Delta property, integration by parts, heaviside simple property proof

Click For Summary

Homework Help Overview

The discussion revolves around the integral of the product of two Dirac delta functions, specifically attempting to show that ## \int \delta (x-a) \delta (x-c) dx = \delta (-a-c) ##. Participants are exploring the properties of the delta function and integration by parts in this context.

Discussion Character

  • Exploratory, Assumption checking, Mathematical reasoning

Approaches and Questions Raised

  • The original poster attempts to use integration by parts to evaluate the integral but encounters discrepancies in the results, leading to questions about the correctness of the identity being proved.
  • Some participants question the validity of the original poster's assertion and suggest that the results obtained, such as ##\delta(c-a)##, are indeed correct.
  • There are discussions about the behavior of the Dirac delta function and its properties, with references to generalized functions and test functions.
  • One participant introduces alternative representations of the delta function to clarify its properties.

Discussion Status

The discussion is ongoing, with multiple interpretations being explored. Some participants have provided insights and alternative perspectives on the properties of the delta function, but there is no explicit consensus on the original poster's claim. The conversation remains productive, with participants actively engaging in clarifying the mathematical reasoning involved.

Contextual Notes

There are indications that assumptions about the behavior of the delta function and its derivatives are being questioned. The original poster expresses confusion regarding the conditions under which certain results hold, particularly in relation to the integration limits and the properties of the delta function.

binbagsss
Messages
1,291
Reaction score
12

Homework Statement



I am trying to show that ## \int \delta (x-a) \delta (x-c) dx = \delta (-a-c) ## via integeration by parts, but instead I am getting ##\delta (c-a) ## (or ##\delta (a-c)## depending how I go...).
Can someone please help me out where I've gone wrong: struggling to spot it:

Homework Equations



above.

The Attempt at a Solution



I am trying to show that ## \int \delta (x-a) \delta (x-c) dx = \delta (-a-c) ## via integeration by parts, but instead I am getting ##\delta (c-a) ## (or ##\delta (a-c) ## depending how I go...).
Can someone please help me out where I've gone wrong: struggling to spot it:

By parts ## dv/dx= \delta (x-c) ##
## v= H(x-c) ##, ##H(x)## the Heaviside function
##u=\delta(x-a) ##
##du/dx=d/dx ( \delta (x-a) ##

Then

##\delta (x-a) \delta (x-c) dx = ^\infty _{-\infty} [ \delta (x-a) H (x-c) ] - \int H(x-c) d/dx (\delta (x-a)) dx ##
First term vanishes,
=## - ^{\infty}_{c} [\delta (x-a) ] = \delta (c-a) ##, if ##c \geq a##
or ##=0## if ##c<a##

The limit change from ##H(x-c) \neq 0 ## for ##x-c > 0##.

I can't spot what's gone wrong.

thanks a lot.
 
Physics news on Phys.org
binbagsss said:

Homework Statement



I am trying to show that ## \int \delta (x-a) \delta (x-c) dx = \delta (-a-c) ##

Are you sure about this? The answer you are getting of ##\delta (a-c) = \delta(c-a)## looks right.
 
As as aside, here's something I use to take some of the mystery out of the Dirac delta function. You replace the delta function with a finite spiked function. Any function will do, but two obvious candidates are:

##S_1(x) = \frac{1}{2\alpha} \ (-\alpha < x < \alpha) \ ; \ S_1(x) = 0,## otherwise. For some small, positive ##\alpha##

##S_2(x) = \frac{1}{\sqrt{2\pi}\sigma}exp(-\frac{x^2}{2\sigma^2})##. For some small, positive ##\sigma##

Loosely, the Dirac delta function is the limit of either of these functions as ##\alpha## or ##\sigma## tends to ##0##.

Now, in this example, you could replace the second Delta function with one of these finite spiked functions:

##\int \delta(x-a)S(x-c)dx = S(a-c) \approx \delta(a-c)##

You know this from the standard, defining property of the Delta function. ##S(a-c)## is just your spiked function ##S(x)## evaluated at ##a-c##. In the finite case, this is effectively ##0## when ##a## is not close to ##c## and large when ##a## is close to ##c##. In any case, it's a approximately ##\delta(a-c)##.

