Electric Current and Resistance

Click For Summary

Homework Help Overview

The discussion revolves around the concept of electric current and resistance, specifically focusing on the current density in a cylindrical conductor. Participants are examining the mathematical representation of current density and its implications.

Discussion Character

  • Conceptual clarification, Mathematical reasoning, Assumption checking

Approaches and Questions Raised

  • Participants are questioning the correctness of the formulas presented for current density, noting potential dimensional inconsistencies. There is an exploration of different expressions for current density, with some participants suggesting revisions to the original formulas.

Discussion Status

The discussion is active, with participants providing feedback on each other's attempts and raising questions about the validity of the formulas. Some guidance has been offered regarding the need for a correct representation of current density, but no consensus has been reached on the correct formula.

Contextual Notes

There is a mention of the dimensional correctness of the constants involved, specifically the units of α, which are given as A/m². This raises questions about the assumptions made in the problem setup.

zoyash
Messages
1
Reaction score
0
Homework Statement
The current density across a cylindrical conductor of radius R varies according to the

equation J=α(r−r2/R), where r is the distance from the axis. Thus the current density is a

maximum J0 at the axis r=0 and decreases linearly to zero at the surface r=R in which α is a constant.

What is the current through the outer portion of the wire between radial distance R/3

and R. Take R=2mm and α=2*105 A/m2
Relevant Equations
J=α(r−r2/R)
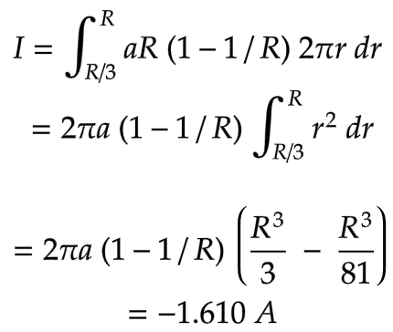
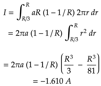
I have attached my solution to this problem but I think I got the wrong answer.
 

Attachments

  • math-20200507.png
    math-20200507.png
    8.6 KB · Views: 164
Physics news on Phys.org
I read your post and the attached attempt at the solution but I have problem understanding which exactly is the formula for the current density. Can you write it in Latex? is it $$J(r)=\alpha r (1-\frac{r}{R})$$

Though in the solution it seems that you use as current density the formula below
$$J(r)=ar(1-\frac{1}{R})$$

I have to say that both formulas seem dimensionally incorrect since the units of ##\alpha## are given as A/m^2
 
Last edited:
  • Like
Likes   Reactions: etotheipi
zoyash said:
Homework Statement:: The current density across a cylindrical conductor of radius R varies according to the

equation ## J=α(r−r^2/R) ## , where r is the distance from the axis. Thus the current density is a maximum J0 at the axis r=0 and decreases linearly to zero at the surface r=R in which α is a constant.
Your formula says J=0 at r=0. I think you may have meant ## J =J_0
\alpha (R - r^2/R) ##. Furthermore, in order for J to decrease linearly with r the formula would have to be something like ## J = J_0 \alpha(R-r). ## Try again.
 
Delta2 said:
in the solution it seems that you use as current density the formula below
$$J(r)=ar(1-\frac{1}{R})$$

I have to say that both formulas seem dimensionally incorrect since the units of ##\alpha## are given as A/m^2
Well, @zoyash started with $$J(r)=aR(1-\frac{1}{R})$$
But then switched to $$J(r)=ar(1-\frac{1}{R})$$
Neither makes sense dimensionally and neither decreases linearly with r. Probably should be $$J(r)=a(1-\frac{r}{R})$$
 
Last edited:
  • Like
Likes   Reactions: etotheipi and Delta2

Similar threads

Replies
44
Views
5K
  • · Replies 17 ·
Replies
17
Views
2K
  • · Replies 9 ·
Replies
9
Views
2K
Replies
11
Views
2K
  • · Replies 31 ·
2
Replies
31
Views
5K
Replies
9
Views
1K
Replies
2
Views
1K
  • · Replies 42 ·
2
Replies
42
Views
6K
  • · Replies 1 ·
Replies
1
Views
1K
Replies
7
Views
1K