Diff eq - LT Discontinuous Sources HW

  • Thread starter Thread starter Arij
  • Start date Start date
  • Tags Tags
    Diff eq Sources
Click For Summary

Homework Help Overview

The discussion revolves around solving differential equations using Laplace transforms, particularly focusing on the challenges posed by discontinuous sources and the application of the partial fraction method.

Discussion Character

  • Exploratory, Mathematical reasoning, Problem interpretation

Approaches and Questions Raised

  • Participants discuss the complexity of the partial fraction method and seek alternative strategies to simplify the process. There are mentions of converting functions into partial fractions and the potential use of inverse transformations.

Discussion Status

Some participants express appreciation for shared insights that have helped them with similar problems. There is acknowledgment of the method's effectiveness, although some uncertainty remains regarding the transition between different variable forms.

Contextual Notes

Participants note the algebraic complexity involved in the partial fraction decomposition and the potential for varying results depending on the specific problem setup.

Arij
Messages
25
Reaction score
2

Homework Statement


15whzic.png


Homework Equations


2j495qh.png

The Attempt at a Solution


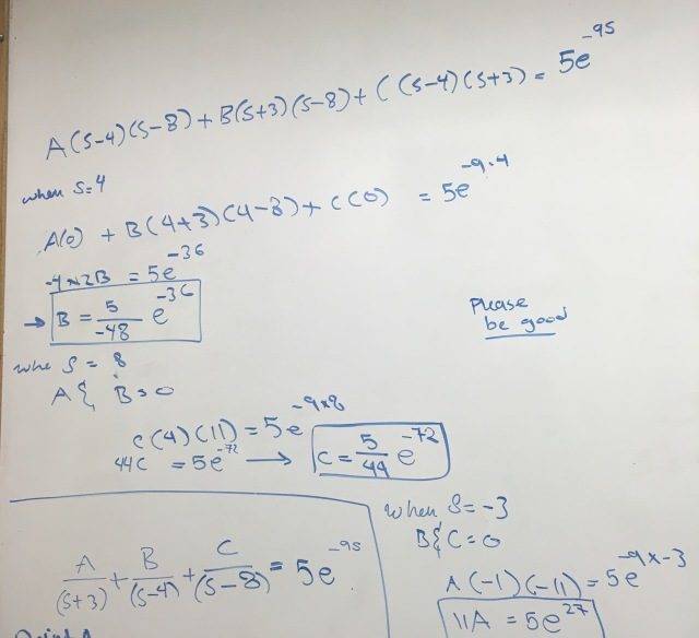
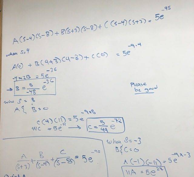
this is my attempt, I figured this would be easier than typing.
2hhipmq.jpg


any how, I find partial fraction method is so time consuming and very algebraically complicated, is there a trick or another method I could use to make this easier?

thanks
 
Physics news on Phys.org
Arij said:

Homework Statement


15whzic.png


Homework Equations


2j495qh.png

The Attempt at a Solution


this is my attempt, I figured this would be easier than typing.
2hhipmq.jpg


any how, I find partial fraction method is so time consuming and very algebraically complicated, is there a trick or another method I could use to make this easier?

thanks

Convert ##Y_1(s) = \frac{1}{(s+3)(s-4)(s-8)}## to partial fractions, then multiply by ##5 e^{-9s}## later; better still, find the inverse of ##Y_1(s)## as ##y_1(t)##; the solution is then ##5 u(t-9)y_1(t-9)##.

The partial fractions can be found easily (but still with some algebra) by applying successively the identities
$$\frac{1}{(s-a)(s-b)} = \frac{1}{a-b} \left[ \frac{1}{s-a} - \frac{1}{s-b} \right] \: \text{if} \; a \neq b$$
 
Ray Vickson said:
Convert ##Y_1(s) = \frac{1}{(s+3)(s-4)(s-8)}## to partial fractions, then multiply by ##5 e^{-9s}## later; better still, find the inverse of ##Y_1(s)## as ##y_1(t)##; the solution is then ##5 u(t-9)y_1(t-9)##.

The partial fractions can be found easily (but still with some algebra) by applying successively the identities
$$\frac{1}{(s-a)(s-b)} = \frac{1}{a-b} \left[ \frac{1}{s-a} - \frac{1}{s-b} \right] \: \text{if} \; a \neq b$$
That was so much help
Ray Vickson said:
5u(t−9)y1(t−9
I used this and worked like miracles for few questions, I was just confused of changing to and from the t-c.
 
Arij said:
That was so much help

*************************************************
I am glad. It does not always work, but when it does it makes life a lot easier.
*************************************************

I used this and worked like miracles for few questions, I was just confused of changing to and from the t-c.
 

Similar threads

  • · Replies 3 ·
Replies
3
Views
2K
  • · Replies 24 ·
Replies
24
Views
4K
  • · Replies 2 ·
Replies
2
Views
2K
  • · Replies 2 ·
Replies
2
Views
1K
  • · Replies 4 ·
Replies
4
Views
1K
  • · Replies 3 ·
Replies
3
Views
3K
  • · Replies 1 ·
Replies
1
Views
1K
  • · Replies 4 ·
Replies
4
Views
3K
  • · Replies 4 ·
Replies
4
Views
1K
  • · Replies 2 ·
Replies
2
Views
2K