This loosely shows that the standard property of the delta function can be applied, even when the second function is also a delta function - which wasn't immediately obvious. And that confirms that you are trying to prove an incorrect identity!
 
binbagsss said:

Homework Statement



I am trying to show that ## \int \delta (x-a) \delta (x-c) dx = \delta (-a-c) ## via integeration by parts, but instead I am getting ##\delta (c-a) ## (or ##\delta (a-c)## depending how I go...).
Can someone please help me out where I've gone wrong: struggling to spot it:

Homework Equations



above.

The Attempt at a Solution



I am trying to show that ## \int \delta (x-a) \delta (x-c) dx = \delta (-a-c) ## via integeration by parts, but instead I am getting ##\delta (c-a) ## (or ##\delta (a-c) ## depending how I go...).
Can someone please help me out where I've gone wrong: struggling to spot it:

By parts ## dv/dx= \delta (x-c) ##
## v= H(x-c) ##, ##H(x)## the Heaviside function
##u=\delta(x-a) ##
##du/dx=d/dx ( \delta (x-a) ##

Then

##\delta (x-a) \delta (x-c) dx = ^\infty _{-\infty} [ \delta (x-a) H (x-c) ] - \int H(x-c) d/dx (\delta (x-a)) dx ##
First term vanishes,
=## - ^{\infty}_{c} [\delta (x-a) ] = \delta (c-a) ##, if ##c \geq a##
or ##=0## if ##c<a##

The limit change from ##H(x-c) \neq 0 ## for ##x-c > 0##.

I can't spot what's gone wrong.

thanks a lot.

You should have ##\delta(c-a)##, not ##\delta(-a-c)##.

Besides the method of Perok in post #3, you can instead look at the effect as a generalized function, applied to a test function. That is, let ##F(c) = \int \delta(x-a) \delta(x-c) \, dx##, with ##a## considered as an input constant. We have
$$\int F(c) f(c) \, dc = \int_c \int_x f(c) \delta(x-a) \delta(x-c) \, dx \, dc\\
= \int_x \delta(x-a) \left(\int f(c) \delta(x-c) \, dc\right) \, dx = \int f(x) \delta(x-a) \, dx = f(a),$$
so considered as an operator on functions we have ##F(c) = \delta(c-a)##.
 
  • Like
Likes   Reactions: PeroK
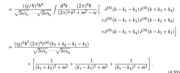
See attached - quantum theory. first line.
Setting ##a=k_1+k_2## and ##c=-k_3-k_4##
##\delta ( -a -c ) ## gives me the correct expression of ##\delta(k_3+k_4-k_1-k_2) = \delta ( -k_3 - k_4 + k_1 + k_2) ##
whereas
##\delta(a-c)## gives me ##\delta(k_1+k_2+k_3+k_4)##
 

Attachments

  • deltadelta.png
    deltadelta.png
    14.2 KB · Views: 474
binbagsss said:
See attached - quantum theory. first line.
Well, that step is wrong. Without seeing the rest of the argumentation it is difficult to tell you what is going on.
 
binbagsss said:
See attached - quantum theory. first line.
Setting ##a=k_1+k_2## and ##c=-k_3-k_4##
##\delta ( -a -c ) ## gives me the correct expression of ##\delta(k_3+k_4-k_1-k_2) = \delta ( -k_3 - k_4 + k_1 + k_2) ##
whereas
##\delta(a-c)## gives me ##\delta(k_1+k_2+k_3+k_4)##

Fact:
$$\int \delta(x-a) \delta(x-c) \, dx = \delta(a-c) = \delta(c-a). $$
You have been shown at least two correct, independent proofs of that fact. If you are reading an article that says something else then that article is wrong!
 
binbagsss said:

Homework Statement



I am trying to show that ## \int \delta (x-a) \delta (x-c) dx = \delta (-a-c) ## via integeration by parts, but instead I am getting ##\delta (c-a) ## (or ##\delta (a-c)## depending how I go...).
Can someone please help me out where I've gone wrong: struggling to spot it:

Homework Equations



above.

