Derivative consisting Levi-Civita

  • Context: Undergrad 
  • Thread starter Thread starter vahdaneh
  • Start date Start date
  • Tags Tags
    Derivative Levi-civita
Click For Summary

Discussion Overview

The discussion revolves around the mathematical treatment of derivatives involving the Levi-Civita symbol in the context of field theory, specifically focusing on the expression involving the electromagnetic field tensor and its derivatives. Participants explore the implications of antisymmetrization and the correct placement of indices in tensor notation.

Discussion Character

  • Technical explanation
  • Mathematical reasoning
  • Debate/contested

Main Points Raised

  • Some participants express uncertainty about the correctness of their derivations and whether certain terms should be considered zero.
  • There is a discussion on the correct placement of indices in the expression replacing E.B, with questions about whether both indices should be lower indices.
  • One participant suggests that the contraction with the Levi-Civita symbol already accounts for antisymmetrization, leading to a specific form of the expression involving derivatives of the vector potential.
  • Another participant notes that there should be a factor of 4 due to the definition of the field tensor, which leads to multiple terms per insertion of the field tensor.
  • There is a suggestion to simplify the expression further and explore other forms of the last line, including manipulations of the Levi-Civita symbol.
  • One participant acknowledges the challenge of remembering numerical factors in the context of these calculations.

Areas of Agreement / Disagreement

Participants generally express uncertainty and seek clarification on various aspects of the derivation, indicating that multiple competing views and interpretations remain unresolved.

Contextual Notes

There are limitations regarding the assumptions made about the indices and the treatment of the Levi-Civita symbol, as well as unresolved steps in the mathematical derivations presented.

vahdaneh
Messages
6
Reaction score
0
5.jpg

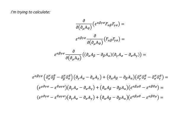
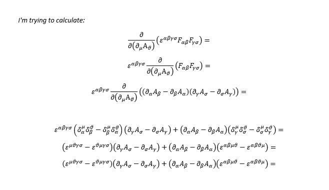
I've got here so far, but first of all I'm not sure if i did it right till the last line and second, if I've been right, i do not know what to do with the rest.

should i consider each of levi-civita parentheses in the last line zero?

and one additional question about the term in the first line parentheses, i wrote it to replace E.B, are the indices in their right place? i mean, should both of them be down indices?

i'll be really grateful
 
Last edited:
Physics news on Phys.org
vahdaneh said:
View attachment 253290
I've got here so far, but first of all I'm not sure if i did it right till the last line and second, if I've been right, i do not know what to do with the rest.

should i consider each of levi-civita parentheses in the last line zero?

and one additional question about the term in the first line parentheses, i wrote it to replace E.B, are the indices in their right place? i mean, should both of them be down indices?

i'll be really grateful

I'd write

##\epsilon^{\alpha\beta\gamma\sigma} F_{\alpha\beta}F_{\gamma\sigma} = \epsilon^{\alpha\beta\gamma\sigma} \partial_{\alpha}A_{\beta} \partial_{\gamma}A_{\sigma} ## because the contraction with epsilon already takes into account the antisymmetrization. Doing the differentiation then leads to two terms,

##\epsilon^{\alpha\beta\gamma\sigma} \delta_{\alpha}^{\mu} \delta^{\theta}_{\beta} \partial_{\gamma}A_{\sigma} + \epsilon^{\alpha\beta\gamma\sigma} \partial_{\alpha}A_{\beta} \delta_{\gamma}^{\mu} \delta^{\theta}_{\beta} ##

From there on you can simplify.
 
  • Like
Likes   Reactions: vahdaneh
haushofer said:
I'd write

##\epsilon^{\alpha\beta\gamma\sigma} F_{\alpha\beta}F_{\gamma\sigma} = \epsilon^{\alpha\beta\gamma\sigma} \partial_{\alpha}A_{\beta} \partial_{\gamma}A_{\sigma} ##
Just to mention that there should be a factor of 4 here since ##F_{\mu\nu} = \partial_\mu A_\nu - \partial_\nu A_\mu## leads to two terms per insertion of ##F##.
 
