Deriving the Lorentz formula from my own example

Click For Summary

Discussion Overview

The discussion revolves around the derivation of the Lorentz time dilation formula using a personal example involving two observers and a photon. Participants explore the suitability of the scenario for illustrating time dilation and the complexities introduced by the relativity of simultaneity.

Discussion Character

  • Exploratory
  • Technical explanation
  • Debate/contested
  • Conceptual clarification

Main Points Raised

  • One participant proposes a scenario involving Observer A, Observer B, and a photon to derive the Lorentz formula, aiming to show that both observers calculate the speed of the photon as c.
  • Another participant argues that the scenario complicates the derivation due to the relativity of simultaneity, suggesting that a simpler example, such as the light clock, would be more appropriate for illustrating time dilation.
  • A participant questions whether time dilation can only be derived when an observer assigns an event that happens to themselves, leading to further clarification about the conditions under which time dilation can be understood.
  • There is a discussion about the implications of measuring time and distance in different reference frames, with emphasis on the symmetry of the scenarios presented.
  • One participant highlights that the time taken for a photon to travel a longer trajectory must be greater than for a shorter one, challenging an earlier assertion about the relationship between distance and time in the context of the photon’s travel.
  • Another participant emphasizes the importance of considering reference frames rather than individual observers to avoid confusion in the derivation process.

Areas of Agreement / Disagreement

Participants express differing views on the appropriateness of the initial scenario for deriving the Lorentz formula, with some advocating for alternative examples. There is no consensus on the best approach to illustrate time dilation, and several points remain contested.

Contextual Notes

The discussion reveals limitations in the initial scenario due to the introduction of simultaneity issues, which complicate the derivation of time dilation. Participants note that different reference frames and the assignment of events can significantly affect the understanding of time dilation.

JohnnyGui
Messages
802
Reaction score
51
Good day to you all,
I could be asking too much here. I’m someone who prefers to understand formulas by deriving them from own made scenarios. In this case I was trying to derive the time dilation Lorentz formula using my own made up example and I wanted to know if I'm on the right track here.

Here’s my scenario:

Observer A, Observer B and a photon are all standing in the same position.

Right at t = 0, Observer B moves with a velocity vB and the photon with velocity c, both in the same direction. Observer A stands still.

From this scenario I wanted to show that after a Δt, both Observer A and Observer B would calculate the speed of the photon as c.

I’ve done this by starting like this:

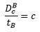
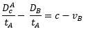
From Observer A’s perspective, he would calculate the velocity of Observer B as
Formule 1.jpg

in which DB is the distance made by Observer B with respect to A and tA is the Δt for Observer A at which he calculates the speed of Observer B.

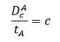
Also from Observer’s A’s perspective, he would calculate the velocity of the photon as
Formule 2.jpg

in which the DcA is the distance made by the photon with respect to A and again, tA is Δt for Observer A at which he calculates the speed of the photon.

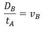
Also, Observer A would calculate the speed of the photon with respect to Observer B as:
Formule 3.jpg

However, Observer B would still calculate the speed of the photon as c by using:
Formule 4.jpg

In which DcB is the distance made by the photon with respect to Observer B and tB is the Δt at which Observer B calculates the speed of the photon.

Before I’m continuing this, I’d really like to know if this example is even suitable at all for deriving the Lorentz formula regarding time dilation and if so, am I going the right way with this or not?
 
Physics news on Phys.org
JohnnyGui said:
Before I’m continuing this, I’d really like to know if this example is even suitable at all for deriving the Lorentz formula regarding time dilation

Not really. The problem is that your scenario mixes in relativity of simulataneity, because each observer, A and B, has to assign a time to events that are spatially separated from him. That brings in other issues besides time dilation and makes the scenario more complicated than it needs to be.

For a simple scenario to illustrate time dilation without bringing in other issues, I recommend the light clock. Two observers each have a light source and a mirror; the light from the source reflects off the mirror and comes back to the source, and each round trip is one "tick" of the clock. The two observers are moving relative to each other; align the coordinate axes so that the direction of relative motion is the ##x## direction, and so that in each observer's rest frame, his own light clock is oriented in the ##y## direction (i.e., the light ray travels up and down the ##y## axis, with no motion in the ##x## direction, in the observer's rest frame).

Now pick one of the observers and call him observer A, and have the other observer, B, moving in the ##x## direction with velocity ##v## relative to A. Then show that, according to observer A, it takes more than one tick of A's clock for B's clock to tick one tick--in other words, B's clock runs slow (is time dilated) relative to A's clock.
 
