Determination of a magnetic field for a project

Click For Summary

Discussion Overview

The discussion revolves around determining a magnetic field for a project involving coils and electromagnets, with considerations for theoretical modeling, experimental validation, and the influence of various parameters. Participants explore the implications of different configurations and assumptions, including the effects of ferrofluid and the arrangement of coils.

Discussion Character

  • Exploratory
  • Technical explanation
  • Debate/contested
  • Mathematical reasoning

Main Points Raised

  • Some participants suggest that the project could serve as a BSc or MSc thesis, proposing that simplifying assumptions, such as treating the environment as vacuum and ignoring feedback from the ferrofluid, could facilitate initial calculations.
  • There is a proposal to use magnetic field equations generated by a conducting loop of wire, with some participants agreeing on the need to consider multiple coils in the calculations.
  • Concerns are raised about the sufficiency of the proposed models without clearly defined parameters (l, z, R) and the need for a generalized formula for arbitrary coils.
  • Participants discuss the importance of the position of coils and how it affects the magnetic field, noting that the magnetic field is not simply proportional to the number of coils if they are positioned differently.
  • Questions arise regarding the simultaneous control of different coils as ferrofluid passes through, with suggestions that this may be feasible if the coils can be turned on and off independently.
  • Clarifications are made about the definitions of variables used in the equations, including the number of turns in a coil, the length of the coil, the distance from the coil, the radius, and the current magnitude.
  • Some participants express uncertainty about deriving equations for solenoids in the context of the project, particularly when ignoring the feedback of the ferrofluid.
  • There is a mention that adding the magnetic fields of multiple coils should be done vectorially, and that preliminary work is necessary before delving into more complex calculations.

Areas of Agreement / Disagreement

Participants express a mix of agreement on the potential of the project and the need for further exploration of the magnetic field equations, while disagreements persist regarding the sufficiency of the proposed models and the definitions of key parameters. The discussion remains unresolved on several technical aspects.

Contextual Notes

Limitations include the undefined nature of certain parameters (l, z, R), the dependence on the specific arrangement of coils, and the potential influence of the ferrofluid, which remains unaccounted for in the initial models.

icesalmon
Messages
270
Reaction score
13
Homework Statement
Determine the magnetic field equation(s) for the following diagram as a function of frequency, material.
Relevant Equations
This is a project I am working on for my undergraduate senior design course and I have talked to professors in my department who do research in this area and have essentially told me that it is too difficult for an undergraduate to complete. Bear with me, I apologize for anything I may be neglecting to mention.

The network is a 3-Dimensional circular cross section path made out of silicone tubing or a 3D printed material and will be set inside of a agarose hydrogel in an attempt to mimic the density of human muscle/tissue.

The object of this project is to guide a ferrofluid (Iron Oxide particles suspended in a viscous fluid, a diluted mixture of 15% glycerine to 85% water, to a predetermined location by using a magnetic field generated by a series of electromagnets made by, possibly, Coilcraft model number DO5022P-105ML (pictured below) the multi-colored squares on the top of this path are where I am thinking of placing these and perhaps controlling their strength using a frequency generator and a circuit of which I am also having an issue determining.

My main focus right now is that, given that these magnetic fields will need to penetrate an agarose polysaccharide gel and whatever material the path will be printed out of, how to determine the "tesla" value of the field at any given depth of this network. Apologies if I haven't been fully clear about any crucial details, hopefully I can provide that information if need be.

If this truly is too complicated, is there a way to design a custom series of magnetic fields in order to achieve this goal?
DO5022P_series_t.jpg
Capture.PNG
 
Physics news on Phys.org
This could make a nice BSc thesis, or a MSc thesis with more work and experimental results.
You might get a reasonable approximation by just assuming everything apart from the magnets is like vacuum, and ignore the feedback of the ferrofluid. That would be a much easier system.
 
mfb said:
This could make a nice BSc thesis with more work and experimental results.
I agree! Would a reasonable thing to do just be use the magnetic field equation(s) generated by a conducting loop of wire (an inductor)?
 
