Draw and find the Length of x=t+4 , y=t2+1

  • Thread starter Thread starter Michael_0039
  • Start date Start date
  • Tags Tags
    Length
Click For Summary
SUMMARY

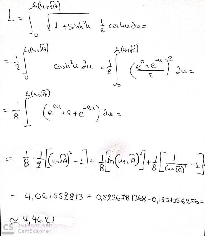
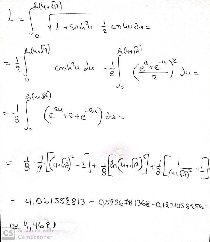
The discussion focuses on calculating the length of the parametric equations x=t+4 and y=t²+1. Participants explore various methods, including setting (2x-8) = sinh(u) and using the parameterization ds² = dx² + dy². The final calculation yields an approximate length of 4.65 using trigonometric functions and inverse hyperbolic sine. The conversation emphasizes the importance of correct parameterization and integration techniques in solving such problems.

PREREQUISITES
  • Understanding of parametric equations
  • Knowledge of calculus, specifically integration techniques
  • Familiarity with hyperbolic functions
  • Ability to manipulate and differentiate functions
NEXT STEPS
  • Study the derivation of arc length for parametric curves
  • Learn about hyperbolic functions and their applications
  • Explore Wolfram Alpha for advanced calculus problems
  • Investigate the use of parameterization in different contexts
USEFUL FOR

Students and educators in calculus, mathematicians interested in parametric equations, and anyone looking to enhance their understanding of integration and arc length calculations.

Michael_0039
Messages
59
Reaction score
7
Homework Statement
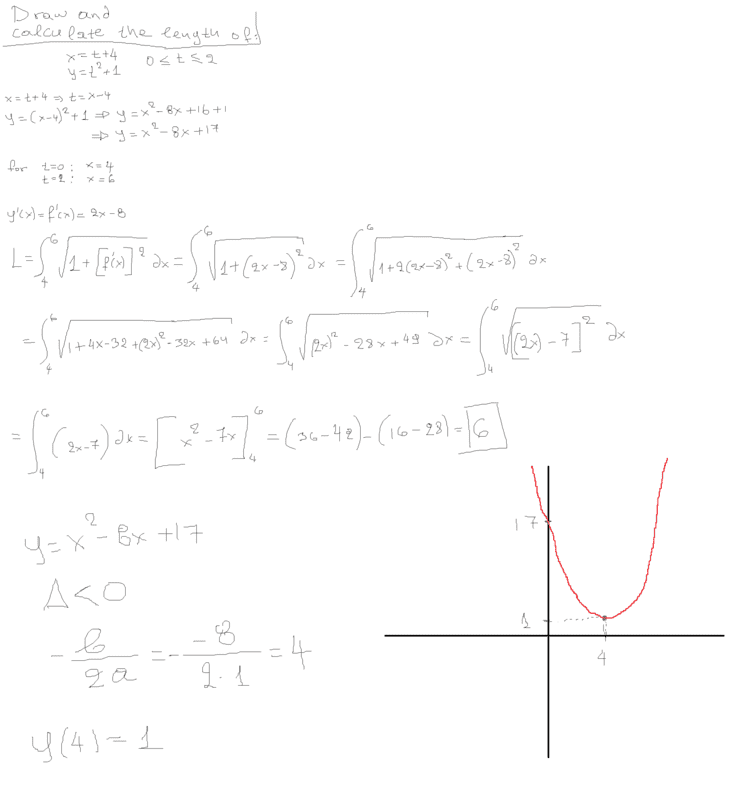
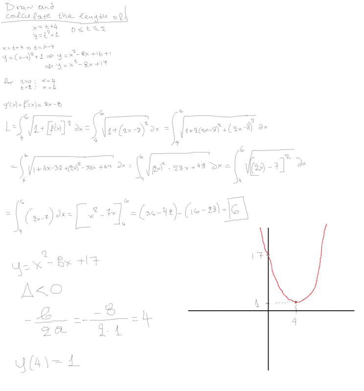
Draw and find the Length of x=t+4 , y=t2+1
Relevant Equations
nil
Hi,

my try:

pic.png

Do you agree with me?