PeterDonis said:
Not really. The problem is that your scenario mixes in relativity of simulataneity, because each observer, A and B, has to assign a time to events that are spatially separated from him. That brings in other issues besides time dilation and makes the scenario more complicated than it needs to be.

Thanks for your answer. So if I understand correctly, one can only derive time dilation if an observer assigns an event that happens to himself? (i.e. not spacially separated)

I've read about the light clock example but I'm having a bit of a trouble concluding it myself. Here's how I am reasoning and formulating it:

1. Suppose Observer A and B are standing face to face with a distance L between them and A shoots a photon to Observer B which he will receive in L / c time.

Stationary.jpg


2.
In another scenario Observer A and B are both moving at the same velocity to the right and as soon as Observer A passes a standing Observer C, Observer A shoots a photon straight to Observer B. Observer C would see the photon move over trajectory D while Observer A would see it move over trajectory L. Observer C and A measure the speed of the photon.

Movement.jpg


Now, if the photon was a bullet from a gun that Observer A shot, Observer C would measure a faster speed of that bullet than Observer A. This difference in speed measures compensates the distance difference between D and L to make Observer B receive the bullet at the same time: t over D = t over L.

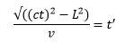
However, in case of a photon, the speed would be measured as c by both Observer C and A and yet, Observer B would still receive that photon at the same time even though D is larger than L. This means that the time the photon travels over D must be less (slower) than the time it travels over L.
In other words, if B would hold a clock pointing at 5 ‘o clock as soon as A shoots the photon, A would see B receive the photon at 5 ‘o clock + t’ according to B’s clock. Observer C would also have to see B receive the photon at 5 ‘o clock + t’ but since it takes longer for the photon to get to B from C’s perspective (trajectory D), that + t’ from C's perspective must be reached at a slower pace.

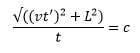
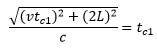
So, C measures the slower pace time t over trajectory D and A measures a time t’ at which B receives the photon. Since c is constant that means that L / t’ = D / t = c. Trajectory D can be written as √((vt’)2 + L2) so that:
Formula 1.jpg

This can be rewritten as :

Formula 2.jpg


Thus, t’ would equal:

Formula 3.jpg


From there, I can’t seem to rewrite it to get the standard Lorentz formula. What am I doing wrong here?
 
A necessary thought experiment is to convince yourself that two events that are simultaneous and colocated for one observer are simultaneous and colocated for all observers. That gives you a foothold as it were.

It's also worth thinking in terms of reference frames and not observers. Think of a reference frame as a set of observers all at rest with respect to each other and strategically placed to be at the location of each event under consideration.

Their clocks will be synchronised and they can compare notes afterwards to put together a full picture of what happened where and when (in their reference frame).
 
... the other problem is that you are trying to build in a false asymmetry ( faster, slower). These scenarios are fundamentally symmetrical in that each observer/ reference frame is moving with respect to the other.
 
  • Like
Likes   Reactions: JohnnyGui
JohnnyGui said:
So if I understand correctly, one can only derive time dilation if an observer assigns an event that happens to himself? (i.e. not spacially separated)

If you remove the "only", this is correct. It's not the only way to derive time dilation, but I think it's the simplest because it doesn't involve other issues that can confuse things.

JohnnyGui said:
This means that the time the photon travels over D must be less (slower) than the time it travels over L.

No, it means that the time the photon travels over D must be more (longer) than the time it travels over L. More distance, same speed, means more time.

This is actually already the key thing about the light clock: the photon going from A to B corresponds to "half a tick" of the light clock. To make a full "tick", you would just put a mirror at B and have the photon reflect back to A--that would remove some implicit assumptions about simultaneity. For A, the full "tick" takes time 2L / c. For C, the full "tick" takes time 2D / c, which is longer because D > L.

But now: put a second mirror, E, opposite C, i.e., it is at rest relative to C, not A, and at distance L from C, relative to C. Have C emit a light pulse towards the mirror at E at the same instant that A passes him--i.e., at the same instant that A emits a light pulse towards B. Have both pulses reflect and return to their sources. Which will arrive first, according to C? Obviously the pulse that went from C to E and back to C, because it only has to travel a distance L each way; so it will take time 2L / c according to C to return, whereas the pulse emitted by A, that reflects at B and goes back to A, will, as above, take time 2D / c, which is longer.

In other words: one "tick" of A's clock corresponds to more than one "tick" of C's clock. That means A's clock is running slow, relative to C's clock.

