The collar B slides along a guide rod (Polar Coord.)

Click For Summary

Homework Help Overview

The problem involves a collar B sliding along a guide rod shaped as a spiral defined by the equation R = bθ. The collar is affected by a rotating arm OC, which is moving at a constant angular speed. The task is to determine the magnitude of the collar's acceleration at a specific position.

Discussion Character

  • Mixed

Approaches and Questions Raised

  • Participants discuss the nature of the radial and angular components of acceleration, questioning the behavior of R as the collar moves. There are attempts to derive expressions for the radial and angular accelerations based on the given parameters.

Discussion Status

Some participants have provided calculations for the radial and angular accelerations, while others are questioning the correctness of these calculations. There appears to be a productive exchange of ideas regarding the relationships between the variables involved.

Contextual Notes

There is mention of specific values and conditions, such as the constant angular speed and the relationship between R and θ, which may influence the discussion. The completeness of the information provided in the problem statement is also noted, as some participants express uncertainty about certain terms.

Alexanddros81
Messages
177
Reaction score
4

Homework Statement


13.29 The colar B slides along a guide rod that has the shape of the spiral R = bθ.
A pin on the collar slides in the slotted arm OC. If OC is rotating at the constant angular
speed ##\dot θ = ω##, determine the magnitude of the acceleration of the collar when
it is a A.

P13_29-P13_30.jpg


Homework Equations

The Attempt at a Solution



Pytels_Dynamics067.jpg
[/B]

what aθ will be?
It is not 2. I have just left it unfinished.
 
Physics news on Phys.org
##\dot{R}## is not zero. Does ##R## not change as the collar slides?
 
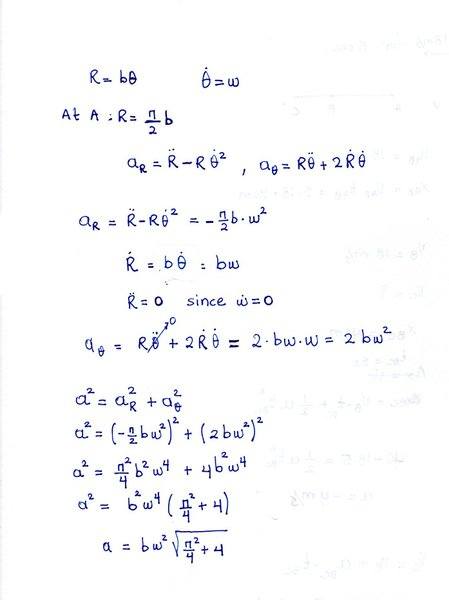
##a_R = \ddot R - R\dot θ^2 = -\frac {π} {2} b ω^2## since ##R = bθ = bπ/2## and ##\dot R = b\dot θ = bω## and ##\ddot R = b\ddot θ = 0##

##a_θ = R\ddotθ + 2 \dot R \dotθ = 2bωω = 2bω^2##

Pytels_Dynamics068.jpg


Is this correct? is ##(-\frac {π} {2} b ω^2)^2 = \frac {π^2} {4} b^2 ω^4##
 
Last edited:
Alexanddros81 said:
##a_R = \ddot R - R\dot θ^2 = -\frac {π} {2} b ω^2## since ##R = bθ = bπ/2## and ##\dot R = b\dot θ = bω## and ##\ddot R = b\ddot θ = 0##

##a_θ = R\ddotθ + 2 \dot R \dotθ = 2bωω = 2bω^2##

View attachment 211420

Is this correct? is ##(-\frac {π} {2} b ω^2)^2 = \frac {π^2} {4} b^2 ω^4##
Looks right.
 

Similar threads

  • · Replies 3 ·
Replies
3
Views
2K
  • · Replies 5 ·
Replies
5
Views
3K
Replies
7
Views
4K
Replies
1
Views
3K
  • · Replies 14 ·
Replies
14
Views
8K
Replies
36
Views
11K
  • · Replies 11 ·
Replies
11
Views
12K
  • · Replies 9 ·
Replies
9
Views
7K
Replies
3
Views
9K
  • · Replies 2 ·
Replies
2
Views
2K