  • Like
Likes   Reactions: vanhees71 and vahdaneh
haushofer said:
I'd write

##\epsilon^{\alpha\beta\gamma\sigma} F_{\alpha\beta}F_{\gamma\sigma} = \epsilon^{\alpha\beta\gamma\sigma} \partial_{\alpha}A_{\beta} \partial_{\gamma}A_{\sigma} ## because the contraction with epsilon already takes into account the antisymmetrization. Doing the differentiation then leads to two terms,

##\epsilon^{\alpha\beta\gamma\sigma} \delta_{\alpha}^{\mu} \delta^{\theta}_{\beta} \partial_{\gamma}A_{\sigma} + \epsilon^{\alpha\beta\gamma\sigma} \partial_{\alpha}A_{\beta} \delta_{\gamma}^{\mu} \delta^{\theta}_{\beta} ##

From there on you can simplify.

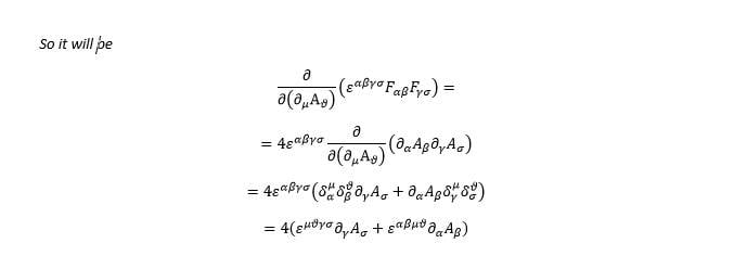
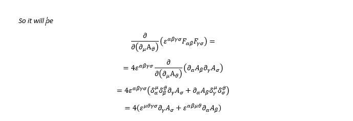
6.jpg

yet i do not know in what other forms i can use the last line...
 
[tex]\frac{\partial}{\partial (\partial_{\alpha}A_{\beta})} \left( \epsilon^{\mu\nu\rho\sigma}F_{\mu\nu}F_{\rho\sigma} \right) = 2 \frac{\partial}{\partial F_{\alpha \beta}} \left( \epsilon^{\mu\nu\rho\sigma}F_{\mu\nu}F_{\rho\sigma} \right) ,[/tex]
[tex]\frac{\partial}{\partial (\partial_{\alpha}A_{\beta})} \left( \epsilon^{\mu\nu\rho\sigma}F_{\mu\nu}F_{\rho\sigma} \right) = 2 \epsilon^{\mu\nu\rho\sigma} \left( \delta^{\alpha}_{\mu}\delta^{\beta}_{\nu} F_{\rho\sigma} + \delta^{\alpha}_{\rho} \delta^{\beta}_{\sigma} F_{\mu\nu}\right) = 4 \epsilon^{\alpha\beta\mu\nu}F_{\mu\nu}.[/tex]
 
Last edited:
  • Like
Likes   Reactions: vahdaneh
vahdaneh said:
View attachment 253294
yet i do not know in what other forms i can use the last line...
In the last line use [tex]\epsilon^{\alpha\beta\mu\theta} = \epsilon^{\mu\theta\alpha\beta} ,[/tex] then use [tex]\epsilon^{\mu\theta\gamma\sigma}\partial_{\gamma}A_{\sigma} = \epsilon^{\mu\theta\beta\alpha}\partial_{\beta}A_{\alpha} = - \epsilon^{\mu\theta\alpha\beta}\partial_{\beta}A_{\alpha} .[/tex]
 
  • Like
Likes   Reactions: vahdaneh
Orodruin said:
Just to mention that there should be a factor of 4 here since ##F_{\mu\nu} = \partial_\mu A_\nu - \partial_\nu A_\mu## leads to two terms per insertion of ##F##.
Ah, yes, those pesky numerical factors became a bit rusty since I left academia :P Thanks!
 
  • Like
Likes   Reactions: vanhees71

Similar threads

  • · Replies 3 ·
Replies
3
Views
2K
  • · Replies 1 ·
Replies
1
Views
2K
  • · Replies 18 ·
Replies
18
Views
3K
  • · Replies 18 ·
Replies
18
Views
2K
  • · Replies 8 ·
Replies
8
Views
5K
  • · Replies 22 ·
Replies
22
Views
4K
  • · Replies 4 ·
Replies
4
Views
3K
  • · Replies 7 ·
Replies
7
Views
7K
Replies
2
Views
2K
  • · Replies 20 ·
Replies
20
Views
5K