Constructive and destructive interference

Click For Summary

Discussion Overview

The discussion centers on the concepts of constructive and destructive interference of waves, including definitions, conditions for total interference, and mathematical approaches to analyze these phenomena. Participants explore both theoretical and practical aspects of wave interference.

Discussion Character

  • Exploratory
  • Technical explanation
  • Mathematical reasoning

Main Points Raised

  • One participant defines constructive interference as occurring when the combined amplitude of two waves exceeds their individual amplitudes, while destructive interference results in a combined amplitude that is less than that of either wave.
  • The same participant questions whether total constructive or destructive interference always occurs between any two waves.
  • Another participant suggests that a fixed interference pattern arises only when two waves are coherent and of the same frequency, indicating that the positions of constructive and destructive interference are generally variable.
  • A different participant mentions the mathematical representation of waves and the use of trigonometric identities to analyze interference patterns, emphasizing the need for coherent waves to observe stable patterns.

Areas of Agreement / Disagreement

Participants express uncertainty regarding the conditions under which total constructive or destructive interference occurs. There is no consensus on whether such total interference is guaranteed between any two waves, and multiple viewpoints on the nature of interference patterns are presented.

Contextual Notes

Participants reference the mathematical forms of wave equations and the importance of coherence in producing stable interference patterns. There are indications of missing assumptions regarding the conditions for interference and the specific parameters involved in the calculations.

PainterGuy
Messages
938
Reaction score
73
Hi,

It said that constructive interference has taken place between two waves if the combined amplitude for two waves at a certain time is more than their individual amplitudes. Likewise, in case of destructive interference, the combined amplitude is less than the individual amplitudes of either waves.

Moreover, when total or complete constructive interference takes places between two waves, the combined amplitude is sum of individual amplitudes and the waves are totally in phase. For complete or total destructive interference, the combined amplitude is zero and the waves are totally out of phase with each other.

I hope that what I said above is correct.

Question 1:
I'm sure any two waves would always interfere with each other; sometimes constructively and other times destructively. But would they always happen to interfere totally destructively or constructively?

Question 2:
This one is related to Question 1.

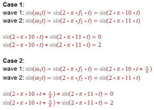
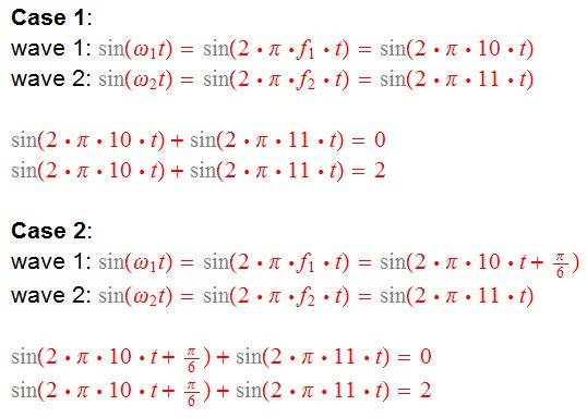
I'm also trying to find a way to see at what time total destructive and constructive interference takes place. In Case 1 only frequencies are different and for Case 2 in addition to frequencies being different wave #1 is also 30 degrees phase shifted.

How do I proceed?

?hash=c9596dd1cdc3bfdc114cf649dc057ac6.jpg


Thank you for the help.
 

Attachments

  • wave_interference1.jpg
    wave_interference1.jpg
    25.6 KB · Views: 397
Science news on Phys.org
The simplest case to look at is two point sources that radiate sinusoidal disturbances=waves, radially outward each with spherical symmetry. These sources are often studied for the pattern they make in a given plane. This is basically what the two slit interference pattern is all about. The intensity of the signal is proportional to the square of the sinusoidal amplitude. Let me try to find a "link" for you. This is perhaps the simplest case that has regions of constructive and destructive interference. The mathematics for the interference pattern is most easily described in the far-field, i.e. far away from the two point sources. See http://web.mit.edu/8.02t/www/802TEAL3D/visualizations/coursenotes/modules/guide14.pdf
Normally, for the sinusoidal disturbance, they use the function ##E(t)=E_o \cos(\omega t+\phi) ##. You can also work with ## \sin(\omega t) ##instead of ## \cos(\omega t) ##, but the customary convention is to use ## \cos(\omega t) ##.
 
Last edited:
  • Like
Likes   Reactions: PainterGuy
PainterGuy said:
Summary: Little confused about constructive and destructive interference definitions, and also trying to mathematically find when total constructive and destructive interference takes places.

But would they always happen to interfere totally destructively or constructively?
A fixed interference pattern will only occur when the two waves are either of the same frequency (coherent enough). The position / time of coincident addition or subtraction will, in general, be constantly changing and can't be identified as an interference pattern.
I am not sure what your calculations are supposed to be showing. The equation of a Wave is of the form
A = A0 cos (ωt- kx)
To calculate an interference pattern, you add two such waves together and use trig identities to get the answer for a particular location and time. The wiki page tells you all you need to know, I think. It's very common just to show the positions of maxes and mins but the overall variation can be found and shows details of the pattern.
 
  • Like
Likes   Reactions: PainterGuy and lomidrevo

Similar threads

  • · Replies 71 ·
3
Replies
71
Views
11K
  • · Replies 6 ·
Replies
6
Views
2K
  • · Replies 4 ·
Replies
4
Views
2K
  • · Replies 8 ·
Replies
8
Views
2K
  • · Replies 5 ·
Replies
5
Views
2K
  • · Replies 28 ·
Replies
28
Views
3K
  • · Replies 5 ·
Replies
5
Views
3K
  • · Replies 9 ·
Replies
9
Views
3K
  • · Replies 6 ·
Replies
6
Views
2K
  • · Replies 2 ·
Replies
2
Views
2K