Discussion Character

  • Exploratory
  • Technical explanation
  • Debate/contested
  • Mathematical reasoning

Main Points Raised

  • One participant notes that their program produces diverging results for the radial position, raising concerns about the physical interpretation of the differential equations.
  • There is a discussion about the relationship between angular momentum (L) and energy (E) of the photon, with some participants suggesting that L can be expressed in terms of E and the launch angle.
  • Another participant questions the utility of a "typical value" for L, arguing that different energies yield the same trajectory with varying angular momentum.
  • Some participants propose that the equations should reproduce the essential features of light motion, while others express uncertainty about their correctness.
  • There is a suggestion to simplify the differential equations by focusing on the ratio L/E, with some participants agreeing that E can be treated as a scaling factor that does not affect the trajectory.
  • One participant mentions the need to rescale parameters to eliminate L/E from the equations, while another agrees that changing E should not alter the photon trajectory.

Areas of Agreement / Disagreement

Participants express differing views on the significance of L and E in the equations, with some agreeing that E is a scaling factor while others emphasize the importance of the ratio L/E. The discussion remains unresolved regarding the best approach to simplify the equations and the implications of the initial conditions on the trajectories.

Contextual Notes

There are limitations in the discussion regarding the assumptions made about the equations and the dependence on definitions of angular momentum and energy. The mathematical steps to fully resolve the equations are not completed, leaving some uncertainty in the proposed modifications.

PhysicsMajorLeo
Dear all,

I am currently doing a project about the light trajectory near Schwarzschild black hole. I wrote down a couple of differential equation and I have created a C++ program hoping to solve the orbit of light. However, the program results turn out to be quite weird.

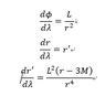
The differential equation needed to be solved:
upload_2017-11-12_15-25-58.png


Where r is the radial position and phi is the azimuthal angle, L is the angular momentum of the photon.

The first thing I noticed is that sometimes, depending on initial conditions, the results sometimes turns out to be negative in r, even if r is positive, the change in r is so small that it remains in order of 10^-5, and the change in phi is also small. Nevertheless the program always produce diverging results in r. I think I may be misunderstanding the physical picture of the equation.

I would like to ask does the equation describing the motion of a photon launching at a arbitrary position? Furthermore, what is the typical value of L in the Geometrized unit system? Furthermore, I know that the impact parameter b is related to L and energy of photon e by b=L/e, is there any ways to simplify the above differential equation so that I could get a differential equation only depends on b? Thank you!
 

Attachments

  • upload_2017-11-12_15-25-58.png
    upload_2017-11-12_15-25-58.png
    1.2 KB · Views: 627
Physics news on Phys.org
PhysicsMajorLeo said:
Furthermore, what is the typical value of L in the Geometrized unit system?
See https://www.physicsforums.com/threads/null-geodesics-in-schwarzschild-spacetime.895174/

Note that my initial post is incorrect - do read all the way down. As you say, you can write L in terms of E, which is the photon energy at infinity (which has no effect on the trajectory - it just scales ##\lambda##), and the angle at which it is launched.
 
PhysicsMajorLeo said:
I would like to ask does the equation describing the motion of a photon launching at a arbitrary position?
I'm not sure if the equations are fully correct but they should reproduce all the interesting features of the motion of light, so it looks like they are right.
PhysicsMajorLeo said:
urthermore, what is the typical value of L in the Geometrized unit system?
I don't think "typical value" is a useful concept for the actual angular momentum (a photon with a different energy will follow the same trajectory while having a different angular momentum), and in the way it appears in the equations it looks like an overall scaling factor only. To get different trajectories, start with different r and/or r'.
 
Ibix said:
See https://www.physicsforums.com/threads/null-geodesics-in-schwarzschild-spacetime.895174/

Note that my initial post is incorrect - do read all the way down. As you say, you can write L in terms of E, which is the photon energy at infinity (which has no effect on the trajectory - it just scales ##\lambda##), and the angle at which it is launched.
Thanks for the reply Ibix, I have read through the passage, I think I understand how the initial conditions on L could be altered. In the post, you stated that E is just a scaling factor which do not affect the orbit, and that the ratio of L/E is the one that is important. Also, George also state that it is easier to divide the equation into two coupled differential equation, combining results, I get the following:
upload_2017-11-12_18-16-10.png

Where theta is the initial value of launching angle, R0 is the initial radial position from the center

Where I could substitute L/E back into the ode, and since E is just a scaling factor, Could I just set E=1? Thanks!
mfb said:
I'm not sure if the equations are fully correct but they should reproduce all the interesting features of the motion of light, so it looks like they are right.I don't think "typical value" is a useful concept for the actual angular momentum (a photon with a different energy will follow the same trajectory while having a different angular momentum), and in the way it appears in the equations it looks like an overall scaling factor only. To get different trajectories, start with different r and/or r'.
Thanks for the reply mfb. Indeed, as stated in the book of Hartle, the trajectory of photon could only depends on the ratio L/E but not L or E individually, so I was very confused when I saw the factor L in the differential equation in the op. But after getting the advise from Ibix, I think I could get rid of it, do you think this modification is reasonable? Thanks!
 

Attachments

  • upload_2017-11-12_18-16-10.png
    upload_2017-11-12_18-16-10.png
    2.3 KB · Views: 425
Now you have L/E and E in the equations. I think you have to rescale ##\lambda## to get rid of it.
 
mfb said:
Now you have L/E and E in the equations. I think you have to rescale ##\lambda## to get rid of it.
Thanks for the relpy mfb. I think I can get rid of L/E by definition(the 3rd row),but I am not able to get rid of E in this case.
 
Well, the third row gives you L/E as function of the initial conditions.
Changing E shouldn't change the photon trajectory, so you can probably set it to whatever you like.
 
I regarded E as a scale factor, basically. Changing it can be countered by changing the affine parameter by the same factor, which tells you it doesn't matter. The point about L/E is that it is simply a measure of what fraction of the light's momentum is pointing in the tangential direction. In flat space it would simply be ##\sin\theta## times appropriate constants for the units (note that in my thread I used ##\psi## for this angle because ##\theta## is already in use as a coordinate). In curved spacetime, however, you also need an extra factor to relate local angle measures to the coordinates, which is where the square root prefactor comes in.
 

Similar threads

  • · Replies 51 ·
2
Replies
51
Views
3K
  • · Replies 7 ·
Replies
7
Views
1K
  • · Replies 12 ·
Replies
12
Views
2K
  • · Replies 20 ·
Replies
20
Views
3K
  • · Replies 10 ·
Replies
10
Views
2K
  • · Replies 13 ·
Replies
13
Views
2K
  • · Replies 11 ·
Replies
11
Views
5K
  • · Replies 17 ·
Replies
17
Views
4K
  • · Replies 2 ·
Replies
2
Views
1K
  • · Replies 15 ·
Replies
15
Views
3K