The Attempt at a Solution



I am trying to show that ## \int \delta (x-a) \delta (x-c) dx = \delta (-a-c) ## via integeration by parts, but instead I am getting ##\delta (c-a) ## (or ##\delta (a-c) ## depending how I go...).
Can someone please help me out where I've gone wrong: struggling to spot it:

By parts ## dv/dx= \delta (x-c) ##
## v= H(x-c) ##, ##H(x)## the Heaviside function
##u=\delta(x-a) ##
##du/dx=d/dx ( \delta (x-a) ##

Then

##\delta (x-a) \delta (x-c) dx = ^\infty _{-\infty} [ \delta (x-a) H (x-c) ] - \int H(x-c) d/dx (\delta (x-a)) dx ##
First term vanishes,
=## - ^{\infty}_{c} [\delta (x-a) ] = \delta (c-a) ##, if ##c \geq a##
or ##=0## if ##c<a##

The limit change from ##H(x-c) \neq 0 ## for ##x-c > 0##.

I can't spot what's gone wrong.

thanks a lot.

Thank you for your replies.
However can someone please help me see what is wrong with the step above where I have
=## - ^{\infty}_{c} [\delta (x-a) ] = \delta (c-a) ##, if ##c \geq a##
or ##=0## if ##c<a##

I have ##c \geq a## since ##a## must be ##\in## the domain I am integrating over, however this doesn't seem to make sense because ##\delta (c-a) = \delta (a-c)##, so if I do the above derivaiton the other way around I'd instead get the condition ##=0## if ##a<c## ... ?

Many thanks.
 
binbagsss said:
Thank you for your replies.
However can someone please help me see what is wrong with the step above where I have
=## - ^{\infty}_{c} [\delta (x-a) ] = \delta (c-a) ##, if ##c \geq a##
or ##=0## if ##c<a##

I have ##c \geq a## since ##a## must be ##\in## the domain I am integrating over, however this doesn't seem to make sense because ##\delta (c-a) = \delta (a-c)##, so if I do the above derivaiton the other way around I'd instead get the condition ##=0## if ##a<c## ... ?

Many thanks.

Derivatives of ##\delta## do not behave the way you think they should. Formally, we may regard the derivative as
$$\delta'(x) = -\frac{1}{x} \delta(x).$$
This does not make much sense as a statement about a function; it really means that ##x \delta'(x) = -\delta(x)##.

##\delta(x)## is not really an "ordinary" function, so using ordinary methods on it may lead to disaster, as they have done in your case.

For more on this, see, eg., http://mathworld.wolfram.com/DeltaFunction.html
or https://en.wikipedia.org/wiki/Dirac_delta_function .
 
  • #10
Thank you for your reply,

so rather above where i wrote:

=## - ^{\infty}_{c} [\delta (x-a) ] = \delta (c-a) ##, if ##c \geq a##
or ##=0## if ##c<a##

The limit change from ##H(x-c) \neq 0 ## for ##x-c > 0##.


It should have been ## = - ^{\infty}_{c} [\delta (x-a) ] = \delta (c-a) ## for all ##c##,##a##, i.e. without any condition?
what's the proper way I should have wrote this?

thanks a lot.
 

Similar threads

  • · Replies 14 ·
Replies
14
Views
2K
  • · Replies 31 ·
2
Replies
31
Views
5K
  • · Replies 3 ·
Replies
3
Views
1K
  • · Replies 9 ·
Replies
9
Views
4K
  • · Replies 3 ·
Replies
3
Views
2K
  • · Replies 6 ·
Replies
6
Views
2K
  • · Replies 1 ·
Replies
1
Views
2K
  • · Replies 22 ·
Replies
22
Views
3K
  • · Replies 11 ·
Replies
11
Views
3K
  • · Replies 3 ·
Replies
3
Views
1K