JohnnyGui said:
I can’t seem to rewrite it to get the standard Lorentz formula. What am I doing wrong here?

I think you're mislabeling the times. See my comment above about the round-trip time A-B-A being longer (not shorter) in C's frame.
 
PeterDonis said:
I think you're mislabeling the times. See my comment above about the round-trip time A-B-A being longer (not shorter) in C's frame.

Ah, I think I got it now. I got these times confused and it seems that I was still calculating the time of an event outside the observer (L / c instead of 2L / c)
So, for Observer C he would think that A would receive the photon after (2D) / c time. While Observer A would think he would receive the photon after (2L) / c time.

The trajectory 2D would, for Observer C, be defined as √((vA x tc)2 + (2L)2) so that the time duration according to him would be √((vA x tc)2 + (2L)2) / c = tc.

I noticed that Wiki is showing the same formula but rewriting it in such way that it turns into the Lorentz formula (still have to find out how exactly though)

One question though: in this case Observer C is calculating the time at which A would receive the photon back again (2D / c) but doesn't this mean Observer C is assigning a time to an event that is spacially separated from him as well and thus relativity of simultaneity would mix here as well?
 
Last edited:
JohnnyGui said:
So, for Observer C he would think that A would receive the photon after (2D) / c time. While Observer A would think he would receive the photon after (2L) / c time.

Yes.

JohnnyGui said:
in this case Observer C is calculating the time at which A would receive the photon back again (2D / c) but doesn't this mean Observer C is assigning a time to an event that is spacially separated from him as well and thus relativity of simultaneity would mix here as well?

Yes, good catch. :wink: It's impossible to avoid that complication completely in deriving time dilation. But this scenario has the minimum amount possible of the complication, so to speak: there is only one event (the event where A receives the light pulse that was reflected from B) that has to be assigned a coordinate time using a simultaneity convention, and only by one observer (C, the one who sees A's light clock as moving).
 
PeterDonis said:
Yes, good catch. :wink: It's impossible to avoid that complication completely in deriving time dilation. But this scenario has the minimum amount possible of the complication, so to speak: there is only one event (the event where A receives the light pulse that was reflected from B) that has to be assigned a coordinate time using a simultaneity convention, and only by one observer (C, the one who sees A's light clock as moving).

Thank you so much for the help.

I’ve been trying to derive the time dilation using the Minkowski Diagram drawn colorfully by me here:
Minkowski.jpg


Let’s say that the blue reference frame is Observer A and the red one is Observer B.
I concluded that the width of the green line can be calculated with the following formula:

The blue ct means (t/c) seconds which is the time duration for Observer A (t / c = tA). Thus, vB x (t/c) = x which is the distance that Observer B makes in tA time. Here, tA is the time according to the blue (Observer A) line and vB is the velocity of Observer B with respect to Observer A.

I would think that therefore, the length of the red ct (the timeline of Observer B = ctB) can then be calculated using Pythagoras:

√((vBtA)2 + (ctA)2)= ctB

To prevent very small numbers, let’s assume that vB = 3, c = 50 and ctA= 1
Using this formula gives me ctB = 1,001798 and thus tB = 1,001798 when tA= 1
When I use the same values of vB = 3, c = 50 and tA = 1 in the Lorentz formula, I get a very similar result: 1,001804

My question is, why is there still yet such a small difference between the answers? This might sound a bit too farfetched, but is this difference the influence of relativity of simultaneity?

EDIT: I've noticed that rewriting my above concluded formule gives me: tB / √((v2/c2) + 1) = tA. So obviously, for small velocities this would give me similar answers as the Lorentz formula which is tB / √(1 - (v2/c2)) = tA. But I have no idea why my formula has a √((v2/c2) + 1) in the denominator while it should be a √(1 - (v2/c2)) like the Lorentz formula.
 
Last edited:
  • #10
JohnnyGui said:
I would think that therefore, the length of the red ct (the timeline of Observer B = ctB) can then be calculated using Pythagoras

No, it can't. The point you have labeled as "the red ct", i.e., the point where the black dotted line from the blue "ct" point to the green line intersects the red "ct" line, is not the point that labels the "time" it takes the light ray to travel in the red frame. To obtain the correct point, you need to draw a line from the black "corner" (the point where the two black dotted lines meet at the green line, which is the point the light travels to) to the red "ct" line that is parallel to the red "x" line--i.e., this line will slope down and to the left, as the red "x" line does, so it will meet the red "ct" line at a point below where the dotted black line crosses it. Similarly, the proper "red x" point is not where the vertical black dotted line crosses the red "x" line; you need to draw a line from the black corner that is parallel to the red "ct" line, and find where it meets the red "x" line, which will be somewhere to the left of where the black dotted line crosses the red "x" line. (Note that the reason the black dotted lines work for finding the correct blue points is that they are parallel to the blue axes.)

