Deriving Properties of Inner Products for Complex Vector Spaces

Click For Summary
SUMMARY

The discussion focuses on deriving properties of inner products for complex vector spaces as outlined in "Mathematical Methods for Physics and Engineering" by Riley and Hobson. Participants highlight the need for clarity in defining expressions involving complex conjugates and linear combinations. A key insight is that the proof can be streamlined by directly applying Property 2 to the first line of the derivation, thus eliminating unnecessary complexity. This approach not only resolves ambiguities but also enhances the overall efficiency of the proof.

PREREQUISITES
  • Understanding of inner product spaces in complex vector spaces
  • Familiarity with complex conjugates and their properties
  • Knowledge of linear combinations in vector spaces
  • Basic principles from "Mathematical Methods for Physics and Engineering" by Riley and Hobson
NEXT STEPS
  • Study the properties of inner products in complex vector spaces
  • Learn about the implications of linearity in inner products
  • Explore proofs involving complex conjugates in vector spaces
  • Review examples from "Mathematical Methods for Physics and Engineering" for practical applications
USEFUL FOR

Students and educators in mathematics and physics, particularly those focusing on linear algebra and complex vector spaces, will benefit from this discussion.

DRose87
Messages
10
Reaction score
0
(Not an assigned problem...)
1. Homework Statement

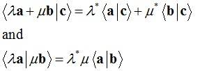
pg 244 of "Mathematical Methods for Physics and Engineering" by Riley and Hobson says that given the following two properties of the inner product

pfor1.jpg


It follows that:
image.jpg


2. Attempt at a solution.
I think that both of these solutions are valid...but even if they are valid, is there a simpler and more intuitive way to derive these properties of inner products for a complex vector space from i and ii?
solution.png
 
Physics news on Phys.org
The item ##\langle \mathbf c^*\ |\ \lambda^*\mathbf a^*+\mu^*\mathbf b^*\rangle## in the second line of your attempt is undefined. Even if it had been defined, eg by assuming that the elements of the vector space were sequences of complex numbers, and defining the conjugate of the sequence to be the sequence of the conjugates, additional steps would still be needed to prove that second line. It does not follow automatically from the previous one.

Fortunately, you can fix the problem and shorten your proof by one line at the same time, by making the second line the result of applying Property 2 to line 1, and continuing on from there.
 
  • Like
Likes   Reactions: DRose87

Similar threads

Replies
5
Views
2K
  • · Replies 5 ·
Replies
5
Views
4K
  • · Replies 1 ·
Replies
1
Views
1K
  • · Replies 2 ·
Replies
2
Views
2K
  • · Replies 6 ·
Replies
6
Views
2K
  • · Replies 20 ·
Replies
20
Views
3K
  • · Replies 9 ·
Replies
9
Views
2K
  • · Replies 2 ·
Replies
2
Views
2K
  • · Replies 2 ·
Replies
2
Views
2K
  • · Replies 8 ·
Replies
8
Views
4K