Determine a suitable cross sectional area for strength

Click For Summary

Discussion Overview

The discussion revolves around determining a suitable cross-sectional area for a handlebar subjected to a vertical load of 200N, focusing on the types of stresses involved, including bending, shear, and torsion. Participants explore the implications of the handle's geometry, particularly a 45-degree bend, on stress calculations.

Discussion Character

  • Homework-related
  • Technical explanation
  • Debate/contested

Main Points Raised

  • Some participants identify three types of stresses acting on the handlebar: bending, shear, and torsion.
  • There is a need to determine the critical cross-section for maximum von Mises stress, though some uncertainty exists about whether a numerical answer is required.
  • Questions arise regarding the handle thickness and the nature of the load application, specifically whether the load is applied vertically down.
  • One participant suggests that the lever experiences torsion at the critical section and discusses how to calculate torsion using the section modulus.
  • Concerns are raised about whether the 45-degree bend contributes to strain and how to account for the length of the handle when calculating the acting moment for torsion.
  • Another participant clarifies that the lever moment arm for torsion is 110mm and discusses the effects of the angled piece on loading, indicating that it introduces both torsional and bending components of the moments.
  • Clarification is provided regarding the calculation of the section modulus for torsion, emphasizing the importance of the h/b ratio from tables.

Areas of Agreement / Disagreement

Participants generally agree on the types of stresses involved but express uncertainty regarding the impact of the handle's geometry on the calculations and the specifics of the critical cross-section. The discussion remains unresolved on certain aspects, particularly the influence of the 45-degree bend and the appropriate length to use for torsion calculations.

Contextual Notes

Limitations include assumptions about the handle thickness being left to the designer, and the dependence on the specific geometry of the handlebar, which may affect stress calculations. The discussion also highlights unresolved mathematical steps related to the calculation of torsion and the implications of the handle's bend.

dbag123
Messages
76
Reaction score
3
Homework Statement
Determine a suitable cross section of a handle using von mises stress
Relevant Equations
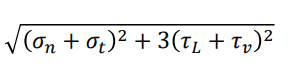
equation in picture form bottom of page
1569239435671.png
Lenght=300mm, Force at the end of the handlebar is 200N
Nimetön.png


What i would like to know is: does that 20x20mm end piece affect the calculation process in any way? and whether there are more than 3 types of stresses in this case. First stress being moment created by the 200N and second stress is shear and 3rd the stress caused by torsion.
Homework equation:
1569239950684.png
 
Physics news on Phys.org
Yes those are the 3 stress types acting (bending, Shear, and torsion), but you need to determine where in the handle lever is the critical cross section or sections for max von Mises stress. I am not sure if they are asking for a numerical answer.
 
Yes a numerical answer is required, but the critical cross section is given by the problem and it is that small red arrow in picture 2 right after the bend
 
Oh, OK, but what is the handle thickness? What sort of handle is this? Is the 200 N load applied vertically down? Have you identified any torsion at this section?
 
handle thickness is upto the designer, i am supposed to pick a crossection(rectangle) then calculate the stresses using that information.

200N load is vertical.

My thinking is that the lever does experience torsion at the cross section where i am supposed to examine it.

Torsion is calculated by dividing the moment with section modulus, section modulus for torsion is calculated S=Chb^2 where c is the ratio of h/b from handbook h is height and b is base.

My problem is figuring out if that 45 deg bend adds to the strain or not? Does it even matter? the handle bar is 90mm long so when calculating torsion do i calculate the acting moment with 90mm or 110mm?
 
dbag123 said:
handle thickness is upto the designer, i am supposed to pick a crossection(rectangle) then calculate the stresses using that information.

200N load is vertical.

My thinking is that the lever does experience torsion at the cross section where i am supposed to examine it.

Torsion is calculated by dividing the moment with section modulus, section modulus for torsion is calculated S=Chb^2 where c is the ratio of h/b from handbook h is height and b is base.

My problem is figuring out if that 45 deg bend adds to the strain or not? Does it even matter? the handle bar is 90mm long so when calculating torsion do i calculate the acting moment with 90mm or 110mm?
Yes there is torsion at the critical section and if you draw a free body diagram using a cut just to the left of the critical section and examine the right part of the cut handle, it should become evident that the lever moment arm for torsion is 110 mm. The 45 degree angle affects loading in that angled piece because there are torsional and bending components of the moments at that section. Otherwise it doesn’t really change the stresses to the left of the critical section. Incidentally, for torsion shear stresses of the flat bar, the constant ‘c’ comes from the h/b ratio from tables, it is not the h/b ratio itself, you probably understand that but said it wrong ( c is in the 0.2 to 0.3 range depending on that ratio).
 
  • Like
Likes   Reactions: dbag123
Thank you very much. I think i have everything i need to make to complete this assignment.
 

Similar threads

  • · Replies 4 ·
Replies
4
Views
2K
  • · Replies 4 ·
Replies
4
Views
3K
  • · Replies 8 ·
Replies
8
Views
2K
  • · Replies 5 ·
Replies
5
Views
17K
  • · Replies 2 ·
Replies
2
Views
5K
  • · Replies 1 ·
Replies
1
Views
4K
  • · Replies 1 ·
Replies
1
Views
2K
  • · Replies 8 ·
Replies
8
Views
2K
  • · Replies 3 ·
Replies
3
Views
1K
  • · Replies 11 ·
Replies
11
Views
5K