Determine the angular speed ##\dotθ## of the arm OC

Click For Summary

Homework Help Overview

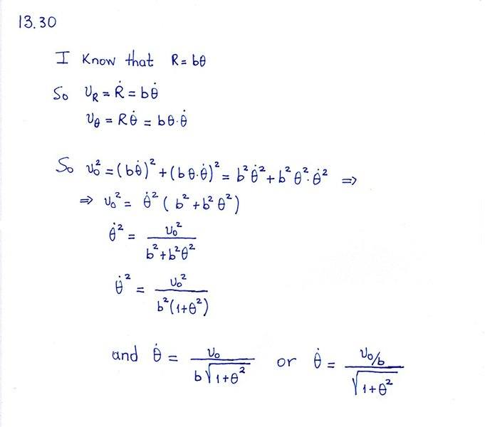
The problem involves determining the angular speed ##\dotθ## of an arm OC, where a collar B slides along a spiral guide rod defined by the equation R = bθ. The collar moves with a constant speed v0, and participants are tasked with expressing ##\dotθ## in terms of v0, b, and θ.

Discussion Character

  • Exploratory, Assumption checking

Approaches and Questions Raised

  • Participants discuss the relationship between the radial and angular components of velocity, noting that the radial velocity ##v_R## is related to the angular speed ##\dotθ##. Some participants express uncertainty about the completeness of their reasoning and seek hints for further exploration.

Discussion Status

The discussion includes attempts to clarify the components of velocity involved in the problem. Some participants express tentative agreement with the proposed solution but do not reach a definitive consensus on the correctness of their approaches.

Contextual Notes

Participants note that the speed of the collar is constant at v0, and there is an emphasis on understanding the components of motion involved in the problem setup.

Alexanddros81
Messages
177
Reaction score
4

Homework Statement


13.30 The colar B slides along a guide rod that has the shape of the spiral R = bθ.
A pin on the collar slides in the slotted arm OC. If the speed of the collar is constant at v0,
determine the angular speed ##\dot θ## of the arm OC in terms of v0, b, and θ.

P13_29-P13_30.jpg

Homework Equations

The Attempt at a Solution



The solution given: ##(\frac {v_0} {b}) (1+θ^2)^{-1/2}##

What I have only done is : ##v_R=\dot R=b \dotθ = v_0##
and ##v_θ=R\dotθ##
Any hints?
 
Physics news on Phys.org
Alexanddros81 said:

Homework Statement


13.30 The colar B slides along a guide rod that has the shape of the spiral R = bθ.
A pin on the collar slides in the slotted arm OC. If the speed of the collar is constant at v0,
determine the angular speed ##\dot θ## of the arm OC in terms of v0, b, and θ.

View attachment 211424

Homework Equations

The Attempt at a Solution



The solution given: ##(\frac {v_0} {b}) (1+θ^2)^{-1/2}##

What I have only done is : ##v_R=\dot R=b \dotθ = v_0##
and ##v_θ=R\dotθ##
Any hints?
You are told the speed is v0. ##\dot R## is only one component of that.
 
Pytels_Dynamics069.jpg


I guess this is correct.
 

Similar threads

  • · Replies 3 ·
Replies
3
Views
3K
  • · Replies 5 ·
Replies
5
Views
3K
  • · Replies 26 ·
Replies
26
Views
4K
Replies
38
Views
4K
  • · Replies 17 ·
Replies
17
Views
6K
Replies
3
Views
3K
  • · Replies 7 ·
Replies
7
Views
3K
  • · Replies 3 ·
Replies
3
Views
2K
  • · Replies 4 ·
Replies
4
Views
4K
Replies
15
Views
2K