Derive the expression for the work done by the friction force

Click For Summary

Homework Help Overview

The discussion revolves around deriving the expression for the work done by the friction force on a slider moving along a rod, with a focus on the coefficient of kinetic friction and the spring's properties. The problem involves analyzing forces and distances in a mechanical system, specifically relating to friction and spring tension.

Discussion Character

  • Exploratory, Conceptual clarification, Mathematical reasoning, Problem interpretation

Approaches and Questions Raised

  • Participants are attempting to derive expressions related to the forces acting on the slider, including the normal force and friction force. Questions about the relationship between the spring tension and the angle of the slider are raised, as well as the need for a functional form of the spring length.

Discussion Status

The discussion is ongoing, with participants exploring various interpretations of the problem. Some have provided insights into the relationships between forces and angles, while others express confusion about specific calculations and the need for clearer equations. There is no explicit consensus yet, but guidance on analyzing forces and integrating expressions has been offered.

Contextual Notes

Participants note the importance of considering the slider's position and the angle as it moves, as well as the need to derive expressions that account for these variables. The complexity of the problem is acknowledged, particularly in relation to the spring's behavior and the friction involved.

Alexanddros81
Messages
177
Reaction score
4

Homework Statement


14.6 The coefficient of kinetic friction between the slider and the rod is μ, and the
free length of the spring is ##L_0 = b##. Derive the expression for the work done by
the friction force on the slider as it moves from A to B. Neglect the weight of the slider.

Fig P14_5_6.png


Homework Equations

The Attempt at a Solution



Pytels_Dynamics101.jpg

I[/B] am going the right direction with my solution?
I don't see to be getting the ##-0.1186μkb^2## solution.
 

Attachments

  • Fig P14_5_6.png
    Fig P14_5_6.png
    6.1 KB · Views: 776
  • Pytels_Dynamics101.jpg
    Pytels_Dynamics101.jpg
    13 KB · Views: 1,200
Physics news on Phys.org
##\mu## stands for the ratio of the friction force and some normal force. What's that normal force as a function of position ?

Pity you don't give any relevant equations. I don't think the exercise wants you to look at the velocities.
 
Pytels_Dynamics103.jpg

Am going the right direction with the above calculation?
 

Attachments

  • Pytels_Dynamics103.jpg
    Pytels_Dynamics103.jpg
    17.2 KB · Views: 1,908
Alexanddros81 said:
View attachment 215969
Am going the right direction with the above calculation?
It is preferred that you type in your algebra. This makes it easier to comment on specific lines. Or you could number the equations.
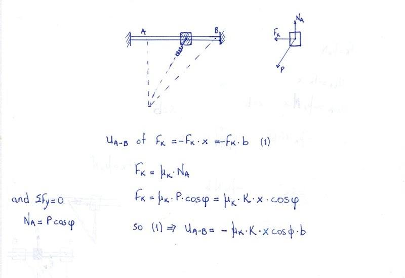
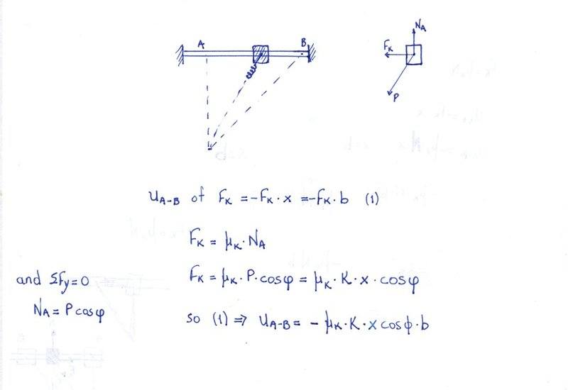
Your FBD omits the force dragging the slider from A to B. You should take acceleration to be negligible. This invalidates your force balance equation for the x direction.
The NA=P cos(φ) equation is the useful one, but you need to find P as a function of φ and integrate.
 
upload_2017-12-4_22-3-44.png


haruspex said:
Your FBD omits the force dragging the slider from A to B. You should take acceleration to be negligible. This invalidates your force balance equation for the x direction.
For the x direction:
##ΣFx=0 => F-F_k=0 => F=F_k## (1)

For the y direction:
##ΣFy=0 => N_A-Pcosφ=0 => N_A=Pcos(φ)## (2)

haruspex said:
The NA=P cos(φ) equation is the useful one, but you need to find P as a function of φ and integrate

How do I do that? I am a bit confused...
 

Attachments

  • upload_2017-12-4_22-3-44.png
    upload_2017-12-4_22-3-44.png
    9 KB · Views: 667
How would you calculate ##P## at point B ?
 
Last edited:
Alexanddros81 said:
How do I do that? I am a bit confused...
It's the tension in a spring. What determines the value of that?
 
BvU said:
How would you calculate PPP at point B ?

