Determine the magnitudes and nature of forces in space truss

Click For Summary

Homework Help Overview

The discussion revolves around determining the magnitudes and nature of forces in a space truss, specifically focusing on the application of a 17kN force and its components in a three-dimensional coordinate system. Participants are analyzing the setup and equations related to the truss structure.

Discussion Character

  • Mixed

Approaches and Questions Raised

  • Participants are attempting to calculate the components of the applied force in the x, y, and z directions using an equivalent tension coefficient. There are discussions about the role of point E in the problem and its relevance to the calculations. Some participants are questioning the assumptions made regarding the direction of the applied force and the coordinates of various points in the truss.

Discussion Status

The discussion is ongoing, with participants providing insights and raising questions about the equations and assumptions involved. Some have offered guidance on how to approach the problem, particularly regarding the interpretation of point E and the coefficients in the equations. There is no explicit consensus yet, as multiple interpretations are being explored.

Contextual Notes

There is a noted absence of information regarding point E, leading to confusion among participants. The coordinates of points A, B, C, and D are being discussed, with some participants expressing uncertainty about how to proceed without clear references to point E. The problem appears to lack similar examples in available textbooks, adding to the difficulty of the discussion.

DevonZA
Messages
181
Reaction score
6

Homework Statement



space truss.JPG


Homework Equations



equivalent tension coefficient tDE= applied force/distance between points D and E
= 17/SQRT(1[^2+2^2+4^2) = 3.7097

The component of the 17kN in the x-direction = Δx X tDE = -1 X 3.7097
= -3.7097
The component of the 17kN in the y-direction = Δy X tDE = -2 X 3.7097
= -7.4194
The component of the 17kN in the z-direction = Δz X tDE = 4 X 3.7097
= 14.8388

There are three unknown forces, therefore we need three equations.

The Attempt at a Solution



x -3.7097-3tAD+2tBD+3tDC=0 a)
y -7.4194-tAD+3tBD-2tDC=0 b)
z 14.8388+tAD-tDC=0 c)

I then need to multiply or divide one of these equations to get the unknown values the same so that I can add or divide to get rid of unknown term(s) to solve.
I've tried various options and cannot seem to get to the correct answers.
Working backwards from the given answers I get:
FAD/tAD = SQRT[3^2+1^2+1^2}
tAD = 3.0242

FBD/tBD = SQRT[2^2+3^2=0^2]
tBD = 2.3796

FCD/tCD = SQRT[3^2=2^2=1^2]
tCD = 1.5528

The answers given are:
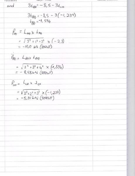
FAD= 10.03kN (S)
FBD= 8.58kN (S)
FCD= 5.81kN (S)
 
Physics news on Phys.org
You seem to be treating the applied force as being along the line DE, but the diagram makes it look as though it is vertical and the text does not mention E. Is there a later part to the question which mentions E?
 
DevonZA said:
The component of the 17kN in the z-direction = Δz X tDE = 4 X 3.7097
= 14.8388
Would that be up or down?
 
DevonZA said:
z 14.8388+tAD-tDC=0 c)
Check thecoefficients on tAD and tCD, and why no tBD?
 
Hi Haruspex

Thanks for your responses.
Firstly there is no mention made of E.
How will I get equivalent tension coefficient without using point E?

Component of 17kN would be down? Therefore -14.8388.
No tBD because the Z co ordinate at B is 0.
 
DevonZA said:
Firstly there is no mention made of E.
Then none of your calculations related to E have any value. Why is it in the picture? Just to confuse, maybe?
DevonZA said:
Component of 17kN would be down? Therefore -14.8388.
If it is straight down, as pictured, then the z component is ...?
DevonZA said:
No tBD because the Z co ordinate at B is 0.
Your equation c) is inconsistent with the other two. E.g. in the x direction for tAD you had a coefficient -3. I can see that this comes from subtracting the x coordinate of point D from that of point A. All the coefficients in a) and b) follow that pattern, but not those in c).
The z coordinate of D is ... and the z coordinate of A is ... so the coefficient of tAD in the z equation should be ...?
 