Another way of looking at it is that the Lorentz transformation turns a square (formed by the blue axes and the black dotted lines) into a rhombus (formed by the red axes and the lines I described above). To get the correct numbers, you need to figure out the side length of the rhombus.
 
  • #11
PeterDonis said:
Another way of looking at it is that the Lorentz transformation turns a square (formed by the blue axes and the black dotted lines) into a rhombus (formed by the red axes and the lines I described above). To get the correct numbers, you need to figure out the side length of the rhombus.

Thanks, so it should look like this?
Minkowski 2.jpg

I was able to conclude that this is indeed a rhombus by reasoning that the angles that are opposite of each other are equal so that the red "ct" line, the red "x" line as well as the the dotted red lines that intersect them should all be equally long. However, I can't for the life of me conclude what the length of each side of the rhombus would be unless I use cosinus with angles. Should I do that or is there a way without??

EDIT: Hold on, I think I'm about to get this.. will reply in a sec.
EDIT2: Nvm, I still can't solve this without using cosinus
 
Last edited:
  • #13
JohnnyGui said:
so it should look like this?

Yes, you've got it.
 
  • #14
I tried the same as you basically. To derive the formulas of SR following the two postulates only and this is what i came up with.

O43VP4s.png


I cleaned it up a bit but there might be some errors still.
The gamma i get is the inverse of the standard gamma, but that is only because of the way i derive it. It just makes sense this way. The formulas are however the same as the standard ones when doing the calculations.

It's basically your example, except in this case, you have observer in system A switching on some light at Eo, and the resulting light beams in yellow going in both directions. Two objects, depicted as the green and blue worldlines of the objects in the x/t diagrams.

In System B you see the same light beams emerging from a point Eo'. Since they also have to be measured at c, the speed of light, by observers at rest in System B, l2' and l' cannot be of the same length anymore. The rest follows from the formulas which if developed further can give you the lorentz transformations, time-dilation, length contraction etc.

edit: If you are wondering how i got the lines right in System B here is the explanation.

Surely an observer at rest in System B traveling at vrel 0.5c relative to System A would see the flash of light as well. That is Eo'. When he does, the green object which is at rest in System A would be seen by him traveling at vrel 0.5c, which is why the green lines are diagonal now.
We also know that Eo' would be in the middle of the green object in System B just like in System A. (One could make the case that this has to be proven but it would be far fetched)

The light beams going out from Eo' will meet the green object edges at some point, which will be our E1' and E2' events.

We know that the blue object edges (worldlines) will meet with the light beams and the green object worldlines at E1 and E2 in System A. So logically they will also meet with E1' and E2' in system B, except that in system B the blue object is at rest and therefore the worldlines go straight up.
From there it's just maths and calculating the space and time intervals, except for the formulas you get by translating the first postulate into mathematical form, which is also the most difficult part to understand.
 
Last edited:
  • #15
ignore above drawing. While you get the correct value for gamma, i made a mistake with green worldlines in System B. The green object in System B should have a negative velocity of 0.5c just like the blue object in system A. I realized it when i tried to develope the lorentz transformation formulas.

x'= gamma (x-vt) would give me the correct values only if i used 0.5c for v instead of -0.5c.

It makes sense that if an observer at rest in System A sees the blue object approaching him and moving away thereafter, then an observer at rest in B should also see the objects at rest in System A move towards him and then away. Hence negative velocity if we were to use the same methodology in both Systems as in how to declare which side of the x-axis should be the positive and which the negative one.
The second diagram would have to be flipped around on the x-axis basically to be correct.

Those are quite some fine details which obviously escaped me when i drew the diagrams.
 
  • #16
Jeronimus said:
Snip

Thanks so much for the extensive explanation. I have yet to read it with a clear mind because somehow I seem to struggle with something peculiar again from my light clock example that I posted before. Perhaps you, @PeterDonis , or anyone else for that matter could clarify this?

