Efficient Solutions for IVP and Root Approximation in Differential Equations

Click For Summary

Homework Help Overview

The discussion revolves around numerical analysis in the context of differential equations, specifically focusing on initial value problems (IVP) and root approximation techniques. Participants are exploring methods to solve equations involving rates of change and approximating roots of functions derived from these equations.

Discussion Character

  • Mixed

Approaches and Questions Raised

  • Participants discuss the integration of differential equations, questioning the treatment of variables and constants during integration. There is also exploration of initial conditions and their implications. Additionally, methods for approximating roots of a function are considered, including graphical approaches and numerical methods like Newton's method.

Discussion Status

The conversation is ongoing, with various approaches being suggested. Some participants have provided insights into the behavior of functions and potential methods for finding roots, while others are still grappling with the implications of initial conditions and constants of integration.

Contextual Notes

Participants are navigating constraints related to the assumptions of the equations and the conditions under which they are solving them, including the behavior of functions at specific points and the necessity of positive values for certain parameters.

Robb
Messages
225
Reaction score
8

Homework Statement


[/B]
It's been a couple of years since differential equations so I am hoping to find some guidance here. This is for numerical analysis.
Any help would be much appreciated.

upload_2017-9-17_19-20-2.png


Homework Equations

The Attempt at a Solution


upload_2017-9-17_19-20-27.png
 
Physics news on Phys.org
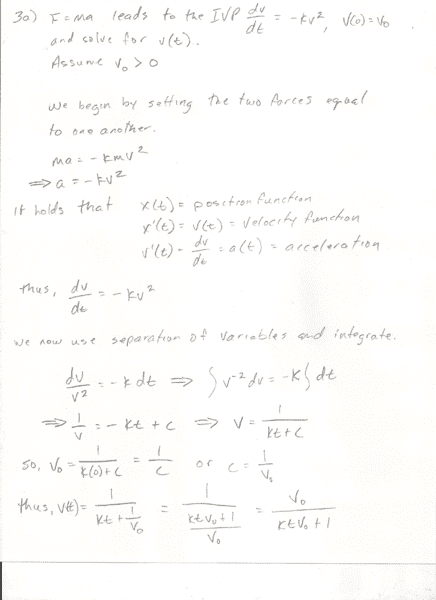
No. When you go from[tex]\frac{dv}{dt} = -k v^2[/tex]
to:[tex]\int dv = -\int k v^2 dt[/tex]
you can't simply integrate the right side as though v is a constant, because v depends on t, and you don't know the functional dependence of v on t. What you need to do is collect the terms in v on one side and the terms in t on the other side so you have: [tex]\int \frac{dv}{v^2} = -k \int dt[/tex]Try going from there.
 
-1/v = -kt
v = 1/kt

or is this more accurate: v(t) = 1/kt ?
 
Last edited:
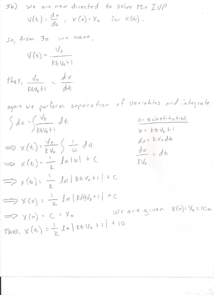
What about the constant of integration and the initial conditions?
 
phyzguy said:
What about the constant of integration and the initial conditions?

Shoot, I forgot about the constant of integration: v(t) = 1/kt + C
As for the initial conditions I guess I'm not sure. v(0) = v(o). Doesn't this imply division by zero (v(0) = 1/k(0))?
 
Robb said:
Shoot, I forgot about the constant of integration: v(t) = 1/kt + C

No! You need to add the constant of integration when you integrate, before you invert both sides.
 
Robb said:
Shoot, I forgot about the constant of integration: v(t) = 1/kt + C
As for the initial conditions I guess I'm not sure. v(0) = v(o). Doesn't this imply division by zero (v(0) = 1/k(0))?

No: as phyzguy said, the correct statement is ##-1/v = -kt + C##.
 
Yep, I got that. So, v(0) = -1/C
 
Robb said:
Yep, I got that. So, v(0) = -1/C

Yes, so keep going. Now you should be able to answer the other questions.
 
