Differential of a y mixed with x

Click For Summary

Homework Help Overview

The discussion revolves around finding the differential \( dy \) of the equation \( xy^2 + x^2y = 4 \), which involves implicit differentiation and the application of the product rule in calculus.

Discussion Character

  • Exploratory, Conceptual clarification, Mathematical reasoning, Problem interpretation

Approaches and Questions Raised

  • Participants discuss the application of the product rule and implicit differentiation, with some questioning the meaning of expressions like \( \frac{dy}{y} \) and its implications. Others explore the rearrangement of the equation to isolate \( \frac{dy}{dx} \) and express \( y \) as a function of \( x \).

Discussion Status

The conversation is ongoing, with various interpretations and approaches being explored. Some participants have provided guidance on how to differentiate the equation, while others are still clarifying their understanding of the relationship between \( dy \) and \( dx \). There is no explicit consensus on the final approach to take.

Contextual Notes

Participants note that the book has not yet covered integration, which affects their ability to further manipulate the derivative involving \( y \). There is also a mention of needing to express \( y \) in terms of \( x \), which adds complexity to the problem.

Karol
Messages
1,380
Reaction score
22

Homework Statement


Find dy of ##~xy^2+x^2y=4##

Homework Equations


Differential of a product:
$$d(uv)=u\cdot dv+v\cdot du$$

The Attempt at a Solution


$$2xy~dy+y^2~dx+x^2~dy+2xy~dx=0$$
$$x(2y+x)dy=-(y+2x)dx$$
 
Physics news on Phys.org
Karol said:

Homework Statement


Find dy of ##~xy^2+x^2y=4##

Homework Equations


Differential of a product:
$$d(uv)=u\cdot dv+v\cdot du$$

The Attempt at a Solution


$$2xy~dy+y^2~dx+x^2~dy+2xy~dx=0$$
$$x(2y+x)dy=-(y+2x)dx$$
You miss a y on the RHS.
 
$$x(2y+x)dy=-y(y+2x)dx$$
$$\frac{dy}{y}=-\frac{y+2x}{2y+x}~\frac{dx}{x}$$
Is there a meaning for ##~\frac{dy}{y}~##?
 
Karol said:
$$x(2y+x)dy=-y(y+2x)dx$$
$$\frac{dy}{y}=-\frac{y+2x}{2y+x}~\frac{dx}{x}$$
Is there a meaning for ##~\frac{dy}{y}~##?
What type of meaning are you considering? You can see it as ##\frac{1}{y} dy ##.
 
And what is ##~\frac{1}{y} dy~##? what do i do with it? ##~d(ln~y)=\frac{1}{y} dy##
But the book teaches logs only later
 
Last edited:
I think to solve your original problem, you want to rearrange it so that you have (dy/dx) = {something}
 
I have to find ##~\frac{dy}{dx}=f(x)~##, but i have ##~\frac{dy}{dx}=f(x,y)##
 
I would guess this is a case of implicit differentiation, where you assume y is a function of x. Is that in your book?
 
Yes, y=f(x) only
 
  • #10
Then differentiate the whole expression as a function of x, using the chain rule on y=y(x).
 
  • #11
WWGD said:
Then differentiate the whole expression as a function of x, using the chain rule on y=y(x).
$$2xy\frac{dy}{dx}+y^2+x^2\frac{dy}{dx}+2xy=0$$
$$dy=-\frac{y^2+2xy}{x^2+2xy}~dx$$
 
  • #12
Karol said:
$$2xy\frac{dy}{dx}+y^2+x^2\frac{dy}{dx}+2xy=0$$
$$dy=-\frac{y^2+2xy}{x^2+2xy}~dx$$
Good, but no need to split the dy/dx. Leave it as a single unit and solve for it.
 
  • #13
WWGD said:
Good, but no need to split the dy/dx. Leave it as a single unit and solve for it.
$$\frac{dy}{dx}=-\frac{y^2+2xy}{x^2+2xy}$$
What i can do, and i can't even that, is to integrate, but it's not the point and the book didn't teach it yet.
What else can i do with a derivative which involves y?
I need dy, that is what i was asked, and any dy=f(x)dx
I need to express, find, what is y=y(x)
 
  • #14
Karol said:
$$\frac{dy}{dx}=-\frac{y^2+2xy}{x^2+2xy}$$
What i can do, and i can't even that, is to integrate, but it's not the point and the book didn't teach it yet.
What else can i do with a derivative which involves y?
I need dy, that is what i was asked, and any dy=f(x)dx
I need to express, find, what is y=y(x)
Sorry, then do split into dy and dx parts.I am not clear, just what is your goal here, to find y?
 
  • #15
WWGD said:
just what is your goal here, to find y?
I was asked to find dy
 
  • #16
Karol said:
I was asked to find dy
My apologies then, do separate dy and dx and solve for dy.
 
  • #17
Now i see that the book's answer is like mine, leaving y undevelopped
 
  • #18
Karol said:
Now i see that the book's answer is like mine, leaving y undevelopped
" undeveloped"? How so? What is the book's answer?
 
  • #19
WWGD said:
" undeveloped"? How so? What is the book's answer?
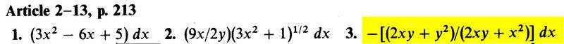
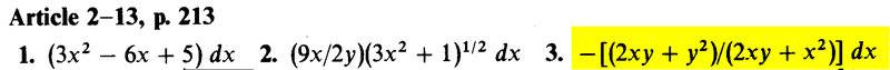
Snap1.jpg
 
  • #20
  • #21
Thank you scottdave and WWGD
 
  • Like
Likes   Reactions: WWGD

Similar threads

Replies
19
Views
3K
  • · Replies 8 ·
Replies
8
Views
2K
  • · Replies 15 ·
Replies
15
Views
2K
Replies
22
Views
2K
  • · Replies 3 ·
Replies
3
Views
2K
  • · Replies 3 ·
Replies
3
Views
2K
  • · Replies 2 ·
Replies
2
Views
2K
  • · Replies 2 ·
Replies
2
Views
1K
  • · Replies 25 ·
Replies
25
Views
2K
Replies
4
Views
3K