Please bear with me here. So here's the example once again:
Light Clock.jpg

Let's say that now, instead of C standing in the left upper corner (at the t = 0 sign), C is now looking at this whole picture while moving with a velocity v so that A and B are moving with velocity v in the opposite direction with respect to C. Remember how we derived the Lorentz formula by using an event in which A receives the light back again with respect to A himself: (2L) / c = tA, and with respect to C: (2 x √((vtc)2 + L2)) / c = tC? Here's the thing, I am able to conclude the Lorentz formule also by calculating in how much time, B would receive the light signal with respect to C and A instead of A receiving it:

For Observer C, he would calculate that B would receive the signal in √((vtc)2 + L2) / c time. A would calculate that B will receive the light signal in L / c time. So for C: √((vtc)2 + L2) / tC = c and for A: L / tA = c.

**First, let's derive "L / tC" from C's perspective, we concluded that for C: √((vtc)2 + L2) = ctC so that v2tc2 + L2 = c2t2 and thus we can divide all parameters by tC2 so that we get v2 + (L2 / tC2) = c2 which means that √(c2 - v2) = L / tC.**

If A were to use the time duration of C (tC) in his formula L / tC, he would get an answer that is smaller than c (<c) since tC is longer to cover distance D with a velocity c. This means that the factor by which c would get smaller if A uses tC's time duration in L / tC, is the same factor by which A's time tA gets smaller with respect to tC to make L / t = c according to A.
So, <c / c = tA / tC. If we write <c as its formula L / tC, we would get (L / tC) / c = tA / tC. The (L / tC) in the formula can be rewritten as the formule concluded above (see **) so that √(c2 - v2) / c = tA / tC.

Thus tA / (√(c2 - v2) / c) = tC. Now, this looks a bit different from the original Lorentz formula (I can't seem to rewrite it) but it seems that it gives the exact same values for any v value as the Lorentz formula.

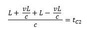
Here's what I find weird. I was now able to derive the Lorentz formula from an event (B receiving the light signal) that is spacially separated from both C and A who are assigning a time to that event. If I can do this, then I should be able to derive the formula from my first example in my opening post as well, since in that example there are also 2 observers assigning a time duration of an event that are spacially separated from them. Here's the example of my opening post:
Example 3.jpg


Suppose Observer C is looking at this event as he passes A and B by with a velocity v and thus seeing A and B are both passing with a same velocity v in the opposite direction. A and B are separated by a length L and A shoots a laser towards B. Observer C would think here that the time the light signal would get to B would be the distance L plus the distance that B would make with his velocity v in L / c time, thus ((vL / c) + L) / c = tC. A however, would think that B would receive it in L / c = tAtime. Combining these 2 formulas would give: tA ⋅ ((v + c) / c) = tC which is a formula that is way off the Lorentz formula.

Now, why does this second scenario give me another formula regarding time dilation while I'm doing the same thing as in my light clock example? Both A and C are assigning a time to an event that are spacially separated from them in both scenarios and yet, I was able to derive the Lorentz formula from the light clock and not from the second example. This makes me think that the Lorentz formula can only be applied in a scenario in which the light signal is traveling diagonally with respect to one of the observers. Does this mean one has to use a different formula when seeing a light signal traveling in the same direction as the Observer who's shooting that light signal?
 
Last edited:
  • #17
JohnnyGui said:
Let's say that now, instead of C standing in the left upper corner (at the t = 0 sign), C is now looking at this whole picture while moving with a velocity v so that A and B are moving with velocity v in the opposite direction with respect to C.

I don't understand. In the diagram, A and B are moving to the right. How is C supposed to be moving, with reference to the diagram? To make it concrete, suppose there is another observer D who stays at the upper left corner, where C was standing in the previous version; how is C moving relative to D?
 
  • #18
PeterDonis said:
I don't understand. In the diagram, A and B are moving to the right. How is C supposed to be moving, with reference to the diagram? To make it concrete, suppose there is another observer D who stays at the upper left corner, where C was standing in the previous version; how is C moving relative to D?

Sorry for not being clear. What I meant is that C is standing still and looking at the scenario just like you're looking at the screen to see the diagram and he's seeing A and B moving to the right. The same goes for my second scenario.
 
  • #19
JohnnyGui said:
What I meant is that C is standing still and looking at the scenario just like you're looking at the screen to see the diagram and he's seeing A and B moving to the right.

I already covered this in my posts #6 and #8. I'm not sure what the issue is.

JohnnyGui said:
The same goes for my second scenario.

Your second scenario is the "parallel light clock", i.e., a light clock where the light ray bounces back and forth in a direction parallel to the clock's motion. This is another good exercise, but it adds an additional factor: length contraction. In the frame in which the clock is moving (i.e., C's frame), the distance between the light source and the mirror (i.e., A and B) is contracted. So it isn't a good scenario to use if you just want to understand time dilation.

