Electrostatic field of a sphere

Click For Summary
SUMMARY

The electrostatic field of a non-conductive sphere with a radius R and a uniform charge density ρ0 can be analyzed using Gauss's law. The discussion highlights the need to consider two distinct regions: inside the sphere (r' < R) and outside the sphere (r' ≥ R). The electric field is a vector quantity, and the solution must account for both regions to provide a complete understanding of the electrostatic field behavior.

PREREQUISITES
  • Understanding of Gauss's law in electrostatics
  • Familiarity with vector fields and their properties
  • Knowledge of charge density distributions
  • Basic calculus for solving integrals
NEXT STEPS
  • Study the application of Gauss's law for different charge distributions
  • Learn about electric field calculations for spherical symmetry
  • Explore the concept of vector fields in electrostatics
  • Investigate the mathematical techniques for solving integrals in electrostatics
USEFUL FOR

Physics students, electrical engineers, and anyone studying electrostatics or working with electric fields in spherical geometries.

gebhaard
Messages
1
Reaction score
0
Homework Statement
What is the electrostatic field of a non-conductive sphere (it's radius is R) which has a density charge distribution inside? ρ0 and R are parameters.
Relevant Equations
Gauss' law
What is the electrostatic field of a non-conductive sphere (it's radius is R) which has a
1585772034040.png

density charge distribution inside? ρ0 and R are parameters.

I started solving this with Gauss's law:
1585771866519.png

then:
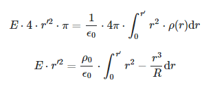
1585771887327.png

Solving the integral:
1585771903343.png

This means the electrostatic field of the sphere in r is:
1585771919260.png


Can you check if is this correct? If it isn't, what is the problem?
Thanks.
 
Physics news on Phys.org
Can you not simplify that answer? Also, the electric field is a vector.
 
Also, there are two regions in space with different functional dependence for the field, ##r'<R## and ##r' \geq R##. You found the field in the former but not the latter.
 

Similar threads

  • · Replies 5 ·
Replies
5
Views
1K
  • · Replies 4 ·
Replies
4
Views
4K
  • · Replies 4 ·
Replies
4
Views
2K
  • · Replies 2 ·
Replies
2
Views
5K
  • · Replies 1 ·
Replies
1
Views
2K
  • · Replies 37 ·
2
Replies
37
Views
13K
  • · Replies 16 ·
Replies
16
Views
2K
Replies
4
Views
5K
  • · Replies 12 ·
Replies
12
Views
1K
Replies
26
Views
6K