Derivative of Definite Integral Conundrum

Click For Summary
SUMMARY

The discussion centers on the challenges of applying the fundamental theorem of calculus to a function B(R) defined by a definite integral with one limit being R. The participant encounters a problem where the derivative of B(R) evaluates to zero due to the function vanishing at x = R. The suggested solution involves using Leibniz's Integral Rule to differentiate B(R) effectively. This approach allows for the correct evaluation of the derivative by treating the limits of integration as functions of R.

PREREQUISITES
  • Understanding of the fundamental theorem of calculus
  • Familiarity with Leibniz's Integral Rule
  • Basic knowledge of definite integrals and their properties
  • Ability to manipulate functions and variables in calculus
NEXT STEPS
  • Study Leibniz's Integral Rule in detail to understand its application
  • Practice differentiating functions defined by definite integrals
  • Explore the implications of variable limits in integration
  • Review examples of functions that vanish at certain points and their derivatives
USEFUL FOR

Students studying calculus, particularly those tackling advanced integration techniques, educators teaching integral calculus, and anyone interested in the application of Leibniz's Integral Rule in mathematical analysis.

ObjectivelyRational
Messages
150
Reaction score
9

Homework Statement



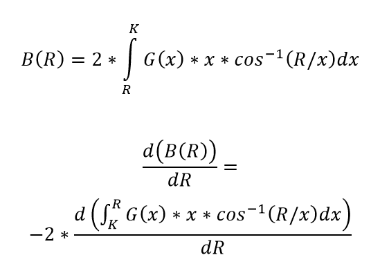
The normal approach using the fundamental theorem of calculus seems inapplicable. I define a function B(R) based on a definite integral with one of the limits being R. One factor in the definite integral has R in it and that function vanishes to 0 at x = R.

Using the fundamental theorem I run into the problem that the derivative of B(R) evaluates to 0.

Homework Equations


upload_2016-9-9_15-48-38.png
K is just a constant greater than R.

The Attempt at a Solution



Reversing the sign and the limits of integration is as far as I got. If I do a straight replacement of x with R, Cos-1(R/x) goes to Cos-1(1) which is zero...

I'm trying to isolate G but this has me stumped.
 
Physics news on Phys.org
Try writing the two occurrences of ##R## in the formula as separate variables ##u## and ##v## and write ##B(R)## as a function of the two variables, each of which is a function of ##R##, viz: ##u(R)=V(R)=R##.

If you can do that then you can then use the http://tornado.sfsu.edu/Geosciences/classes/m430/TotalDerivative/Total_derivative.html formula to find ##\frac{dB}{dR}##.
 
ObjectivelyRational said:

Homework Statement



The normal approach using the fundamental theorem of calculus seems inapplicable. I define a function B(R) based on a definite integral with one of the limits being R. One factor in the definite integral has R in it and that function vanishes to 0 at x = R.

Using the fundamental theorem I run into the problem that the derivative of B(R) evaluates to 0.

Homework Equations


View attachment 105677K is just a constant greater than R.

The Attempt at a Solution



Reversing the sign and the limits of integration is as far as I got. If I do a straight replacement of x with R, Cos-1(R/x) goes to Cos-1(1) which is zero...

I'm trying to isolate G but this has me stumped.

Have you forgotten (or perhaps, never learned) Leibniz' (Integral) Rule? See, eg.,
http://mathworld.wolfram.com/LeibnizIntegralRule.html
 

Similar threads

Replies
3
Views
2K
  • · Replies 19 ·
Replies
19
Views
3K
  • · Replies 7 ·
Replies
7
Views
3K
  • · Replies 9 ·
Replies
9
Views
2K
Replies
3
Views
2K
Replies
7
Views
2K
  • · Replies 12 ·
Replies
12
Views
2K
  • · Replies 11 ·
Replies
11
Views
3K
  • · Replies 1 ·
Replies
1
Views
3K
  • · Replies 3 ·
Replies
3
Views
2K