In fact, if you combine the two light clocks in a single scenario, you can use the parallel one to derive length contraction once you've used the perpendicular one to derive time dilation. Set up the original light clock with A and B moving relative to C as in your original diagram. Then add a second mirror with an observer D next to it, such that, in the mutual rest frame of A, B, and D, D's mirror is the same distance from A as B's mirror, but in the direction parallel to A and C's relative motion, instead of perpendicular as B's mirror is. Then, in the mutual rest frame of A, B, and D, it is obvious that both light pulses from A--the one that bounces off B's mirror and the one that bounces off D's mirror--must arrive back at A at the same instant, i.e., the same event in spacetime. Then you can use the fact that this must be true in every frame--i.e., that the two pulses must come back to A at the same event in every frame--to deduce that, in C's frame (in which A, B, and D are all moving), the distance from A to D must be length contracted according to the Lorentz contraction formula.
 
  • #20
PeterDonis said:
I already covered this in my posts #6 and #8. I'm not sure what the issue is.

I used this example to clarify in my post #16 that I was able to derive the Lorentz formula (more like a variation of it) from an event (B receiving the light signal) that is spacially separated from both C and A who are assigning a time to that event instead of an event in which A receives the light signal back again which you recommended me to use. I thought that this wouldn't be possible since two observers assigning a time to an event that is spacially separated from BOTH of them would mix in simultaneity and make the time dilation calculation biased. I explained it in my post #16 how I did this. Perhaps I'm missing the obviousness of it here but I don't get how that's possible.
 
Last edited:
  • #21
JohnnyGui said:
For Observer C, he would calculate that B would receive the signal in √((vtc)2 + L2) / c time. A would calculate that B will receive the light signal in L / c time. So for C: √((vtc)2 + L2) / tC = c and for A: L / tA = c.

These are just the numbers from your other calculation, divided by 2. In other words, all you are doing is calculating the left half of your diagram, instead of the entire diagram. Of course you'll get the same answer, since the diagram is symmetric. This isn't adding anything new.
 
  • #22
PeterDonis said:
These are just the numbers from your other calculation, divided by 2. In other words, all you are doing is calculating the left half of your diagram, instead of the entire diagram. Of course you'll get the same answer, since the diagram is symmetric. This isn't adding anything new.

Ah, had a feeling I missed the obvious thing here. I am probably overestimating the influence of simultaneity because I thought assigning 2 time durations from observers that are both spacially separated would give me an incorrect time dilation calculation.

As I stated before, when calculating the time dilation from a parallel light clock I get a different formula than the Lorentz one and I assume that that's because there's also length contraction involved. In other words, is the length contraction in a parallel light clock example the reason why time dilation would still follow the Lorentz formula just like in the perpendicular scenario?
 
  • #23
JohnnyGui said:
is the length contraction in a parallel light clock example the reason why time dilation would still follow the Lorentz formula just like in the perpendicular scenario?

Yes. As I suggested before, one way to see this is to consider a "dual" light clock--where there is a light source emitting two beams to two mirrors, one parallel and one perpendicular to the direction of the clock's motion (relative to observer C)--and then showing that, in order for the two beams to both return to the source at the same event in the moving frame (it's obvious that they will in the clock's rest frame), the distance from the source to the parallel mirror must be length contracted. This is really more of a way of demonstrating length contraction once you have already used the perpendicular light clock to demonstrate time dilation; the fact that the parallel clock must be time dilated simply follows from the fact that the parallel and perpendicular clocks must be synchronized (meaning the beams must return to the source at the same event) in all frames.
 
  • #24
PeterDonis said:
Yes. As I suggested before, one way to see this is to consider a "dual" light clock--where there is a light source emitting two beams to two mirrors, one parallel and one perpendicular to the direction of the clock's motion (relative to observer C)--and then showing that, in order for the two beams to both return to the source at the same event in the moving frame (it's obvious that they will in the clock's rest frame), the distance from the source to the parallel mirror must be length contracted. This is really more of a way of demonstrating length contraction once you have already used the perpendicular light clock to demonstrate time dilation; the fact that the parallel clock must be time dilated simply follows from the fact that the parallel and perpendicular clocks must be synchronized (meaning the beams must return to the source at the same event) in all frames.

Do you mean like this?
Parallel & Perpendicular.jpg


So that A at t = 0 is shooting a light signal towards B and D at the same time, while all 3 observers are moving to the right, and at t A will receive both signals back?