I believe E is in the picture to confuse. Unfortunately there are no similar examples in my textbook which makes this question rather difficult to attempt.

If straight down then the z component is negative?

Z coordinate of D is 4.
Z coordinate of A is 1.
Z coordinate of B is 0.
Z coordinate of C is 1.

14.8388+3tAD+4tBD+3tCD=0

Does this look correct?
 
DevonZA said:
I believe E is in the picture to confuse. Unfortunately there are no similar examples in my textbook which makes this question rather difficult to attempt.

If straight down then the z component is negative?

Z coordinate of D is 4.
Z coordinate of A is 1.
Z coordinate of B is 0.
Z coordinate of C is 1.

14.8388+3tAD+4tBD+3tCD=0

Does this look correct?
How are you getting 14.8388? Seems to me you are still using E to get that.
The coefficients look like the right magnitudes now, but not sure about the signs. It depends how you are defining tAD etc.
What equations do you have now for the x and y directions?

Regarding point E, it looks to me that in the examples on which you based your equations E would have been a point along the line of action of the applied force. I.e. the force was applied along the line DE, not vertically. If you wish to follow those examples then you need to change E to be a point in the line of action of the force in this case. The origin would be an easy choice.
 
haruspex said:
How are you getting 14.8388? Seems to me you are still using E to get that.
The coefficients look like the right magnitudes now, but not sure about the signs. It depends how you are defining tAD etc.
What equations do you have now for the x and y directions?

Regarding point E, it looks to me that in the examples on which you based your equations E would have been a point along the line of action of the applied force. I.e. the force was applied along the line DE, not vertically. If you wish to follow those examples then you need to change E to be a point in the line of action of the force in this case. The origin would be an easy choice.

The same question appears in the textbook but only the solutions are given. E is not shown here so I am going to ignore it especially as they do not refer to it anywhere in the question.

I need to find the equivalent tension coefficient:
teq = the applied force / distance between points D and ?

To find the x,y and z component of the 17kN force: teq is then multiplied by Δ x, y and z (again I assume I need to calculate the difference in coordinates between point D and ?)
 
  • #10
DevonZA said:
points D and ?
not sure I can do much more than reiterate my last post. Please try to understand it.
Judging from your attempt to use E, I assume that such a point existed in some earlier example, and that E was in the line of the applied force. That is the only way your method would make sense. In the present case, the shown point E is not in the line of the applied force, so if you want to use exactly the same method then you must replace it with a point E which is in that line. The origin would look like an easy choice. So just repeat what you did before but using (0, 0, 0) for the coordinates of E.
 
  • #11
haruspex said:
not sure I can do much more than reiterate my last post. Please try to understand it.
Judging from your attempt to use E, I assume that such a point existed in some earlier example, and that E was in the line of the applied force. That is the only way your method would make sense. In the present case, the shown point E is not in the line of the applied force, so if you want to use exactly the same method then you must replace it with a point E which is in that line. The origin would look like an easy choice. So just repeat what you did before but using (0, 0, 0) for the coordinates of E.

Thanks Haruspex, I realized what you meant about the origin after I had posted my reply.
I will be back with an updated attempt :)
 
  • #12
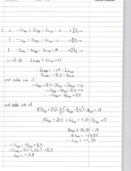
Got it :woot: please see attached.

Thank you for your help Haruspex

CCI04092017.jpg

CCI04092017_0001.jpg
 

Similar threads

  • · Replies 2 ·
Replies
2
Views
1K
Replies
17
Views
3K
  • · Replies 11 ·
Replies
11
Views
2K
  • · Replies 4 ·
Replies
4
Views
6K
Replies
11
Views
2K
  • · Replies 18 ·
Replies
18
Views
2K
  • · Replies 35 ·
2
Replies
35
Views
3K
  • · Replies 5 ·
Replies
5
Views
2K
Replies
3
Views
2K
  • · Replies 6 ·
Replies
6
Views
1K