Electric and magnetic fields of a moving charge

Click For Summary

Homework Help Overview

The discussion revolves around the electric and magnetic fields generated by two point charges, one positive and one negative, moving in opposite directions. The participants explore the implications of their motion on the fields, particularly at the moment they cross each other at the origin.

Discussion Character

  • Exploratory, Conceptual clarification, Mathematical reasoning, Assumption checking

Approaches and Questions Raised

  • Participants discuss the application of the superposition principle to the electric and magnetic fields of the two charges. Questions arise regarding the formal definitions of the vectors involved and the effects of changing the direction of velocity and charge on the fields.

Discussion Status

The discussion is active, with participants questioning each other's reasoning and clarifying concepts related to the fields. Some guidance has been offered regarding the mathematical expressions for the fields, and there is an ongoing exploration of the implications of charge and motion direction on the resultant fields.

Contextual Notes

Participants are navigating the constraints of the problem, including the need to sketch field lines and the implications of the charges crossing each other. There is also a mention of homework rules that limit the type of assistance that can be provided.

milkism
Messages
118
Reaction score
15
Homework Statement
Say two point charges q and −q moving with velocity v in opposite directions and
crossing each other at the origin at t = 0.
Relevant Equations
Electric and magnetic field lines of moving charges.
Part a)
0a59965c3c83a1802d4af85d7e0ae01b.png

My solution:
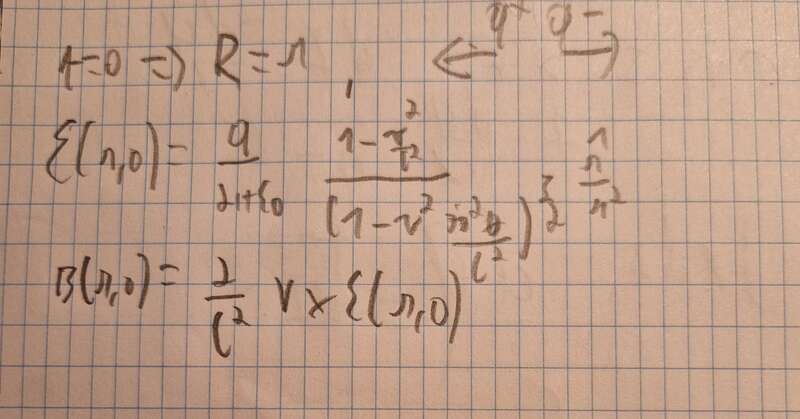
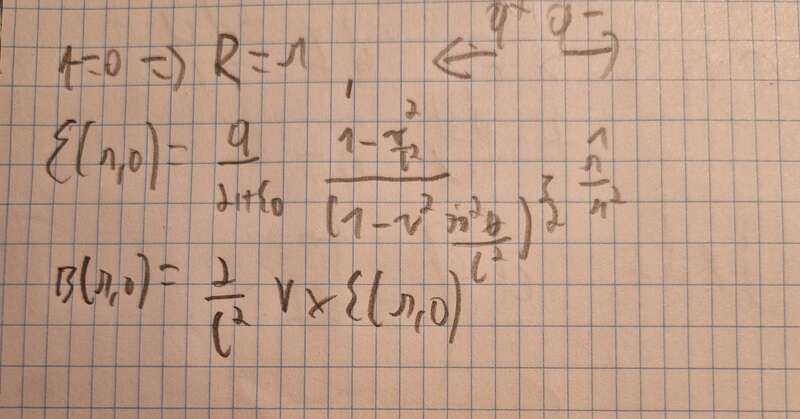
20230308_171221.jpg


Big R basically becomes r, and the electric and magnetic field lines are doubled because of superposition principle. Am I right?
 
Physics news on Phys.org
milkism said:
Homework Statement:: Say two point charges q and −q moving with velocity v in opposite directions and
crossing each other at the origin at t = 0.
Relevant Equations:: Electric and magnetic field lines of moving charges.

