Deriving hermite differential equation from schrødinger harm oscillator

Click For Summary
SUMMARY

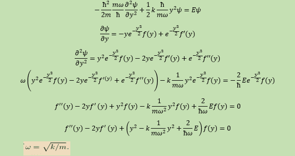
The discussion focuses on deriving the Hermite polynomial from the Schrödinger equation for a harmonic oscillator. The user attempts to solve the problem but encounters an error in calculating the second derivative, specifically ##\frac{\partial^2 \psi}{\partial y^2}##. A suggestion is made to revisit this calculation to ensure all terms are included, which is crucial for obtaining the correct Hermite differential equation.

PREREQUISITES
  • Understanding of the Schrödinger equation
  • Familiarity with harmonic oscillators in quantum mechanics
  • Knowledge of Hermite polynomials
  • Basic calculus, particularly differentiation
NEXT STEPS
  • Review the derivation of the Hermite differential equation
  • Study the properties of Hermite polynomials
  • Learn about series solutions to differential equations
  • Explore the role of the second derivative in differential equations
USEFUL FOR

Students and researchers in quantum mechanics, particularly those studying harmonic oscillators and their mathematical foundations.

georg gill
Messages
151
Reaction score
6

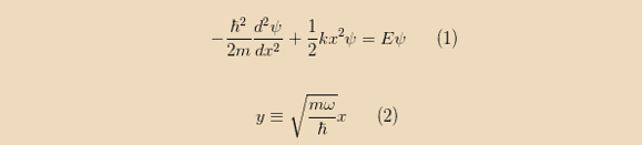
Homework Statement



I am trying to obtain the hermite polynomial from the schrødinger equation for a har monic oscillator. My attempt is shown below. Thank you! The derivation is based on this site:

http://www.physicspages.com/2011/02/08/harmonic-oscillator-series-solution/

The Attempt at a Solution


upload_2016-1-21_15-7-36.png

upload_2016-1-21_15-8-11.png

upload_2016-1-21_15-9-26.png

upload_2016-1-21_15-9-59.png

however the book says:
upload_2016-1-21_15-12-38.png

upload_2016-1-21_15-13-2.png
 
Physics news on Phys.org
Seems like your mistake lies in your calculation of ##\frac{\partial^2 \psi}{\partial y^2}##. I suggest that you check again on this point to see whether you had left out one term.
 
thanks!
 

Similar threads

  • · Replies 1 ·
Replies
1
Views
3K
  • · Replies 3 ·
Replies
3
Views
7K
  • · Replies 2 ·
Replies
2
Views
2K
Replies
1
Views
3K
  • · Replies 11 ·
Replies
11
Views
3K
Replies
4
Views
2K
  • · Replies 1 ·
Replies
1
Views
2K
Replies
2
Views
3K
  • · Replies 1 ·
Replies
1
Views
2K
  • · Replies 10 ·
Replies
10
Views
3K