Discover Common Mistakes: What Am I Doing Wrong?

  • Thread starter Thread starter camboguy
  • Start date Start date
Click For Summary
SUMMARY

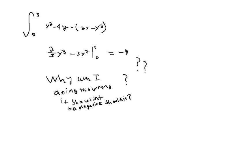
The discussion addresses common mistakes in setting up integrals for calculating areas between curves. Specifically, it highlights an error in the integral setup for the problem "Find the area between x = y² - 4y and x = 2y - y² for y between 0 and 3." The correct approach requires recognizing that the curve x = 2y - y² is greater than x = y² - 4y in the specified range, indicating that the subtraction order in the integral was incorrect. This clarification ensures accurate area calculation without resulting in negative values.

PREREQUISITES
  • Understanding of integral calculus
  • Familiarity with curve equations and their graphical representations
  • Knowledge of area calculation between curves
  • Ability to analyze inequalities in mathematical expressions
NEXT STEPS
  • Study the process of setting up integrals for area calculations between curves
  • Learn about the graphical interpretation of inequalities in calculus
  • Explore advanced techniques in integral calculus, such as the Fundamental Theorem of Calculus
  • Review examples of common mistakes in integral setups and how to avoid them
USEFUL FOR

Students and educators in mathematics, particularly those focusing on calculus, as well as anyone involved in teaching or learning about integral setups and area calculations between curves.

camboguy
Messages
36
Reaction score
0
what am i doing wrong?

mathhelp2.jpg
 
Physics news on Phys.org


You have the right value for the integral you show. If you are calculating area, then you shouldn't get a negative value, so your integral is set up wrong in that case.
 


If the problem was "Find the area between [itex]x= y^2- 4y[/itex] and [itex]x= 2y- y^2[/itex] for y between 0 and 3" you should note that [itex]2y- y^2> y^2- 4y[/itex] for y between 0 and 3 so you have the subtraction backwards.
 

Similar threads

Replies
4
Views
1K
  • · Replies 2 ·
Replies
2
Views
1K
  • · Replies 1 ·
Replies
1
Views
1K
  • · Replies 12 ·
Replies
12
Views
4K
  • · Replies 1 ·
Replies
1
Views
1K
  • · Replies 5 ·
Replies
5
Views
3K
Replies
14
Views
2K
  • · Replies 4 ·
Replies
4
Views
2K
Replies
3
Views
3K