Part a)
View attachment 323356
My solution:
View attachment 323357

Big R basically becomes r, and the electric and magnetic field lines are doubled because of superposition principle. Am I right?
Not so fast. What are ##\mathbf{\hat{R}}_1## and ##\mathbf{\hat{R}}_2## for the two particles? Yes, there is superposition but you have to do it formally, not "basically."
 
milkism said:
Big R basically becomes r, and the electric and magnetic field lines are doubled because of superposition principle. Am I right?

The two particles are oppositely charged. Would both the electric and magnetic fields double compared to the case of the single particle?
 
TSny said:
The two particles are oppositely charged. Would both the electric and magnetic fields double compared to the case of the single particle?
Yes since they're going opposite directions, if they were at same direction, it wouldn't.
 
kuruman said:
Not so fast. What are ##\mathbf{\hat{R}}_1## and ##\mathbf{\hat{R}}_2## for the two particles? Yes, there is superposition but you have to do it formally, not "basically."
Let's say a point charge above where they cross, and let's say Q1 is above Q2, then R1=R1 and R2=R1+x, with x distance between Q1 and Q2?
 
milkism said:
Let's say a point charge above where they cross, and let's say Q1 is above Q2, then R1=R1 and R2=R1+x, with x distance between Q1 and Q2?
And also wouldn't the velocity signs change too?
 
Consider the formulas you provided in the first post for the electric field ##\mathbf{E}## and ##\mathbf{B}## of a single point charge ##q## moving with velocity ##\mathbf{v}##.

Would the direction of ##\mathbf{E}## at the field point at time ##t = 0## change if the particle moved in the opposite direction (but kept the same charge ##q##)? Would the direction of ##\mathbf{B}## at the field point change at time ##t = 0## if the particle moved in the opposite direction (but kept the same charge ##q##)?

Would the direction of ##\mathbf{E}## at the field point change if the particle's charge was switched to ##-q## with no change in direction of velocity? Would the direction of ##\mathbf{B}## at the field point change if the particle's charge was switched to ##-q## with no change in direction of velocity?
 
TSny said:
Consider the formulas you provided in the first post for the electric field ##\mathbf{E}## and ##\mathbf{B}## of a single point charge ##q## moving with velocity ##\mathbf{v}##.

Would the direction of ##\mathbf{E}## at the field point at time ##t = 0## change if the particle moved in the opposite direction (but kept the same charge ##q##)? Would the direction of ##\mathbf{B}## at the field point change at time ##t = 0## if the particle moved in the opposite direction (but kept the same charge ##q##)?

Would the direction of ##\mathbf{E}## at the field point change if the particle's charge was switched to ##-q## with no change in direction of velocity? Would the direction of ##\mathbf{B}## at the field point change if the particle's charge was switched to ##-q## with no change in direction of velocity?
For first E no, first B yes, because of the cross product -v x E.
For second both yes.
 
milkism said:
For first E no, first B yes, because of the cross product -v x E.
For second both yes.
Ok. So, if the direction of velocity is changed and the sign of the charge is also changed, what happens to the direction of E and the direction of B at the field point?
 
  • #10
TSny said:
Ok. So, if the direction of velocity is changed and the sign of the charge is also changed, what happens to the direction of E and the direction of B at the field point?
E would change, B wouldn't?
 
  • #11
milkism said:
E would change, B wouldn't?
That's right.
 
  • #12
TSny said:
That's right.
Resultant E will be zero then?
 
  • #13
milkism said:
Resultant E will be zero then?
Yes. Do you feel uncertain about making this conclusion?
 
  • #14
TSny said:
Yes. Do you feel uncertain about making this conclusion?
No, but will R, or r be the same for both particles? With crossing each other do they mean that the two charges "touch" each other, or that they cross each other "parallelly"?
 
  • #15
Or we can approximate by saying that the distance x between them is very small and we can ignore it.
 