  • #10
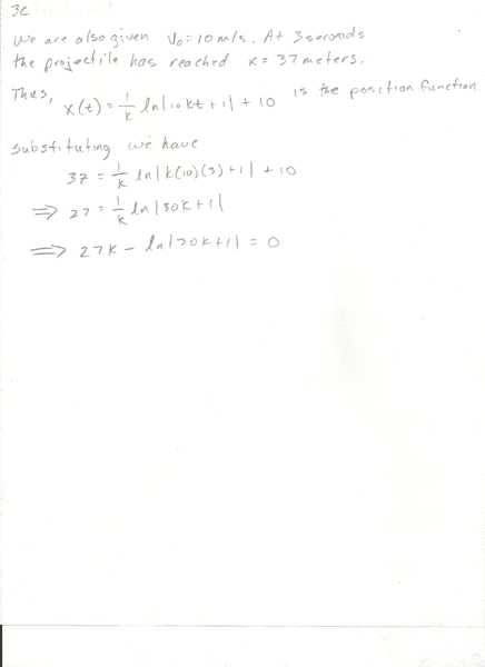
I now have to approximate the root of K. I'm not sure how to find a starting bracket. I know one way is to turn the equation F(k)=27k - ln abs(30k + 1) into two equations; y = 27k, y = ln abs(30k + 1). I've graphed it but the only intersection I can find is at the point (0,0), which we do not want. Any words of wisdom? Thanks!

upload_2017-9-20_21-2-18.png


upload_2017-9-20_21-2-46.png


upload_2017-9-20_21-3-9.png
 
  • #11
I suggest using Newton's method to find the value of K. It works for finding roots of an equation of the form F(x) = 0. Here you have F(k) = 27k - ln(30k+1) = 0. Start with a guess for k (I tried k = 1) and iterate until it stops changing. What value do you find for k?
 
  • #12
Robb said:
I now have to approximate the root of K. I'm not sure how to find a starting bracket. I know one way is to turn the equation F(k)=27k - ln abs(30k + 1) into two equations; y = 27k, y = ln abs(30k + 1). I've graphed it but the only intersection I can find is at the point (0,0), which we do not want. Any words of wisdom? Thanks!

View attachment 211441

View attachment 211443

View attachment 211444

I refuse to look at your posted images, but am willing to comment on typed material.

In this case you want to find the intersection of the two curves ##f(k) = 27 k## and ##g(k) = \ln |30 k + 1|##. For ##k \geq 0## (actually, for ##k \geq -1/30##) you can remove the absolute-value signs in ##g(k)##. We have ##f'(0) = 27## and ##g'(0) = 30##. Since ##f(0)=g(0)=0## and ##g## has higher initial slope, ##g(k)## will exceed ##f(k)## intially. However, since ##g(k)## is a strictly concave function on ##(0,\infty)## (i.e., ##g''(k) < 0## for ##k > 0##), and since ##g## does not grow very fast, the two graphs must cross again exactly once at some value of ##k > 0##. However, that ##k## will be very small, because already by ##k = 1## we have ##f \gg g##. As phyzguy suggested, you can use Newton's method, but another way that looks promising is to expand ##g(k)## as an order-2 Maclauren series of the form ##g(k) \approx 30 k - c k^2## and then solve the resulting quadratic equation.

The graph of ##g(k)## for ##k < -1/30## is a mirror-image of that for ##k > -1/30##, so as ##k## decreases below -1/30 the graph rises up again (from ##-\infty##) and eventually becomes positive once more. That means that there must be a second root at a value ##k < -1/30##.
 
  • #13
much appreciated.
 
  • #14
Note that the value for k you are searching for must be positive, otherwise the projectile will accelerate without limit.
 
  • #15
Robb said:
much appreciated.

For what it is worth: you can solve the equation in terms of the so-called Lambert W- function and so can get an immediate numerical value if you use a computer algebra system such as Maple or Mathematica. You can also get a symbolic and numerical solution using the free on-line program Wolfram Alpha.
 

Similar threads

  • · Replies 3 ·
Replies
3
Views
2K
  • · Replies 27 ·
Replies
27
Views
2K
  • · Replies 5 ·
Replies
5
Views
2K
  • · Replies 24 ·
Replies
24
Views
4K
  • · Replies 7 ·
Replies
7
Views
2K
  • · Replies 3 ·
Replies
3
Views
1K
  • · Replies 1 ·
Replies
1
Views
1K
  • · Replies 2 ·
Replies
2
Views
2K
  • · Replies 12 ·
Replies
12
Views
2K
  • · Replies 10 ·
Replies
10
Views
3K