P at point B be should be ## -kx## where x is the elongation of the spring.

##x = L_B-L_0 = \sqrt {b^2+b^2} - b = 0.414b##

So P = -0.414kb

Am I correct? (it is the second problem with springs ever i am trying to solve )
 
Alexanddros81 said:
P at point B be should be ## -kx## where x is the elongation of the spring.

##x = L_B-L_0 = \sqrt {b^2+b^2} - b = 0.414b##

So P = -0.414kb

Am I correct? (it is the second problem with springs ever i am trying to solve )

I think the problem is a lot more complicated than that. First, you need an expression for the length of the spring as a function of the distance from A to B.
 
  • #10
PeroK said:
I think the problem is a lot more complicated than that. First, you need an expression for the length of the spring as a function of the distance from A to B.

So to do that I split the distance between A and B to 3 sections. from 0 to 1/3 of b, from 1/3b to 2/3b, and from 2/3b to b.

At 1/3b ##sinφ = \frac {1b/3} {l} => sinφ = \frac {1b/3} {1.054b} = 0.316## (where ##l = b + L_{1/3b} - L_0##)

At 2/3b ##sinφ = 0.55##
At 3/3b ##sinφ = 0.707## that verifies that when collar is at position B the angle φ is 45 degrees.

So from above we can say that ##l = L_{AB} = \sqrt {b^2+(xb)^2}## where x is between 0 and 1
 
  • #11
Alexanddros81 said:
So from above we can say that ##l = L_{AB} = \sqrt {b^2+(xb)^2}## where x is between 0 and 1

Well, I'd say just use good old Pythagoras:

##L = \sqrt{x^2 + b^2}##, where ##0 \le x \le b##

Now you need to analyse the forces at each point ##x## between ##A## and ##B##.
 
  • #12
Alexanddros81 said:
So to do that I split the distance between A and B to 3 sections. from 0 to 1/3 of b, from 1/3b to 2/3b, and from 2/3b to b.

At 1/3b ##sinφ = \frac {1b/3} {l} => sinφ = \frac {1b/3} {1.054b} = 0.316## (where ##l = b + L_{1/3b} - L_0##)

At 2/3b ##sinφ = 0.55##
At 3/3b ##sinφ = 0.707## that verifies that when collar is at position B the angle φ is 45 degrees.

So from above we can say that ##l = L_{AB} = \sqrt {b^2+(xb)^2}## where x is between 0 and 1
Remember the last line in #4: You need ##P## as a function of ##\phi##. I think you do fine for ##\phi## at specific values, but you need a function for all ##\phi## in ##[0,\pi/4]##
 
  • #13
PeroK said:
Now you need to analyse the forces at each point x between A and B

Well using Inkscape, FBD is:

FBD P14_6.jpg


in y-axis ##N_A = P_y => N_A = Pcos(φ)##

in x-axis ##-F_k - P_x < F## (Is this correct?)

BvU said:
Remember the last line in #4: You need P as a function of ϕ. I think you do fine for ϕ at specific values, but you need a function for all ϕ in [0,π/4]

##P=Pcos(φ) ## (Is this correct?)
 

Attachments

  • FBD P14_6.jpg
    FBD P14_6.jpg
    10.6 KB · Views: 582
  • #14
##\ P_y = P \cos\phi## is right. Both factors change during the trip. So fill in something for ##P##: a function of ##\phi##.
 
  • #15
BvU said:
Py=Pcosϕ is right. Both factors change during the trip. So fill in something for P: a function of ϕ
The only thing i understand is that ##P = -kl##
I can see that as the angle increases so does P. So P∝φ

should it be P related to ##1/cos(φ) ? If angle is 0deg the 1/cos(φ) is 1; Then as angle increases so does 1/cos(φ);
 
  • #16
Write it out in full so you have something that you can integrate from ##\phi=0## to ##\phi = \pi/2##...
To help you: ##k## is given. Now you need ##l(\phi)## -- you did it already, see above
 
  • #17
BvU said:
To help you: k is given. Now you need l(ϕ) -- you did it already, see above
Hi. When you say "see above" which post you are referring to?
thanks
 
  • #18
Alexanddros81 said:
Hi. When you say "see above" which post you are referring to?
thanks
Post #10, but you would do better to use PeroK's simplification in post #11. It will be more convenient to have x as the distance along the bar from A, so x ranges from 0 to b.
 

Similar threads

Replies
1
Views
2K
  • · Replies 4 ·
Replies
4
Views
3K
  • · Replies 7 ·
Replies
7
Views
8K
Replies
7
Views
3K
  • · Replies 8 ·
Replies
8
Views
2K
Replies
18
Views
3K
Replies
29
Views
3K
  • · Replies 24 ·
Replies
24
Views
2K
  • · Replies 4 ·
Replies
4
Views
2K
Replies
61
Views
4K