Conditions of a quarter-circle running through the origin

Click For Summary

Homework Help Overview

The discussion revolves around the mathematical modeling of a quarter-circle defined by the equation y = r - SQRT(r^2 - x^2), where r is the radius and x is positive. The goal is to determine conditions under which a chosen point (x_final, y_final) lies on this quarter-circle, specifically questioning whether x_final must be greater than y_final.

Discussion Character

  • Conceptual clarification, Assumption checking

Approaches and Questions Raised

  • Participants explore the implications of choosing the point (x_final, y_final) in relation to the quarter-circle's equation. Some suggest that if x_final is smaller than y_final, it leads to contradictions based on the geometric properties of the quarter-circle.

Discussion Status

The discussion is active, with participants examining the validity of assumptions regarding the relationship between x_final and y_final. Some guidance has been offered regarding the geometric interpretation of the quarter-circle, but no consensus has been reached on the necessary conditions for the chosen point.

Contextual Notes

Participants are working under the constraints of a math project, which may impose specific requirements on the choice of points and the resulting equations. There is an ongoing exploration of the implications of these choices on the model's validity.

CSA
Messages
15
Reaction score
0

Homework Statement

and

Homework Equations

[/B]
I was working on a math project involving certain simulations and a quarter circle. The equation of the quarter circle I used is y = r - SQRT(r^2 - x^2). Where r is the radius of a circle and x is greater than 0.

The purpose of this is to model is to get a concave up, quarter-circle that runs through both the origin and a chosen point (x_final, y_final) where both x and y are again positive. This point must not necessarily be at the end of the quarter circle (i.e. when the gradient is vertical).

When I was running through my simulations I noticed that this model broke down if x_final was smaller than y_final. Hence the question is that is x_final greater than y_final a necessary condition of the curve.

The Attempt at a Solution


It makes intuitive sense to me that this condition must be true because if I imagine all the possible circles of different radii that rest with their bottom on the origin and x-axis, a point where x_final is smaller than y_final can only lie on the upper left quarter of the circle. It almost feels like x_final = y_final is the limit to this model. However, I can't think of a proper mathematical way to show this.
 
Physics news on Phys.org
CSA said:

Homework Statement

and

Homework Equations

[/B]
I was working on a math project involving certain simulations and a quarter circle. The equation of the quarter circle I used is y = r - SQRT(r^2 - x^2). Where r is the radius of a circle and x is greater than 0.

The purpose of this is to model is to get a concave up, quarter-circle that runs through both the origin and a chosen point (x_final, y_final) where both x and y are again positive. This point must not necessarily be at the end of the quarter circle (i.e. when the gradient is vertical).

When I was running through my simulations I noticed that this model broke down if x_final was smaller than y_final. Hence the question is that is x_final greater than y_final a necessary condition of the curve.

The Attempt at a Solution


It makes intuitive sense to me that this condition must be true because if I imagine all the possible circles of different radii that rest with their bottom on the origin and x-axis, a point where x_final is smaller than y_final can only lie on the upper left quarter of the circle. It almost feels like x_final = y_final is the limit to this model. However, I can't think of a proper mathematical way to show this.
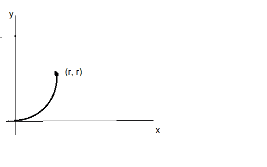
I'm assuming that your quarter circle looks like this:
Qcircle.png

Suppose that (xf, yf) is some point on the quarter circle other than (0, 0) or (r, r). A line segement that connects the endpoints of this figure is part of a line whose equation is y = x. Every point below and to the right of this line segment satisfies the inequality ##y_f < x_f##, so what you're concerned about won't happen, again assuming that we're both talking about the same quarter circle.
 

Attachments

  • Qcircle.png
    Qcircle.png
    945 bytes · Views: 1,324
Last edited:
  • Like
Likes   Reactions: CSA
A couple of things puzzle me about this problem. You say that
CSA said:
The purpose of this is to model is to get a concave up, quarter-circle that runs through both the origin and a chosen point (x_final, y_final) where both x and y are again positive. This point must not necessarily be at the end of the quarter circle (i.e. when the gradient is vertical).
But who choses the point ##(x_{final},y_{final})##? You? Your teacher?
One thing that is clear is that you cannot choose ##(x_{final},y_{final})## after you have already defined the function ##y=f(x)## that represents your quarter circle. You can only choose ##x_{final}##, then ##y_{final}## must equal ##f(x_{final})##.
To read your post, it sounds like you first need to choose the point ##(x_{final},y_{final})## first and then construct the equation of the quarter circle that contains that point.
Are your supposed to look at different quarter circles that contain the point?
I don't understand what problem you are trying to solve. Maybe the text of the original problem statement as given to you would help.
 
Mark44 said:
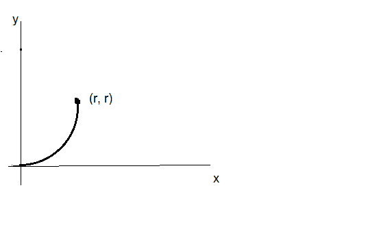
I'm assuming that your quarter circle looks like this:
View attachment 222041
Suppose that (xf, yf) is some point on the quarter circle other than (0, 0) or (r, r). A line segement that connects the endpoints of this figure is part of a line whose equation is y = x. Every point below and to the right of this line segment satisfies the inequality ##y_f < x_f##, so what you're concerned about won't happen, again assuming that we're both talking about the same quarter circle.

