Deriving value of capacitance using E = V/d

Click For Summary

Discussion Overview

The discussion revolves around the application of the formula E = V/d in deriving the value of capacitance, particularly in the context of parallel plate capacitors versus point charges. Participants explore the validity of this formula, potential differences, and the underlying assumptions in various scenarios.

Discussion Character

  • Exploratory
  • Technical explanation
  • Debate/contested
  • Mathematical reasoning

Main Points Raised

  • Some participants question the applicability of E = V/d for parallel plates, suggesting it is primarily for point charges.
  • Others argue that E = V/d is valid under the assumption of a constant electric field, which is approximately true for parallel plates when ignoring fringing effects.
  • A participant mentions that the potential difference V can be derived from the integral of the electric field, V = ∫ E dx, and raises concerns about the interpretation of potential difference.
  • There is a discussion about the relationship between potential and work done in moving charges, with references to the Lorentz force and the need for a reference point when defining potential difference.
  • Some participants express uncertainty about the derivation of capacitance and seek links or references for further understanding.
  • One participant provides a mathematical derivation involving the Laplacian equation to support the use of E = V/d for parallel plates.
  • There is a clarification that if the electric field is not constant, the relationship must be expressed as V = ∫ E d(d).

Areas of Agreement / Disagreement

Participants do not reach a consensus on the applicability of E = V/d for parallel plates versus point charges. Multiple competing views remain regarding the definitions of potential difference and the assumptions underlying the derivations presented.

Contextual Notes

Participants express various assumptions about the electric field's constancy and the reference points used for potential difference. There are unresolved questions about the derivation of capacitance and the implications of treating the electric field as constant in certain scenarios.

Who May Find This Useful

This discussion may be useful for students and professionals interested in electrostatics, capacitance, and the mathematical foundations of electric fields and potential differences.

dE_logics
Messages
742
Reaction score
0
This formula (E = V/d) has been used to derive the value of capacitance...but how is this applicable?...this is for point charges and here we're dealing with plates.

Any derivation to prove this is also applicable for plates?
 
Physics news on Phys.org
dE_logics said:
This formula (E = V/d) has been used to derive the value of capacitance...but how is this applicable?...this is for point charges and here we're dealing with plates.

Any derivation to prove this is also applicable for plates?

Hi dE_logics! :smile:

V = ∫ E dx is the equation for the potential difference between any two points.

The plates (in a capacitor ) are only relevant for calculating E …

E = D/ε, and D = -Q/A. :wink:
 
tiny-tim said:
V = ∫ E dx is the equation for the potential difference between any two points.

V here is the potential of a coulomb charge brought from infinity to this point, d units from the charge source.

How can this be the potential difference?...it should be v1 - v2
 
E = V/d is only valid is we have a constant potential/electric field. With a parallel plates, ignoring fringing effects, the electric field is approximately the same, hence the integral Edx is the same as Ed.

I'm not sure where you got E=V/d is for point charges or that V is only the potential brought from infinity. We are asking for the potential between the two plates, this inherently is asking for the potential difference. Referencing to bringing in from infinity is just another way to do potential difference by pinning infinity as your reference. Here, the reference is one of the plates.
 
Hi dE_logics! :smile:
dE_logics said:
V here is the potential of a coulomb charge brought from infinity to this point, d units from the charge source.

How can this be the potential difference?...it should be v1 - v2

oh I see what you mean …

yes … V = -Q/r is the Coulomb potential at distance r from a point charge Q, relative to zero potential defined at infinity …

but that's because it's ∫ E dr along (any) path from ∞ to r (where of course E = Q/r2).

But the E field there is not the same as the E field for a capacitor …

that comes from E = D/ε, and D = -Q/A …

and then you use V = ∫ E dr :wink:
 
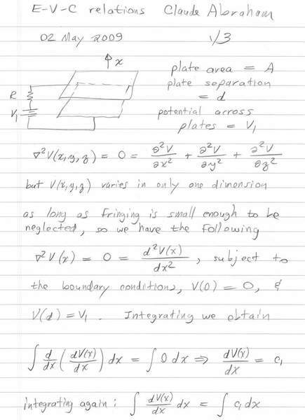
I worked this out, but I don't know where I stashed the sheet. I'll try to post it later tonight. The E = V/d is computed

by solving the Laplacian equation in 1 dimension, (del^2)V = 0 = Vxx + Vyy+ Vzz, where Vxx = (d^2)V/d(x^2), etc. In

1 dimension, x only, we have d2v/dx2 = 0. Integrating we obtain

dV/dx = c1. Integrating again we get V(x) = c1*x + c2. The boundary conditions are V(0) = 0 & V(d) = V1, so that V(0)

= 0 = c1*0 + c2 + c2, so that c2 = 0. Next V(d) = V1 = c1*d, which results in c1 = V1/d. Hence V(x) = (V1/d)*x.