In this case, according to me, observer C who's seeing this scenario moving to the right will calculate the time as follows:
As previously concluded, C will say that the light signal going towards B and back to A (the perpendicular one) will take:
Perpendicular for C 2.jpg
time
As for the light that A is shooting towards D and D shooting it back at A, C will think that this would take:
Parallel for C.jpg
time which equals (2L) / c time.

For C, his calculated tc2 would have to be smaller than his calculated tc1 because the length 2L is smaller than the path 2D (the diagonal path). However, both of the light signals must be received by A at the same time t. Therefore I'd expect that the path from A to D and back would have to be longer by a factor of (2D) / (2L) so that the calculated tc2 from this parallel light clock would be the same as the calculated tc1 from the perpendicular light clock according to C.

What am I doing wrong here?
 
  • #25
JohnnyGui said:
A at t = 0 is shooting a light signal towards B and D at the same time, while all 3 observers are moving to the right, and at t A will receive both signals back?

I think so, but it's confusing that you are using "D" to label two different things. In what follows, I'll use "E" to label the observer with the mirror that reflects the parallel light beam.

First, I suggest drawing what things look like in A's rest frame: he shoots one light beam towards B, and another perpendicular to it towards E. Both B and E are at the same distance from A, so obviously both beams return to A at the same instant.

Then switch to C's rest frame, in which A, B, and E are all moving to the right (along the direction from A to E) with velocity ##v##. So the light that goes from A to E and back again has to catch up with E on the way out, but then it bounces back and A is coming towards it on the way back. So it travels a longer distance on the way out than on the way back. But unless those distances are length contracted, the beam won't return to A at the same instant that the beam that goes to B and back does.

It's harder to draw this on a diagram like yours because the paths of A, E, and the parallel light beam are all superimposed. But it can be done. I suggest drawing three diagrams:

(1) What things look like when the perpendicular light beam reaches B. This will be after a time ##t / 2## with the time convention in your diagram (I personally find it more convenient to call the total time for the beams to go out and back, in C's frame, ##2t## instead of ##2##, so the formulas don't get cluttered up--with that convention, it takes a time ##t##). At this point, A will be just above B. Where will E be? Where will the parallel light beam be?

(2) What things look like when the parallel light beam reaches E. Key question: will this happen before or after #1 above? (Hint: it must happen after. Can you see why?) Second key question: where will E be at this point? (Hint: you should find that E will be past the point where A will be when the two light beams return--i.e., past the right edge of your diagram as it is currently drawn. This should actually be obvious if you think about how the parallel light beam travels, in C's rest frame, after it reflects off E's mirror. Which direction does it travel?)

(3) What things look like when both light beams return to A. This is where you should be able to show that the distance from A to E, in C's frame, must be length contracted in order for the two beams to return at the same instant.
 
  • #26
PeterDonis said:
I think so, but it's confusing that you are using "D" to label two different things. In what follows, I'll use "E" to label the observer with the mirror that reflects the parallel light beam.

First, I suggest drawing what things look like in A's rest frame: he shoots one light beam towards B, and another perpendicular to it towards E. Both B and E are at the same distance from A, so obviously both beams return to A at the same instant.

Then switch to C's rest frame, in which A, B, and E are all moving to the right (along the direction from A to E) with velocity ##v##. So the light that goes from A to E and back again has to catch up with E on the way out, but then it bounces back and A is coming towards it on the way back. So it travels a longer distance on the way out than on the way back. But unless those distances are length contracted, the beam won't return to A at the same instant that the beam that goes to B and back does.

It's harder to draw this on a diagram like yours because the paths of A, E, and the parallel light beam are all superimposed. But it can be done. I suggest drawing three diagrams:

(1) What things look like when the perpendicular light beam reaches B. This will be after a time ##t / 2## with the time convention in your diagram (I personally find it more convenient to call the total time for the beams to go out and back, in C's frame, ##2t## instead of ##2##, so the formulas don't get cluttered up--with that convention, it takes a time ##t##). At this point, A will be just above B. Where will E be? Where will the parallel light beam be?

(2) What things look like when the parallel light beam reaches E. Key question: will this happen before or after #1 above? (Hint: it must happen after. Can you see why?) Second key question: where will E be at this point? (Hint: you should find that E will be past the point where A will be when the two light beams return--i.e., past the right edge of your diagram as it is currently drawn. This should actually be obvious if you think about how the parallel light beam travels, in C's rest frame, after it reflects off E's mirror. Which direction does it travel?)

(3) What things look like when both light beams return to A. This is where you should be able to show that the distance from A to E, in C's frame, must be length contracted in order for the two beams to return at the same instant.