  • #16
milkism said:
Or we can approximate by saying that the distance x between them is very small and we can ignore it.
yes
 
  • #17
TSny said:
yes
So my initial answer for B-field was right?
 
  • #18
milkism said:
So my initial answer for B-field was right?
You stated that the B-field at the field point for the two charges at ##t = 0## would double compared to the single charge. That's right.

But it looks to me that your mathematical expression for ##\vec B## for the two particles that you wrote in post #1 is quadruple the field of the single charge.

milkism said:
My solution:
View attachment 323357
Your expression for E(r, 0) is twice that for a single charge. But you include an additional factor of 2 when writing B(r,0).
 
  • #19
TSny said:
You stated that the B-field at the field point for the two charges at ##t = 0## would double compared to the single charge. That's right.

But it looks to me that your mathematical expression for ##\vec B## for the two particles that you wrote in post #1 is quadruple the field of the single charge.Your expression for E(r, 0) is twice that for a single charge. But you include an additional factor of 2 when writing B(r,0).
Oh yes! Didn't see I meant to write double mathematically.
 
  • #20
TSny said:
You stated that the B-field at the field point for the two charges at ##t = 0## would double compared to the single charge. That's right.

But it looks to me that your mathematical expression for ##\vec B## for the two particles that you wrote in post #1 is quadruple the field of the single charge.Your expression for E(r, 0) is twice that for a single charge. But you include an additional factor of 2 when writing B(r,0).
Hey, don't know if I should make a new thread, but the next question is part b of the problem. It just asks to sketch the magnetic- and electric field lines of the moving charges before or after they cross each other. This is what I got:
20230310_140226.jpg


For the positive charge, the electric field lines ofcourse "move away" from the charge, and the magnetic field lines make a circulation around the charge, for the positive charge in positive direction the magnetic field lines will first go out the page then go inside the page, because of the right-hand rule.
For negative charge and negative velocity, it would be just the other way right?
 
  • #21
Are they asking for a sketch of the net electric and magnetic fields due to both particles?
 
  • #22
TSny said:
Are they asking for a sketch of the net electric and magnetic fields due to both particles?
732a85d7bb8d4026b5cad1e58897091c.png

I don't think so.
 
  • #23
  • #24
TSny said:
yes
Sadly we may not, so my new equations became
7fe99aa1b1bf11fb755b27e6f8cbc082.png

For B(r,t) it should be + instead of -, my fault. Are these right?
 
  • #25
milkism said:
Sadly we may not, so my new equations became View attachment 323644
For B(r,t) it should be + instead of -, my fault. Are these right?
Oh, yeah, also the angles would be different due to the distance x, right,?
 
  • #26
TSny said:
It might be worth checking what is expected here.
It's net, this is what I got
20230315_135031.jpg
 
  • #27
milkism said:
Sadly we may not, so my new equations became View attachment 323644
For B(r,t) it should be + instead of -, my fault. Are these right?
Correction at cross product $$v\sin(\theta)E\mathbf{\hat{\phi}}$$
 
  • #28
milkism said:
Sadly we may not, so my new equations became View attachment 323644
Please type in your posts rather than post your discussion as images. Otherwise, it isn't easy to quote specific parts of your post. Posting images of diagrams is fine.

If the net electric field is not zero at the instant t = 0 when the two particles "cross", then I don't understand the setup of the problem. You say that Enet = 0 is not the "given result". If you can state the given result, it might help us interpret the setup.

You stated the following:

1678889216172.png

What does it mean when you say "two charges are x"? Your formula for ##\mathbf{E}(\mathbf{r}, t)## must correspond to some configuration of the two charges. Can you post a carefully sketched diagram that shows the location of the two particles at the instant that corresponds to your formula? On the diagram, please indicate the location of the two particles and the location of the field point. Also, please label the quantities ##x##, ##r##, ##\hat {\mathbf{r}}##, and ##\theta##.
 
  • #29
TSny said:
Please type in your posts rather than post your discussion as images. Otherwise, it isn't easy to quote specific parts of your post. Posting images of diagrams is fine.