Then for static charges we know that E = -grad V = -dV/dx. But dV/dx = -V1/d.

Hence |E| = V1/d. V1 = voltage on 1 plate with 0V on the other.

I'll attach a sheet later tonight.

Claude
 
Last edited:
Born2bwire said:
E = V/d is only valid is we have a constant potential/electric field. With a parallel plates, ignoring fringing effects, the electric field is approximately the same, hence the integral Edx is the same as Ed.

That is the question, how do you know this?

The formula can be derived from v = kQ/r...where k is the dielectric stuff; this formula is applicable for a point charge, or a changing field, considering that E=V/d might not be applicable for a uniform field...I don't know...that's the question.

I'm not sure where you got E=V/d is for point charges or that V is only the potential brought from infinity.

Again considering the formula can be derived from v = kQ/r...here v is the potential of a unit charge brought from infinity to a distance r form a charged named/having an intensity Q.

We are asking for the potential between the two plates

Yeah...exactly how can you state that v will be the potential difference?

Referencing to bringing in from infinity is just another way to do potential difference by pinning infinity as your reference.

Taking infinity as a reference is something absolute, infact potential difference at 2 points in a field for a certain charge is defined as the difference in P.E stored between the 2 or the difference in the work done to bring each of the charges to different positions from infinity; i.e potential is more fundamental than P.D.
 
E = V/d is only valid for point charges if you have a constant electric field, it is not a general equation. You are getting too caught up on the definition of potential. Potential difference is the work it takes to move point charge from A to B in an electric field. That is the potential difference between A and B. You are asking for the capacitance of a parallel plate capacitor. This is derived specifically using the Laplacian equation as cabraham has worked out, but this assumes infinite plates. It is still a good estimate if you have large plates if you ignore fringing because the electric field is more or less constant between the plates.

But as for the intermediate step that E=V/d, V is defined as the potential difference between the plates. V is always potential difference and always requires a reference point. Sometimes we take infinite as the reference and use potential but that is generally chosen when we do not have a reference of consequence to use. When it comes to potential difference, it doesn't matter as the path for the potential from infinity can be made the same up until a desired point in space.
 
Born2bwire said:
E = V/d is only valid for point charges if you have a constant electric field, it is not a general equation.

Yup … if E isn't constant, you have to write V = ∫ E d(d) :smile:
 
  • #10
Humm...then my source is wrong!

Any links to derivation of V = ∫ E d(d) ?...and derivation of capacitance? (I'm searching)
 
  • #11
dE_logics said:
Humm...then my source is wrong!

Any links to derivation of V = ∫ E d(d) ?...and derivation of capacitance? (I'm searching)

The simplest derivation would come from the Lorentz Force. In an electrostatic case, F = qE. So the work to move a charge 'q' would be the integral of the force over the distance. Hence, V = \int E \cdot d\ell . Where E and d\ell are vectors. The fact that for the parallel plate capacitor V = E/d is a happy coincidence. But if you wanted a more exact answer you would solve the 3D Laplacian (or is it Poisson's... screw it) for a finite parallel plate capacitor.
 
  • #12
dE_logics said:
Any links to derivation of V = ∫ E d(d) ?

From the https://www.physicsforums.com/library.php?do=view_item&itemid=101" :wink:

Two ways of defining voltage:

voltage = energy/charge = work/charge = force"dot"distance/charge = (from the Lorentz force) electric field"dot"distance, or dV = E.dr

but also voltage = energy/charge = (energy/time)/(charge/time) = power/current, or V = W/I
 
Last edited by a moderator:
  • #13
Just confirm me one thing first, the expression ∫ E dr and Ed (= V) are different?
 
  • #14
The potential difference V between two points a and b, for one-dimensional motion, is defined as

[tex]V = - \int_a^b {E(x) dx}[/tex]

If E does not depend on x, then you can pull it out of the integral:

[tex]V = - E \int_a^b {dx} = - E (b - a) = - E \Delta x[/tex]
 
  • #15
That means the 2 are the same.