Thanks for the clear step by step scenarios, here are the answers:

(1). So the convention is that B will receive light signal at t. So from C's perspective, as soon as B receives the light signal, A and B would be both at a distance of vtc. E will however be at a distance of L + vtc. The light signal will be at a distance of ctc along the horizontal path of A and E's moving direction. I understand that both the light signal and E are further away than distance vtc (= distance of A and B) and that the light signal at this moment still hasn't reached E yet since L + vtc is more than ctc (the sum of the shortest sides of a triangle is more than its longest side).

(2). I indeed understand that the parallel light beam reaching E would happen after (1) since at (1), E would be (L + vtc) - ctc away from the parallel light beam. To calculate the distance of E when he receives the parallel light beam, one would have to solve: ctx = L + vtx. Bear in mind that tx in this formula is different from tc which C is associating with the time that the perpendicular light beam reaches B. Now here's my problem; I can't seem to mathematically prove that ctx = L + vtx is > than 2vtc since you're saying that at the time E would receive the parallel light beam, he would have passed A's right edge of the diagram (which is at 2vtc). I can't seem to remove the "tx" in the equation and to rewrite it in the form of the known parameters (c , tc, L or v). Again, I must be missing something obvious here.
 
  • #27
JohnnyGui said:
from C's perspective, as soon as B receives the light signal, A and B would be both at a distance of vtc.

In other words, this is how you are defining ##t_c##.

JohnnyGui said:
E will however be at a distance of L + vtc.

E will be at a distance ##L + vt_c##, if the distance from A to E is not length contracted relative to C. But as you will find, this does not work. See below.

JohnnyGui said:
The light signal will be at a distance of ctc along the horizontal path of A and E's moving direction.

And by the Pythagorean theorem, this distance satisfies the equation ##(ct_c)^2 = (vt_c)^2 + L^2##.

JohnnyGui said:
I indeed understand that the parallel light beam reaching E would happen after (1)

It's not just that it happens after (1). It happens to the right of the point where the light beams return to A. That is, it happens beyond the right end of the diagram as you've drawn it. As you recognize further on; see below.

JohnnyGui said:
o calculate the distance of E when he receives the parallel light beam, one would have to solve: ctx = L + vtx.

Yes. And this equation is trivial to solve; the solution is

$$
t_x = \frac{L}{c - v}
$$

And the corresponding distance is

$$
c t_x = L \frac{c}{c - v} = L \frac{1}{1 - \frac{v}{c}} = L \gamma^2 \left( 1 + \frac{v}{c} \right)
$$

JohnnyGui said:
I can't seem to mathematically prove that ctx = L + vtx is > than 2vtc

The Pythagorean theorem equation above can be rewritten as

$$
t_c = \frac{L}{\sqrt{c^2 - v^2}}
$$

which simplifies to ##c t_c = L \gamma##. So the equation for ##c t_x## above can be rewritten (after some algebra) as

$$
c t_x = t_c \gamma \left( c + v \right)
$$

But ##c + v > 2 v##, so this proves that ##c t_x > 2 v t_c##.
 
Last edited:
  • #28
PeterDonis said:
And the corresponding distance is

$$
c t_x = L \frac{c}{c - v} = L \frac{1}{1 - \frac{v}{c}} = L \gamma^2 left( 1 + \frac{v}{c} \right)
$$

Sorry but this formula isn't showing properly for me and I can't make sense out of it. I do understand and trust your conclusion but I really want to check it for myself :wink:
 
  • #29
JohnnyGui said:
this formula isn't showing properly

Yes, there seems to be an issue with MathJax, I'll see if I can find out what's going on.
 
  • #30
PeterDonis said:
there seems to be an issue with MathJax

Actually, it was an issue with the browser on the particular machine I was using. On a different machine I can see the formulas, and that showed me that there was a formatting error in one of them. Fixed now.
 

Similar threads

  • · Replies 13 ·
Replies
13
Views
3K
  • · Replies 5 ·
Replies
5
Views
2K
  • · Replies 84 ·
3
Replies
84
Views
6K
  • · Replies 26 ·
Replies
26
Views
5K
  • · Replies 8 ·
Replies
8
Views
2K
  • · Replies 12 ·
Replies
12
Views
3K
  • · Replies 35 ·
2
Replies
35
Views
5K
  • · Replies 5 ·
Replies
5
Views
2K
  • · Replies 25 ·
Replies
25
Views
2K
  • · Replies 11 ·
Replies
11
Views
2K