Dirac delta function under integral?

Click For Summary
SUMMARY

The discussion centers on the confusion surrounding the application of the Dirac delta function in the context of solving a linear homogeneous first-order differential equation. The user seeks clarification on the integration factor and the final solution presented in a research paper, which differs from their own calculations. Specifically, they inquire about the role of the theta function in the final step, which selects the value of s=t prime. The conversation highlights the importance of understanding the integration techniques and properties of the Dirac delta function in differential equations.

PREREQUISITES
  • Understanding of linear homogeneous first-order differential equations
  • Familiarity with integration factors in differential equations
  • Knowledge of the Dirac delta function and its properties
  • Basic concepts of the Heaviside theta function
NEXT STEPS
  • Study the properties and applications of the Dirac delta function in differential equations
  • Learn about the Heaviside theta function and its role in piecewise functions
  • Review methods for solving linear homogeneous first-order differential equations
  • Explore integration techniques relevant to differential equations
USEFUL FOR

Students and professionals in mathematics, physics, and engineering who are dealing with differential equations and require a deeper understanding of the Dirac delta function and its applications.

chempinaki
Messages
2
Reaction score
0
Hello all,
I joined this amazing forum just today.I hope that my question will get answered soon.
So here it is.I am unable to understand a some steps in calculation. Please help me understand.

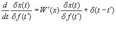
Here is a linear homogeneous first order differential equation
VRYGs.gif


whose solution a research paper writes to be:
ub3j0.gif


Now Integrating factor for solving the differential equation should have been:
EDAPv.gif


And the final solution according to the standard procedure of solving linear homogeneous first order differential equation should have been:
xx9Fv.gif


But in the paper solution is not the same.Please guide me if I am wrong with my justifications.
Also in the final step delta function selects only s=t prime value.I am unable understand why theta function is coming.please elaborate on this step too.Any help will be deeply appreciated. I don't come from a maths background.
 
Physics news on Phys.org
somebody please address the issue.thanks in advance.i am utterly confused.
 

Similar threads

  • · Replies 25 ·
Replies
25
Views
4K
  • · Replies 2 ·
Replies
2
Views
3K
  • · Replies 2 ·
Replies
2
Views
2K
  • · Replies 32 ·
2
Replies
32
Views
5K
  • · Replies 3 ·
Replies
3
Views
2K
  • · Replies 5 ·
Replies
5
Views
4K
  • · Replies 3 ·
Replies
3
Views
2K
  • · Replies 2 ·
Replies
2
Views
11K
  • · Replies 3 ·
Replies
3
Views
3K
  • · Replies 3 ·
Replies
3
Views
2K