You probably want to add the different coils, but that's basically what I suggested.
 
mfb said:
You probably want to add the different coils, but that's basically what I suggested.
1579029357126.png

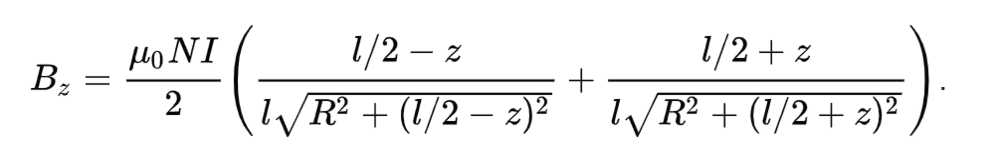
I'm not sure if this would be sufficient. Any thoughts?
 
Hard to tell without l,z,R being defined, and you might want to generalize that to arbitrary coils (a formula where you can plug in the number of the coil).
 
mfb said:
Hard to tell without l,z,R being defined, and you might want to generalize that to arbitrary coils (a formula where you can plug in the number of the coil).
The value 'N' is this quantity (the number of coils in the device). As for the value of R, I, and z these are all values that I will either obtain from the data sheet for the device itself (pictured above) or will determine from the network (the depth 'z' from the coil itself and the value of the current ('I') will be determined as well. Although I am nervous to test this out as I do have some values i'd like to compare with (MRI machines, Earths Magnetic field etc.) so i'll plug in some numbers and see if my solutions are at least reasonable. Thank you!
 
The magnetic field won't be proportional to the number of coils if the coils are in different places.

The magnetic field depends on the position and I don't know where you take that into account because ##l## (lowercase L, not I), R and z are not defined.

Edit: I wasn't defined either but it is obviously the current in the coil.
 
Thanks for the response!
mfb said:
The magnetic field won't be proportional to the number of coils if the coils are in different places.
Is there a way to simultaneously control different coils as a ferrofluid passes through successive sections of the path pictured above? If I can turn these electromagnets on and off by feeding them with current, there must be a way to control the coils this way.

mfb said:
The magnetic field depends on the position and I don't know where you take that into account because ##l## (lowercase L, not I), R and z are not defined.
You mean the distance an object being influenced by the field is from the source of the field(Iron Oxide particles) ? I must have misread but I could have sworn that '##z##' was this variable.

EDIT: I'm sorry I never mentioned what each variable actually means!

'##N##' is the number of turns in a single coil with a circular cross section

'##l##' is the length of a single coil, not the unfurled wire itself but when wound up how "tall" would that cylindrical coil be (it's like the 'h' in the volume of a cylinder pi*R2*h)

'##z##' is the distance away from the coil

'##R##' is the radius of the circular cross section of the coil

"##I##' is the magnitude of the RMS current in the coil so ipeak/sqrt(2)
 
Last edited:
  • #10
icesalmon said:
Is there a way to simultaneously control different coils as a ferrofluid passes through successive sections of the path pictured above? If I can turn these electromagnets on and off by feeding them with current, there must be a way to control the coils this way.
That's something you need to check in the hardware. For the calculation it is trivially true.
icesalmon said:
'##z##' is the distance away from the coil
The magnetic field is not a function of distance alone. You probably found a formula for a special case (along the symmetry axis?).
 
  • #11
mfb said:
That's something you need to check in the hardware. For the calculation it is trivially true.
The magnetic field is not a function of distance alone. You probably found a formula for a special case (along the symmetry axis?).
I did find the equation posted above as a special case for a solenoid outside the coil. How can I go about deriving an equation for a solenoid in this case. If I'm ignoring the feedback of the ferrofluid and that I'm working in a vacuum. And what do you mean by 'adding the different coils'. What is this accounting for? The interference of the magnetic fields?
 
  • #12
icesalmon said:
How can I go about deriving an equation for a solenoid in this case.
You can find equations in textbooks, and probably somewhere online as well.
icesalmon said:
And what do you mean by 'adding the different coils'.
If you have two coils, add their magnetic field (vectors).

These is all very basic preliminary work before it gets interesting. It won't get easier.
 

Similar threads

  • · Replies 2 ·
Replies
2
Views
2K
  • · Replies 17 ·
Replies
17
Views
4K
  • · Replies 2 ·
Replies
2
Views
2K
Replies
20
Views
3K
Replies
2
Views
1K
  • · Replies 4 ·
Replies
4
Views
2K
  • · Replies 7 ·
Replies
7
Views
2K
  • · Replies 4 ·
Replies
4
Views
1K
  • · Replies 2 ·
Replies
2
Views
3K