Discretization of diffusion equation of a fluid in movement

Click For Summary

Discussion Overview

The discussion centers on modeling the thermal behavior of a moving heat transfer fluid in one dimension, specifically addressing the discretization of the diffusion equation with convective exchanges with the walls. Participants explore various methods for solving the problem, including finite element methods and the method of characteristics.

Discussion Character

  • Technical explanation
  • Debate/contested
  • Mathematical reasoning

Main Points Raised

  • One participant describes their approach to modeling the thermal behavior and mentions issues with results at the center of the domain, suspecting the discretization method may be the cause.
  • Another participant suggests that the convection term in the initial equation should have a positive sign, questioning the choice of the method used for solving the problem.
  • There is a discussion about the appropriateness of the convection term's sign, particularly in relation to the positions of elements in the fluid.
  • Some participants advocate for the method of characteristics as a simpler alternative to the finite element method, while others express a preference for the latter.
  • Participants encourage deriving the equations and applying the method of characteristics to the problem.

Areas of Agreement / Disagreement

There is disagreement regarding the sign of the convection term in the initial equation and the preferred method for solving the problem. Some participants support the method of characteristics, while others prefer the finite element method. The discussion remains unresolved regarding the best approach and the implications of the convection term's sign.

Contextual Notes

Participants have not fully resolved the implications of the discretization method on the results, and there are missing assumptions regarding the application of the method of characteristics. The discussion also reflects varying levels of familiarity with the proposed methods.

DianeLR
Messages
7
Reaction score
0
Hello,

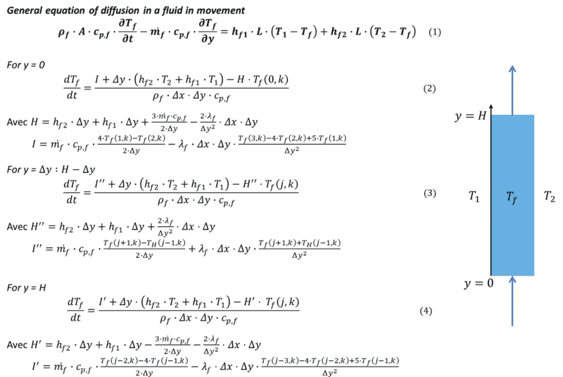
I want to model the thermal behaviour of a moving heat transfer fluid in 1D, with convective exchanges with the walls. I have obtained the following equation (1 on the figure). I have performed a second order spatial discretization with decentred schemes at the extremities (y = 0 and H). After spatial discretisation, equations (2 to 4) are obtained.

By scoring these equations in OpenModelica (a software with a DASSL time integrator), I obtain consistent results at the extremities but not at the centre. I think this is due to the discretization, especially the mcp term.

Do you have any idea how to correct this problem?
 

Attachments

  • figure.png
    figure.png
    25.8 KB · Views: 157
Science news on Phys.org
In your initial equation, the convection term should have a positive sign, not a negative.

Why did you choose this method to solve this problem? I can be done so much more simply using the method of characteristics.
 
Chestermiller said:
In your initial equation, the convection term should have a positive sign, not a negative.

Why did you choose this method to solve this problem? I can be done so much more simply using the method of characteristics.
Should the convection term be positive even if element 2 (at T2) is to the right of the fluid (element 1 to the left)?
I didn't know about the characteristics method... So it's easier for me to use the finite element method.
 
DianeLR said:
Should the convection term be positive even if element 2 (at T2) is to the right of the fluid (element 1 to the left)?
I didn't know about the characteristics method... So it's easier for me to use the finite element method.
Yes. Derive it yourself.

You should learn how to apply the method of characteristics to this problem.'

Please write out the PDE.
 
Chestermiller said:
Yes. Derive it yourself.

You should learn how to apply the method of characteristics to this problem.'

Please write out the PDE.
Thank you for the correction.

I will look into the method of characteristics to apply it to my problem.

The PDE are written in the figure below.
 

Attachments

  • figure.png
    figure.png
    25.6 KB · Views: 156
DianeLR said:
Thank you for the correction.

I will look into the method of characteristics to apply it to my problem.

The PDE are written in the figure below.
So $$\rho C A\left[\frac{\partial T}{\partial t}+v\frac{\partial T}{\partial x}\right]=L(h_{f1}+h_{f2})(T^*-T_f)$$with $$T^*=\frac{h_{f1}T_1+h_{f1}T_2}{(h_{f1}+h_{f2})}$$
 

Similar threads

  • · Replies 5 ·
Replies
5
Views
2K
Replies
13
Views
4K
  • · Replies 2 ·
Replies
2
Views
2K
  • · Replies 1 ·
Replies
1
Views
3K
  • · Replies 5 ·
Replies
5
Views
7K
  • · Replies 7 ·
Replies
7
Views
4K
  • · Replies 18 ·
Replies
18
Views
3K
Replies
2
Views
2K
  • · Replies 3 ·
Replies
3
Views
2K
  • · Replies 3 ·
Replies
3
Views
3K