Does my solutions correct? I someone to check.

  • Context: MHB 
  • Thread starter Thread starter duffymercy
  • Start date Start date
Click For Summary

Discussion Overview

The discussion revolves around checking the correctness of solutions related to finding normal equations of curves, inflection points, concavity, and maximizing the volume of a cone generated by a right triangle rotated about one of its legs. The scope includes mathematical reasoning and problem-solving techniques.

Discussion Character

  • Homework-related
  • Mathematical reasoning
  • Debate/contested

Main Points Raised

  • One participant requests help in verifying their solutions and finding the normal equation of a curve.
  • Another participant expresses difficulty in reading the provided solutions and suggests typing them out instead.
  • A participant mentions their physical limitation in typing and apologizes for the difficulty in presenting their work.
  • Suggestions are made to upload clearer images of the math problems and solutions for better assistance.
  • Participants discuss the inflection point and concavity of the curve, with some affirming the correctness of the signs shown for the second derivative.
  • There is a discussion about maximizing the volume of a cone, with one participant suggesting a different formula for volume than what was initially used.
  • One participant expresses learning from the discussion and reflects on the complexity of the methods discussed.
  • Another participant humorously notes a potential simplification in the approach to taking derivatives.

Areas of Agreement / Disagreement

There is partial agreement on the correctness of the inflection point and concavity analysis, as well as the volume maximization approach. However, there are differing opinions on the preferred methods for solving the volume problem, indicating that multiple approaches are being considered.

Contextual Notes

Participants have not fully resolved the discussion regarding the best method for maximizing volume, and there are unresolved aspects related to the clarity of the presented solutions.

duffymercy
Messages
6
Reaction score
0
I need someone to check my solutions if they are correct. And i need help about how to find normal equation of curve.(last picture)

Thanks for your time.
 

Attachments

  • çözüm konveks.jpg
    çözüm konveks.jpg
    67.5 KB · Views: 139
  • çözüm1.jpg
    çözüm1.jpg
    97 KB · Views: 144
  • çözüm3.jpg
    çözüm3.jpg
    61 KB · Views: 135
  • soru temiz tanjant.jpg
    soru temiz tanjant.jpg
    82.6 KB · Views: 122
Physics news on Phys.org
It's almost impossible to read those! Couldn't you type them in? For that matter why couldn't you check the answers yourself?
 
Country Boy said:
It's almost impossible to read those! Couldn't you type them in? For that matter why couldn't you check the answers yourself?
I don't know how to type them in pc, and i have bionic hand that's why i can't write good. Sorry.
 
Hi duffymercy, if you don't know how to type math expression/equation in $\LaTeX$, perhaps you want to check this https://mathhelpboards.com/threads/mhb-latex-guide-pdf.1142/ out. (Smile)

But, if you want to upload the picture of the math problem and your solution to the problem here so we could see if you have got a sound solution, you could help us out by uploading a picture that is visible to us, okay?(Nod)
 
I hope it's better
anemone said:
Hi duffymercy, if you don't know how to type math expression/equation in $\LaTeX$, perhaps you want to check this https://mathhelpboards.com/threads/mhb-latex-guide-pdf.1142/ out. (Smile)

But, if you want to upload the picture of the math problem and your solution to the problem here so we could see if you have got a sound solution, you could help us out by uploading a picture that is visible to us, okay?(Nod)
In the first picture we are looking for inflection point and concavity.
In the second picture we are looking for max volume of cone. We have hypotenuse value.

https://www.physicsforums.com/attachments/311841._xfImporthttps://www.physicsforums.com/attachments/311842._xfImporthttps://www.physicsforums.com/attachments/311843._xfImport
 
Last edited:
Can you post the question as well because without the question, it is hard for us to know what you are trying to solve...
 
anemone said:
Can you post the question as well because without the question, it is hard for us to know what you are trying to solve...
In the first picture we are looking for inflection point and concavity of the curve.
In the second picture we are looking for max volume of cone that generated by right triangle rotated about one of it's legs. We have the hypotenuse value.
Third picture explains itself.
 
inflection point is correct, as is concavity for signs shown for $f''$

max volume is ok ... I would have used $V = \dfrac{\pi}{3}(7h-h^3)$ instead of the trig functions

