Derivative of directional vector

  • Thread starter Thread starter yecko
  • Start date Start date
  • Tags Tags
    Derivative Vector
Click For Summary

Homework Help Overview

The discussion revolves around finding unit vectors that indicate the directions of maximum increase and decrease of a function at a specific point, P0. Participants are examining the computation of directional derivatives and the gradient vector associated with the function.

Discussion Character

  • Exploratory, Assumption checking, Mathematical reasoning

Approaches and Questions Raised

  • Participants are questioning the values of the directional derivatives and the calculations leading to the conclusion that they equal 2*sqrt(3). There is a focus on verifying the gradient vector and its implications for the directional derivative.

Discussion Status

The discussion includes attempts to clarify the correct values of the gradient and the directional derivatives. Some participants are suggesting that the original poster verify their computations, indicating a productive exchange of ideas without reaching a consensus on the correctness of the original calculations.

Contextual Notes

There appears to be confusion regarding the gradient vector's components and their impact on the directional derivative, with references to specific values that may not align with the original poster's assumptions.

yecko
Gold Member
Messages
275
Reaction score
15

Homework Statement



Find the unit vectors along which the given functions below increase and decrease most rapidly at P0 . Then find the derivatives of the functions in these directions.

螢幕快照 2017-10-21 下午8.28.59.png


Homework Equations


solution:
螢幕快照 2017-10-21 下午8.24.25.png


The Attempt at a Solution


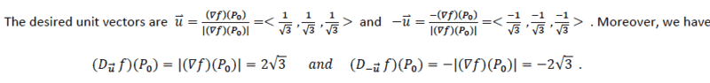
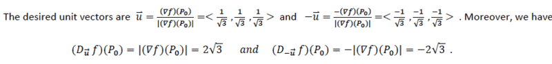
why are the derivatives’ values along these two directions are 2*sqrt(3)?
as (∇f)(P0)= <1,1,1>, absolute value of it = sqrt(3)
why is the solution multiplied 2 for it?
thanks
 

Attachments

  • 螢幕快照 2017-10-21 下午8.24.25.png
    螢幕快照 2017-10-21 下午8.24.25.png
    8.3 KB · Views: 782
  • 螢幕快照 2017-10-21 下午8.28.59.png
    螢幕快照 2017-10-21 下午8.28.59.png
    1.7 KB · Views: 816
Physics news on Phys.org
yecko said:
as (∇f)(P0)= <1,1,1>,
It isn’t. Double check your computations.
 
yecko said:

Homework Statement



Find the unit vectors along which the given functions below increase and decrease most rapidly at P0 . Then find the derivatives of the functions in these directions.

View attachment 213475

Homework Equations


solution:
View attachment 213474

The Attempt at a Solution


why are the derivatives’ values along these two directions are 2*sqrt(3)?
as (∇f)(P0)= <1,1,1>, absolute value of it = sqrt(3)
why is the solution multiplied 2 for it?
thanks

You are correct: the directional derivative is, indeed, ##2 \sqrt{3}##. The reason is that ##\nabla f(1,1,1) = \langle 2,2,2 \rangle## is a vector of length ##\sqrt{3 \times 4} = 2 \sqrt{3}##.
 
Ray Vickson said:
You are correct: the directional derivative is, indeed, ##2 \sqrt{3}##.
The OP thinks the directional derivative is ##\sqrt{3}## and ##\nabla f = \langle 1,1,1\rangle##, so he is not correct. This is why I suggested him to check his computation of the gradient in #2.
 
o yes... thanks
 

Similar threads

Replies
9
Views
2K
  • · Replies 4 ·
Replies
4
Views
2K
  • · Replies 8 ·
Replies
8
Views
2K
Replies
7
Views
2K
  • · Replies 4 ·
Replies
4
Views
2K
  • · Replies 6 ·
Replies
6
Views
2K
  • · Replies 7 ·
Replies
7
Views
6K
  • · Replies 2 ·
Replies
2
Views
2K
  • · Replies 8 ·
Replies
8
Views
5K
Replies
12
Views
9K