Density Parameters using Mathematica

Click For Summary

Homework Help Overview

The original poster is working on solving equations related to density parameters using Mathematica for a project. They are attempting to solve two specific equations while considering constraints on the parameters, particularly the omegas, which must sum to 1.

Discussion Character

  • Exploratory, Problem interpretation, Assumption checking

Approaches and Questions Raised

  • Participants discuss the need to solve equations (1) and (3) with specific conditions on the omegas. The original poster shares their Mathematica code and expresses confusion over the results, particularly regarding the plots and the expected behavior of the equations. Questions arise about the nature of the omegas and the variable r_e, including whether they are constants or functions of z.

Discussion Status

The discussion is ongoing, with participants exploring different interpretations of the problem. Some guidance has been offered regarding the use of NSolve and the definition of functions in Mathematica, but no consensus has been reached on the best approach to take.

Contextual Notes

The original poster mentions that they are required to solve for r_e for various constant values of the omegas, which adds a layer of complexity to the problem. There is also a reference to the unusual behavior of the plots generated in Mathematica.

Rick88
Messages
113
Reaction score
0

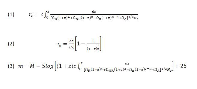
Homework Statement


hello, I have to solve a couple of equations on Mathematica for a project, and since they are not really working out, I wondered if you could help me out a bit.

I need to solve equation (1) (you can find the equations in the .doc attached) and plot the solution for a range of values of two omegas.
The omegas are related by the fact that the sum of all the omegas is always 1, so what we usually did in class was to assume was of them was 1 and the other 0, and we got something similar to equation (2).
Now I need to solve the equation with two non-zero gammas. So say, "NR" a "n".
The solution to the equation in my mathematica notebook doesn't seem right at all as it is lines long, and I'm supposed to write it down.
And the plot is quite unusual. It's discontinuos and stops at z=1 when it should be 0<z<10.

The second equation/plot are for equation (3). The plot looks reasonable, but it should look like the thick line in the image linked below
http://iopscience.iop.org/0004-637X/659/1/98/65868.fg6.html .
(The subscript "M" corresponds to our "NR")

I'm quite at a loss because it seemed a simple enough thing to do and the code looks alright, but I guess it's not.

Help! :)
 

Attachments

Physics news on Phys.org
I can't speak for others, but I'd have a much easier time trying to help you out if I didn't have to open up a separate file just to see the problem. So you'll probably get quicker answers if you copy the relevant equations or whatever from the .doc file to your post.
 
Ok, thanks for your suggestion.


Right, I need to solve equations (1) and (3) for two omegas only. That is, two of the omegas would be zero, whilst the other non-zero.
r2iwjp.jpg

And the sum of the omegas must always be 1.

What I've written so far in Mathematica is:
sol = NSolve[r2[z] == Integrate[(0.1*(1 + z)^3 + 0.9)^-0.5, z], r2[z]]

Plot[r2[z] /. sol, {z, 0, 10}, PlotRange -> {0, 10},
AxesLabel -> {z, Subscript[r, e]}]

sol1 = NSolve[
m[z] == 5 Log[(1 + z)*
NIntegrate[(0.27*(1 + z)^3 + 0.73)^-0.5, {z, 0, 10}] + 25 -
19.6], m[z]]

Plot[m[z] /. sol1, {z, 0, 10}, PlotRange -> {0, 20},
AxesLabel -> {z, m}]
 
Are you supposed to solve for the omegas, or are you supposed to solve for [itex]r_e[/itex]? Are the omegas constants or are they functions of [itex]1 + z[/itex]? What about [itex]r_e[/itex], is that a function of z?
 
I'm supposed to solve for re for different values of the omegas.
so say 0.2, 0.8; 0.5, 0.5 and so on.
And the omegas are constant.
 
In that case, I don't think there's any reason to use NSolve. You can just define r2 as a function of z,
Code:
r2[z_] := Integrate[..., {z,0,z}]
 

Similar threads

  • · Replies 1 ·
Replies
1
Views
2K
  • · Replies 4 ·
Replies
4
Views
4K
  • · Replies 5 ·
Replies
5
Views
2K
  • · Replies 2 ·
Replies
2
Views
3K
  • · Replies 1 ·
Replies
1
Views
2K
Replies
1
Views
2K
Replies
9
Views
2K
  • · Replies 16 ·
Replies
16
Views
2K
  • · Replies 6 ·
Replies
6
Views
2K
  • · Replies 5 ·
Replies
5
Views
3K