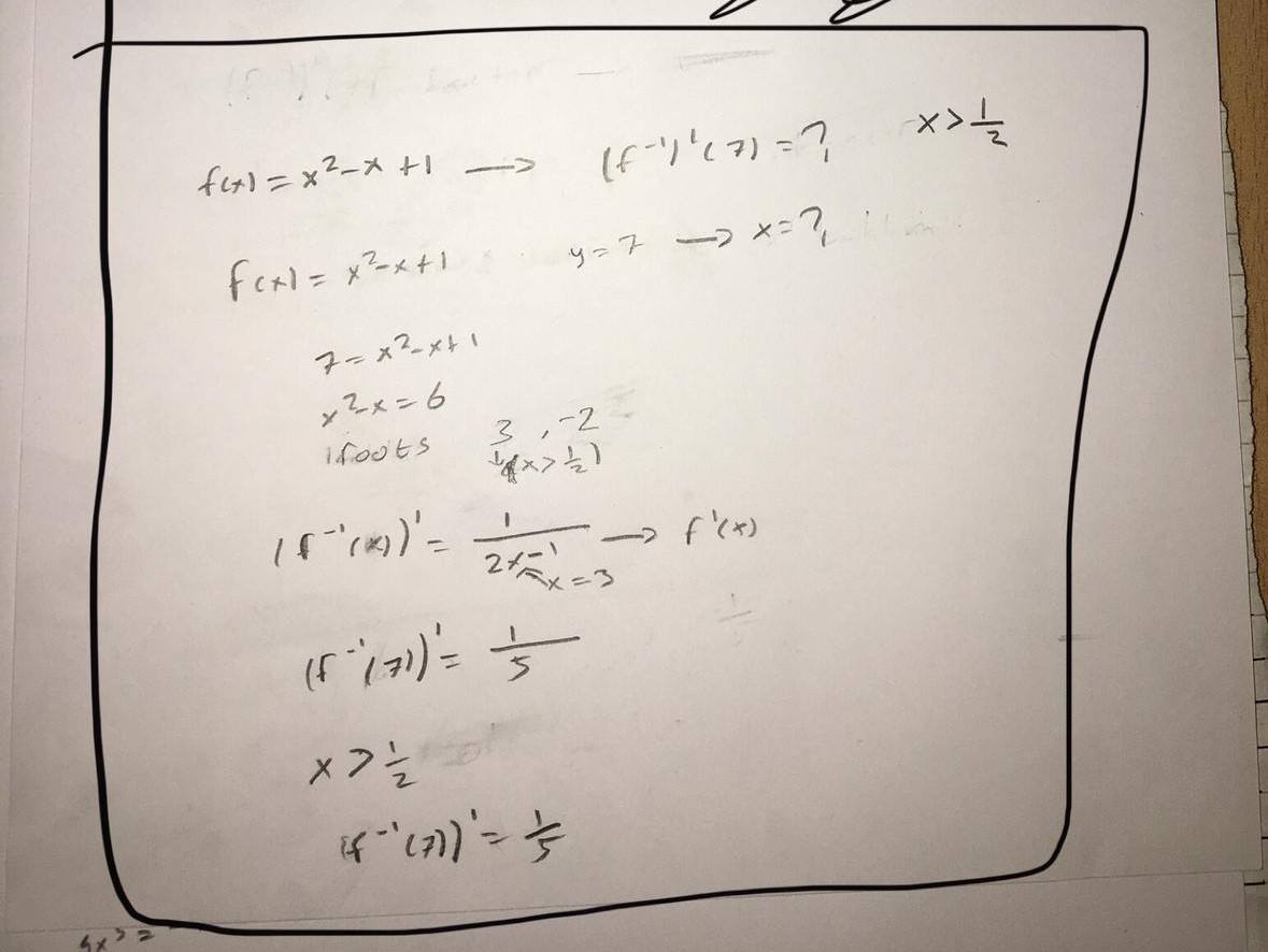
inverse derivative value is correct
 
skeeter said:
inflection point is correct, as is concavity for signs shown for $f''$

max volume is ok ... I would have used $V = \dfrac{\pi}{3}(7h-h^3)$ instead of the trig functions

inverse derivative value is correct
Thank you so much, I learned $$V=(π/3)*r^2\sqrt(7−r^2)\ $$ method after I post it here. But still I think trig functions was easier. This method is more complicated.
 
  • #10
skeeter said:
inflection point is correct, as is concavity for signs shown for $f''$

max volume is ok ... I would have used $V = \dfrac{\pi}{3}(7h-h^3)$ instead of the trig functions

inverse derivative value is correct
AH LOL, I just saw what you did there, if I would've do it for h instead of r, taking derivative could be easier...
work smart ... not hard. it explains everything...
 
Last edited:

Similar threads

  • · Replies 9 ·
Replies
9
Views
4K
  • · Replies 4 ·
Replies
4
Views
2K
  • · Replies 10 ·
Replies
10
Views
3K
Replies
4
Views
2K
  • · Replies 1 ·
Replies
1
Views
1K
  • · Replies 12 ·
Replies
12
Views
2K
Replies
4
Views
2K
  • · Replies 7 ·
Replies
7
Views
1K
  • · Replies 9 ·
Replies
9
Views
3K
  • · Replies 5 ·
Replies
5
Views
4K