If a is infinite we get V = Ed...right?
 
  • #16
Any links to derive capacitance of a parallel plate air capacitor?...pls?
 
  • #17
If "a" is infinite, then the voltage would be infinite.

cabraham has the derivation, but I'm pretty sure it is derived in Griffith's text as well.
 
  • #19
dE_logics said:
That means the 2 are the same.

If a is infinite we get V = Ed...right?

d is the separation of the plates (from x=a to x=b)
 
  • #20
[tex] V = - E \int_a^b {dx} = - E (b - a) = - E \Delta x[/tex]

Wait...you can't treat E(x) as a constant, it appears wrong to me.

Anyway...it does give out the same thing by any alternative technique.
 
  • #21
Born2bwire said:
If "a" is infinite, then the voltage would be infinite.

cabraham has the derivation, but I'm pretty sure it is derived in Griffith's text as well.

That is not so...check out the attached file.
 

Attachments

  • #23
robphy said:
d is the separation of the plates (from x=a to x=b)

No, apparently it seems that formula set does not seem to work for a capacitor.
 
  • #24
dE_logics said:
Wait...you can't treat E(x) as a constant, it appears wrong to me.

For the ideal parallel-plate capacitor, you can derive that E is uniform between the plates, by using Gauss's Law:

http://hyperphysics.phy-astr.gsu.edu/HBASE/electric/gaulaw.html#c1

applying it to a plane sheet of charge:

http://hyperphysics.phy-astr.gsu.edu/HBASE/electric/elesht.html#c1

and considering a parallel-plate capacitor as consisting of two oppositely-charged sheets.

http://hyperphysics.phy-astr.gsu.edu/HBASE/electric/elesht.html#c2
 
  • #25
jtbell said:
For the ideal parallel-plate capacitor, you can derive that E is uniform between the plates, by using Gauss's Law:

http://hyperphysics.phy-astr.gsu.edu/HBASE/electric/gaulaw.html#c1

applying it to a plane sheet of charge:

http://hyperphysics.phy-astr.gsu.edu/HBASE/electric/elesht.html#c1

and considering a parallel-plate capacitor as consisting of two oppositely-charged sheets.

http://hyperphysics.phy-astr.gsu.edu/HBASE/electric/elesht.html#c2

That's ok, but my question is how can you take E(x) as a constant? It's a function of x, and you're differentiating WRT x...moreover this doesn't have to do with the derivation of capacitance...naively these set of equations are for point charges only.
 
  • #26
I thought we were talking about parallel plate capacitors. I'm sorry if I misunderstood you.
 
  • #27
dE_logics said:
That is not so...check out the attached file.

That is not what you said. You said that if "a" was taken to be at infinite for the integral given by jtbell, then it would be the same as d.

[tex]V = - E \int_a^b {dx} = - E (b - a) = - E \Delta x[/tex]

But then the limits of integration are semi-infinite and it's apparent that the integral would be infinite. jtbell is assuming a static electric field, moving a charge an infinite distance through a constant electric field requires an infinite change in the potential.
 
  • #28
Ok...all misunderstandings...sorry about that, I might be bad at explaining.
 
  • #29
Here is the derivation using the Laplacian, and Gauss' law.

Claude
 

Attachments

  • ecs_rel_abraham1.jpg
    ecs_rel_abraham1.jpg
    26.8 KB · Views: 651
  • ecs_rel_abraham2.jpg
    ecs_rel_abraham2.jpg
    23.3 KB · Views: 657
  • ecs_rel_abraham3.jpg
    ecs_rel_abraham3.jpg
    23.1 KB · Views: 489
  • #30
Thanks a lot man!:approve:
 

Similar threads

  • · Replies 7 ·
Replies
7
Views
2K
  • · Replies 2 ·
Replies
2
Views
5K
  • · Replies 4 ·
Replies
4
Views
4K
  • · Replies 33 ·
2
Replies
33
Views
7K
  • · Replies 5 ·
Replies
5
Views
2K
  • · Replies 7 ·
Replies
7
Views
3K
  • · Replies 6 ·
Replies
6
Views
712
  • · Replies 6 ·
Replies
6
Views
3K
  • · Replies 8 ·
Replies
8
Views
2K
  • · Replies 2 ·
Replies
2
Views
8K