If the net electric field is not zero at the instant t = 0 when the two particles "cross", then I don't understand the setup of the problem. You say that Enet = 0 is not the "given result". If you can state the given result, it might help us interpret the setup.

You stated the following:
What does it mean when you say "two charges are x"? Your formula for ##\mathbf{E}(\mathbf{r}, t)## must correspond to some configuration of the two charges. Can you post a carefully sketched diagram that shows the location of the two particles at the instant that corresponds to your formula? On the diagram, please indicate the location of the two particles and the location of the field point. Also, please label the quantities ##x##, ##r##, ##\hat {\mathbf{r}}##, and ##\theta##.
"The distance between the two charges are x" was the full sentence. The given result is just the expression I got for E(r,t).
20230315_171010.jpg

When drawing the figure I just realized $$\mathbf{r_2}$$, which connects the negative charge to the field point is not $$\mathbf{r_1}+\mathbf{x}$$. That would have been the case if the field point were to be right above the charges, with both angles being zero. Finding an expression for $$\mathbf{r_2}$$ will be difficult, so I will just leave it as $$\mathbf{r_2}$$. So the electric-and magnetic field lines will look like:
$$\mathbf{E}(\mathbf{r},t) = \frac{q \left(1 - v^2 / c^2 \right) \mathbf{\hat{r_1}}}{4 \pi \epsilon_0 \left( 1 - v^2 \sin^2 (\theta_1 )/c ^2 \right)^{3/2}r_{1}^2} - \frac{q \left(1 - v^2 / c^2 \right) \mathbf{\hat{r_2}}}{4 \pi \epsilon_0 \left( 1 - v^2 \sin^2 (\theta_2 )/c ^2 \right)^{3/2}r_{2}^2}$$
$$\mathbf{B}(\mathbf{r},t) = \frac{q \mu_0 \left(1 - v^2 / c^2 \right) \sin(\theta_1) \mathbf{\hat{\phi}}}{4 \pi \left( 1 - v^2 \sin^2 (\theta_1 )/c ^2 \right)^{3/2}r_{1}^2} + \frac{q \mu_0 \left(1 - v^2 / c^2 \right) \sin(\theta_2) \mathbf{\hat{\phi}}}{4 \pi \left( 1 - v^2 \sin^2 (\theta_2 )/c ^2 \right)^{3/2}r_{2}^2}.$$
I guess.
 
Last edited:
  • #30
TSny said:
Please type in your posts rather than post your discussion as images. Otherwise, it isn't easy to quote specific parts of your post. Posting images of diagrams is fine.

If the net electric field is not zero at the instant t = 0 when the two particles "cross", then I don't understand the setup of the problem. You say that Enet = 0 is not the "given result". If you can state the given result, it might help us interpret the setup.

You stated the following:
What does it mean when you say "two charges are x"? Your formula for ##\mathbf{E}(\mathbf{r}, t)## must correspond to some configuration of the two charges. Can you post a carefully sketched diagram that shows the location of the two particles at the instant that corresponds to your formula? On the diagram, please indicate the location of the two particles and the location of the field point. Also, please label the quantities ##x##, ##r##, ##\hat {\mathbf{r}}##, and ##\theta##.
Also I'm a bit confused with what they mean with "at origin" does that mean that the field point is right above the charges or?
 

Similar threads

  • · Replies 6 ·
Replies
6
Views
3K
  • · Replies 1 ·
Replies
1
Views
1K
Replies
12
Views
3K
  • · Replies 4 ·
Replies
4
Views
2K
  • · Replies 7 ·
Replies
7
Views
3K
  • · Replies 6 ·
Replies
6
Views
4K
  • · Replies 5 ·
Replies
5
Views
2K
  • · Replies 5 ·
Replies
5
Views
4K
  • · Replies 3 ·
Replies
3
Views
3K
  • · Replies 7 ·
Replies
7
Views
2K