Discriminant and quadratic problem

Click For Summary

Homework Help Overview

The discussion revolves around the properties of the discriminant in quadratic equations, specifically focusing on the implications of its value on the nature of the roots of the function. Participants are exploring the conditions under which a quadratic function has equal roots, no real roots, or distinct real roots.

Discussion Character

  • Conceptual clarification, Assumption checking

Approaches and Questions Raised

  • Participants are questioning the reasoning behind the discriminant's implications for the roots of a quadratic function, particularly when the discriminant is equal to or less than zero. There is a focus on understanding the relationship between the discriminant and the nature of the roots.

Discussion Status

Some participants have offered guidance by suggesting visual approaches, such as drawing parabolas, to better understand the conditions for the roots. Others have pointed out potential ambiguities in the wording of the original question, indicating that clarity is needed regarding the conditions being discussed.

Contextual Notes

There is mention of a possible confusion between the derivative function and the results of the discriminant, which may affect the interpretation of the problem. Additionally, the thread has been moved from a different section, indicating a shift in focus to include derivatives.

EF17xx
Messages
36
Reaction score
0

Homework Statement



Screen Shot 2018-04-15 at 21.05.36.png

Screen Shot 2018-04-15 at 20.56.22.png

Homework Equations


Discriminant : b^2-4ac

When discriminant = 0 The function has two equal real roots
When discriminant < 0 The discriminant has NO real roots
When discriminant > 0 The function has 2 different real roots

The Attempt at a Solution


Why is it so that when the function is equal or less than 0 that the function has 2 equal roots or no roots.
I understand that when a quadratic is set equal to 0 that when you solve for x it will give you the roots. However when a quadratic is set to 0 the roots are not always necessarily equal they CAN be different. Could someone please explain why the statement is true?
 

Attachments

  • Screen Shot 2018-04-15 at 20.56.22.png
    Screen Shot 2018-04-15 at 20.56.22.png
    3.2 KB · Views: 886
  • Screen Shot 2018-04-15 at 21.05.36.png
    Screen Shot 2018-04-15 at 21.05.36.png
    1.7 KB · Views: 884
Physics news on Phys.org
EF17xx said:

Homework Statement



View attachment 224102
View attachment 224101

Homework Equations


Discriminant : b^2-4ac

When discriminant = 0 The function has two equal real roots
When discriminant < 0 The discriminant has NO real roots
When discriminant > 0 The function has 2 different real roots

The Attempt at a Solution


Why is it so that when the function is equal or less than 0 that the function has 2 equal roots or no roots.
I understand that when a quadratic is set equal to 0 that when you solve for x it will give you the roots. However when a quadratic is set to 0 the roots are not always necessarily equal they CAN be different. Could someone please explain why the statement is true?
Note: Thread moved from Precalc section as it involves derivatives.

Your use of the word "function" is unclear as you seem to be confusing the derivative function (f') with the results of the discriminant.
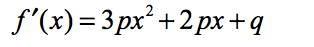
You have ##f'(x) = 3px^2 + 2px + q##, which is a quadratic function. The discriminant tells you that the equation ##y = ax^2 + bx + c## has two roots (discriminant > 0), a single root (discriminant = 0), or no real roots (discriminant < 0). Use this information to show that if ##f'(x) \ge 0##, then f' has either two equal roots or no roots at all.
 
  • Like
Likes   Reactions: EF17xx
Hi,

Draw a bunch of parabolas that satisfy
upload_2018-4-15_21-40-23.png

and see that for more than one root the function has to 'go through' ##f'= 0## twice -- meaning it has to be ##>0## over some range.

What also helps is to work out ##ax^2 + bx + c ## in the form ## \ d(x+e)^2 - f^2\ ##: you see where this determinant comes from.
 

Attachments

  • upload_2018-4-15_21-40-23.png
    upload_2018-4-15_21-40-23.png
    1.1 KB · Views: 408
  • Like
Likes   Reactions: EF17xx
Well just draw a picture of a function like that Complete with coordinates andsubject to the ≥ 0 condition and you may see.
 
  • Like
Likes   Reactions: EF17xx
EF17xx said:

Homework Statement



View attachment 224102
View attachment 224101

Homework Equations


Discriminant : b^2-4ac

When discriminant = 0 The function has two equal real roots
When discriminant < 0 The discriminant has NO real roots
When discriminant > 0 The function has 2 different real roots

The Attempt at a Solution


Why is it so that when the function is equal or less than 0 that the function has 2 equal roots or no roots.
I understand that when a quadratic is set equal to 0 that when you solve for x it will give you the roots. However when a quadratic is set to 0 the roots are not always necessarily equal they CAN be different. Could someone please explain why the statement is true?

I think the question is badly worded. It should either say ##f'(x_0) \geq 0## for some ##x_0## (in which case the stated result is not always true) or else it should say ##f'(x) \geq 0## for all ##x## (in which case the result is quite apparent, but I guess still needs a proof).
 
  • Like
Likes   Reactions: EF17xx
Ray Vickson said:
I think the question is badly worded
I agree: it should have read
if ##\ f'(x) \ge 0 \ ## then the equation ##f'(x) = 0## has two equal roots or no real roots​
 
  • Like
Likes   Reactions: EF17xx

Similar threads

  • · Replies 1 ·
Replies
1
Views
1K
  • · Replies 27 ·
Replies
27
Views
2K
Replies
7
Views
2K
  • · Replies 6 ·
Replies
6
Views
2K
  • · Replies 4 ·
Replies
4
Views
2K
  • · Replies 13 ·
Replies
13
Views
2K
Replies
7
Views
3K
  • · Replies 11 ·
Replies
11
Views
4K
  • · Replies 10 ·
Replies
10
Views
2K
  • · Replies 5 ·
Replies
5
Views
5K