Convergence of a series involving ln() terms in the denominator of a fraction

Click For Summary

Homework Help Overview

The discussion revolves around the convergence of a series that involves logarithmic terms in the denominator. Participants are exploring various approaches to determine the convergence behavior of the series.

Discussion Character

  • Exploratory, Assumption checking, Mathematical reasoning

Approaches and Questions Raised

  • Some participants suggest using asymptotic comparison to analyze the series, while others question the validity of the approximations used in the denominator. There is a discussion about the necessity of establishing a lower bound for the denominator to apply the majority criterion effectively.

Discussion Status

Participants are actively engaging with each other's ideas, with some providing critical feedback on the initial approach. There is an acknowledgment of the need for stronger arguments and clearer estimations, but no consensus has been reached regarding the final approach to proving convergence.

Contextual Notes

There are mentions of specific mathematical criteria and the need for careful handling of approximations, indicating that the discussion is constrained by the requirements of rigorous proof in convergence analysis.

Amaelle
Messages
309
Reaction score
54
Homework Statement
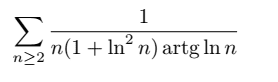
the convergence of a series (look at the image)
Relevant Equations
asymptotic comparison
good day
I want to study the convergence of this serie and want to check my approch
1612195711543.png


I want to procede by asymptotic comparison
artgln n ≈pi/2
n+n ln^2 n ≈n ln^2 n
and we know that
1/(n ln^2 n ) converge so the initial serie converge

many thanks in advance!
 

Attachments

  • 1612195822263.png
    1612195822263.png
    1.5 KB · Views: 202
Physics news on Phys.org
This approach is far too hand wavy. You have no control about the approximations, and they even occur in the denominator! If you want to use the majority criterion you need an estimation
$$
\dfrac{1}{n(1+\log^2(n))\tan^{-1}(\log(n))}\leq \dfrac{1}{n^c} \Longleftrightarrow n^c\leq n(1+\log^2(n))\tan^{-1}(\log(n))
$$
for some ##c > 1##. This means you have to find a lower bound for the denominator which is still big enough.
 
  • Love
  • Like
Likes   Reactions: docnet and Amaelle
Amaelle said:
I want to procede by asymptotic comparison
artgln n ≈pi/2
n+n ln^2 n ≈n ln^2 n
You should make this stronger. n+n ln^2 n > n ln^2 n > 0, so |1/(n + n ln^2 n )| < |1/(n ln^2 n )|.
Amaelle said:
and we know that
1/(n ln^2 n ) converge so the initial serie converge
Do you know that it is absolutely convergent? If so, say that.
 
Last edited by a moderator:
  • Love
  • Like
Likes   Reactions: docnet and Amaelle
thank you so much so my approach , (if I write it as you did ) is correct? I can use the approximation lim artgln n ≈pi/2 when n tends to infinity?
 
fresh_42 said:
This approach is far too hand wavy. You have no control about the approximations, and they even occur in the denominator! If you want to use the majority criterion you need an estimation
$$
\dfrac{1}{n(1+\log^2(n))\tan^{-1}(\log(n))}\leq \dfrac{1}{n^c} \Longleftrightarrow n^c\leq n(1+\log^2(n))\tan^{-1}(\log(n))
$$
for some ##c > 1##. This means you have to find a lower bound for the denominator which is still big enough.
thank you very much , I got your point!
 
What is artg?
 
the function arctangent
 
Got it. It's certainly valid to say things like if n is large enough, artg(ln(n)) > 1, and then use that as a lower bound for the denominator.
 
  • Like
  • Informative
Likes   Reactions: Amaelle and FactChecker
Office_Shredder said:
Got it. It's certainly valid to say things like if n is large enough, artg(ln(n)) > 1, and then use that as a lower bound for the denominator.
thanks a lot!
 

Similar threads

  • · Replies 3 ·
Replies
3
Views
2K
  • · Replies 4 ·
Replies
4
Views
2K
  • · Replies 7 ·
Replies
7
Views
3K
  • · Replies 22 ·
Replies
22
Views
4K
Replies
7
Views
2K
  • · Replies 2 ·
Replies
2
Views
2K
  • · Replies 1 ·
Replies
1
Views
2K
  • · Replies 4 ·
Replies
4
Views
1K
  • · Replies 5 ·
Replies
5
Views
2K
Replies
5
Views
2K