Deriving the energy density of the Electric Field

Click For Summary

Homework Help Overview

The discussion revolves around deriving the energy density of the electric field generated by two protons separated by a distance, focusing on the integral of their electric fields. The original poster references a problem from Purcell and attempts to evaluate the interaction energy using the electric fields of the protons.

Discussion Character

  • Exploratory, Mathematical reasoning, Assumption checking

Approaches and Questions Raised

  • The original poster describes their approach involving Coulomb's Law and Cartesian components for the electric fields. They express uncertainty regarding the integration process and the handling of angles. Some participants suggest considering the angle between position vectors and simplifying expressions using trigonometric identities.

Discussion Status

Participants are actively engaging with the problem, offering insights and clarifications on the integration process. There is recognition of the complexity involved, and some guidance has been provided regarding the use of trigonometric relationships. The original poster indicates progress in their understanding, though there is no explicit consensus on the final approach.

Contextual Notes

There is mention of potential confusion regarding the total electric field and its contributions to energy density, as well as the concept of "self-energy" for point charges. The discussion reflects on the assumptions made in the problem setup and the implications of these assumptions on the calculations.

KvGroOve

Homework Statement


Taken from Purcell Problem 1.33
Consider the electric field of two protons a distance b apart. The potential energy of the system ought to be given by

U=∫E2dv.

Let E1 be the field of one particle alone and E2 that of the other. Evaluate

ε0E1E2dv.

Set one of the protons at the origin and the other on the polar axis. Perform the integration over r before the integration over θ. Show that the integral has the value e2/4πε0b.

2. Homework Equations

The Attempt at a Solution


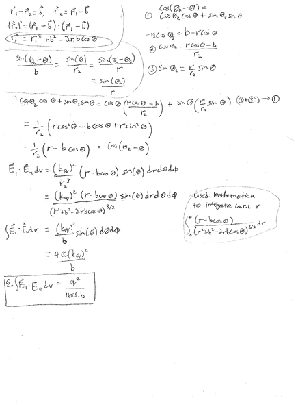
I uploaded my attempt. I started by applying Coulomb's Law for Electric Fields to both protons. I broke down r1 and r2 into their Cartesian components to perform the dot product between the two. Since the two charges were both on the Polar Axis (I think I chose the right axis), I set φ12. I assumed that r1=r and θ1=θ. I eventually got an expression involving r22 and Cos[θ2-θ]. I was able to rewrite r22 using the law of cosines. I have no idea how to address θ2. I figured that I could use the law of sines to figure it out but the expression turns out to be really messy. I'm not really sure if I'm on the right track or if I've made an error anywhere.

Any advice regarding my mistakes and/or pointing me in the right direction would be much appreciated! Thanks.
 

Attachments

  • Image.png
    Image.png
    25.4 KB · Views: 894
Physics news on Phys.org
Notice that your ##\theta_2 - \theta_1## is just the angle ##\beta## between the two position vectors. You could have gotten your final expression for ##\mathbf r_2 \cdot \mathbf r_1## more easily by thinking of the dot product in terms of the angle between the vectors.
upload_2017-9-5_13-10-23.png

Your idea of proceeding with the law of cosines and the law of sines sounds good to me.
##\cos \beta## will simplify fairly nicely in terms of ##\theta##, ##r_1## and ##r_2##.
 
  • Like
Likes   Reactions: KvGroOve
Something seems funny to me. The total electric field is ##\mathbf{E_{T}}=\mathbf{E_{1}}+\mathbf{E_{2}}## so the energy density of the field is
$$u=\frac{\epsilon}{2}|\mathbf{E_{T}}|^{2}=\epsilon\left[\frac{1}{2}E_{1}^{2}+\frac{1}{2}E_{2}^{2}+\mathbf{E_{1}}\cdot\mathbf{E_{2}}\right]$$
not
$$u=\mathbf{E_{1}}\cdot\mathbf{E_{2}}$$
as shown in the problem. Are you actually finding the energy of the electric field or do you just need to solve the integral they gave you?
 
  • Like
Likes   Reactions: KvGroOve
NFuller said:
Are you actually finding the energy of the electric field or do you just need to solve the integral they gave you?
The E12 and E22 contributions are "self-energy" contributions which are infinite for point charges. A physicist just sweeps these under the rug :blushing:. The dot product part is the energy of interaction.
 
  • Like
Likes   Reactions: KvGroOve and NFuller
I finally got it. I don't think I did it elegantly because I had to use Mathematica to help me solve an integral. Regardless, thanks for your help, TSny!
 

Attachments

  • Purcell1.33(2).png
    Purcell1.33(2).png
    15.8 KB · Views: 703
OK. Good. To do the r integration, you can do a substitution letting u be the expression inside the ( ... )3/2 in the denominator.
 
  • Like
Likes   Reactions: KvGroOve
Wow. That makes it such a trivial integral to solve - I can't help but to laugh. Thanks again!
 

Similar threads

Replies
6
Views
2K
  • · Replies 1 ·
Replies
1
Views
2K
Replies
11
Views
2K
  • · Replies 22 ·
Replies
22
Views
4K
  • · Replies 26 ·
Replies
26
Views
3K
Replies
2
Views
3K
Replies
9
Views
2K
  • · Replies 4 ·
Replies
4
Views
2K
  • · Replies 2 ·
Replies
2
Views
3K
Replies
4
Views
1K