Thanks
 
Physics news on Phys.org
Edit:
1573908710053.png
 
Michael_0039 said:
Homework Statement: Draw and find the Length of x=t+4 , y=t2+1
Homework Equations: nil

Hi,

my try:

View attachment 252903
Do you agree with me?

Thanks
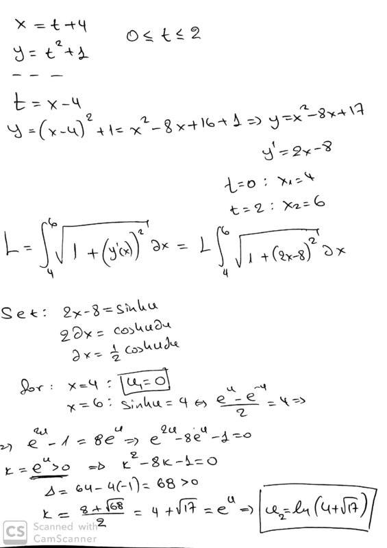
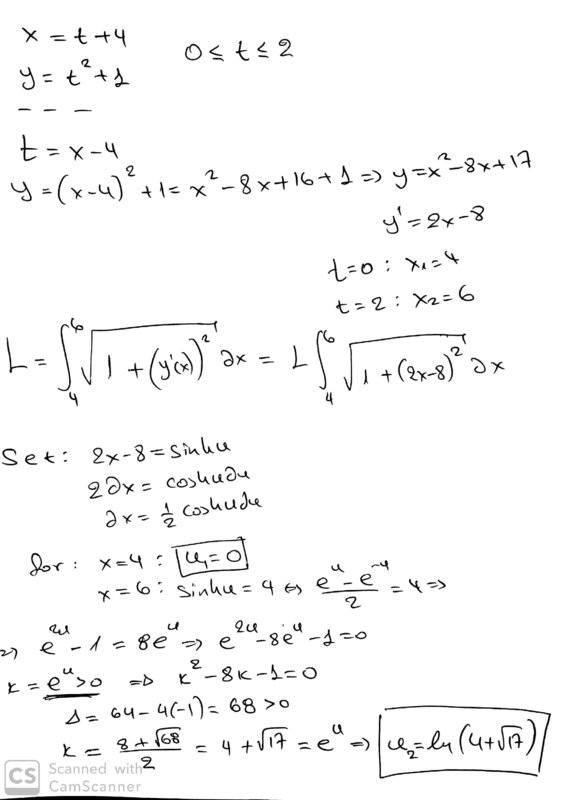
I don't agree. By going round in circles long enough, you finally got:

##2(x-8)^2+1 = (2x-7)^2##

Which can't be correct.
 
  • Like
Likes   Reactions: Michael_0039
PS note that an alternative approach was to use the parameterisation you were given:

##ds^2 = dx^2 + dy^2 = (\frac{dx}{dt}dt)^2 + (\frac{dy}{dt}dt)^2##

Hence:

##ds = \sqrt{(\frac{dx}{dt})^2 + (\frac{dy}{dt})^2} \ dt##
 
  • Like
Likes   Reactions: Michael_0039
New Doc 2019-11-16 17.16.20_1.jpg

New Doc 2019-11-16 17.16.20_2.jpg
 
  • Like
Likes   Reactions: Michael_0039

Similar threads

  • · Replies 1 ·
Replies
1
Views
2K
  • · Replies 2 ·
Replies
2
Views
958
  • · Replies 37 ·
2
Replies
37
Views
4K
Replies
3
Views
2K
Replies
1
Views
1K
Replies
2
Views
2K
  • · Replies 1 ·
Replies
1
Views
2K
  • · Replies 6 ·
Replies
6
Views
2K
Replies
8
Views
2K
  • · Replies 9 ·
Replies
9
Views
2K