Yes, that makes sense. Thank you!
 
tnich said:
A couple of things puzzle me about this problem. You say that

To read your post, it sounds like you first need to choose the point ##(x_{final},y_{final})## first and then construct the equation of the quarter circle that contains that point.

Yes, the point is chosen first and then the radius of the circle is found based on that point
 
CSA said:
Yes, the point is chosen first and then the radius of the circle is found based on that point
Since the "bottom" of the circle is at the origin, the center is necessarily at (0, r). The equation of the full circle is ##x^2 + (y - r)^2 = r^2##.

Substitute the point ##(x_f, y_f)## into this equation and solve for r. Again, since this is the lower right quarter of the circle, it must be true that for any point (x, y) on the arc, ##y \le x##, with equality only at the origin and the upper point on the arc.
 
Mark44 said:
Since the "bottom" of the circle is at the origin, the center is necessarily at (0, r). The equation of the full circle is ##x^2 + (y - r)^2 = r^2##.

Substitute the point ##(x_f, y_f)## into this equation and solve for r. Again, since this is the lower right quarter of the circle, it must be true that for any point (x, y) on the arc, ##y \le x##, with equality only at the origin and the upper point on the arc.

Would this make sense then? Using the equation for the bottom quarter circle. Assuming,
xf < yf

xf < r - sqrt(r2 - xf2)

r - xf > sqrt(r2 - xf2)

square both sides, since both sides are positive and also assuming xf is not zero, it eventually reduces to

xf > r

Therefore, by contradiction, we can say that yf ≤ xf.
 
CSA said:
Would this make sense then? Using the equation for the bottom quarter circle. Assuming,
xf < yf
No it doesn't make sense. On the lower right quarter circle, ##x_f > y_f##, not the other way around as you have it.
Think about it -- the points (0, 0) and (r, r) are on the line y = x. All points above and to the left of this line satisfy y > x. All points below and to the right of this line satisfy y < x, or equivalently, x > y. I said essentially this in posts #2 and #6, but you didn't seem to catch on.

Since you started with an invalid assumption, I didn't read any further.
CSA said:
xf < r - sqrt(r2 - xf2)

r - xf > sqrt(r2 - xf2)

square both sides, since both sides are positive and also assuming xf is not zero, it eventually reduces to

xf > r

Therefore, by contradiction, we can say that yf ≤ xf.
 
Mark44 said:
No it doesn't make sense. On the lower right quarter circle, ##x_f > y_f##, not the other way around as you have it.
Think about it -- the points (0, 0) and (r, r) are on the line y = x. All points above and to the left of this line satisfy y > x. All points below and to the right of this line satisfy y < x, or equivalently, x > y. I said essentially this in posts #2 and #6, but you didn't seem to catch on.

Since you started with an invalid assumption, I didn't read any further.

Oh, I think I did understand what you meant. But, I just meant to prove by contradiction that the initial assumption, in my first line, is invalid by manipulating the inequalities. But, I guess I will just stick to your way of explaining it then. Thanks so much for helping!
 
  • #10
CSA said:
... But, I just meant to prove by contradiction that the initial assumption, in my first line, is invalid by manipulating the inequalities.
...
Now that you point out that you were doing a proof by contradiction, what you did in post #7 makes sense.

An appropriate additional statement would have made it a valid argument. (I have added these in red below.)
CSA said:
Would this make sense then? Using the equation for the bottom quarter circle.
Proof by contradiction that yf ≤ xf.
Assume,
xf < yf .

xf < r - sqrt(r2 - xf2)

r - xf > sqrt(r2 - xf2)

square both sides, since both sides are positive and also assuming xf is not zero, it eventually reduces to

xf > r, which is a contradiction.

Therefore, by contradiction, we can say that yf ≤ xf.
 
  • #11
SammyS said:
Now that you point out that you were doing a proof by contradiction, what you did in post #7 makes sense.
Yes, that would have been helpful, but a proof by contradiction is more work than just a direct argument. Since the circle was defined as having its lowest point at (0, 0) and with radius r, it's clear that the circle also passes through the point (r, r). This point and the origin determine the line whose equation is y = x. All points below and to the right of this line satisfy the inequality y < x, and this includes all of the points on the lower right quarter circle.
 
  • #12
Mark44 said:
Yes, that would have been helpful, but a proof by contradiction is more work than just a direct argument.
Yes!
I agree.
 
  • #13
Alright, thanks again!
 

Similar threads

  • · Replies 3 ·
Replies
3
Views
3K
Replies
17
Views
4K
Replies
20
Views
4K
  • · Replies 62 ·
3
Replies
62
Views
10K
  • · Replies 11 ·
Replies
11
Views
3K
Replies
5
Views
3K
  • · Replies 18 ·
Replies
18
Views
2K
  • · Replies 2 ·
Replies
2
Views
6K
  • · Replies 2 ·
Replies
2
Views
4K
  • · Replies 2 ·
Replies
2
Views
3K