Energy: What will be the minimum ratio of m/M here

Click For Summary

Homework Help Overview

The problem involves two masses, m and M, connected by a string and affected by gravity. The objective is to determine the minimum ratio of m to M when the two blocks cross each other, as depicted in an accompanying image. The scenario requires understanding the forces and constraints acting on the masses as they move.

Discussion Character

  • Exploratory, Assumption checking, Problem interpretation

Approaches and Questions Raised

  • Participants discuss drawing free body diagrams (FBDs) and using trigonometric relationships to analyze the forces involved. Some express difficulty in forming equations and understanding the conditions under which the masses cross each other. Questions arise regarding the implications of the masses' relative sizes and the geometry of the setup.

Discussion Status

The discussion is ongoing, with participants sharing their attempts and insights. Some suggest that energy considerations may play a significant role in understanding the problem, while others are exploring the implications of different mass ratios. There is no explicit consensus on the correct approach or interpretation of the problem yet.

Contextual Notes

Participants note potential ambiguities in the problem statement, such as the definition of "crossing" and whether the pulleys have a specified radius. Additionally, there are constraints related to the geometry of the system and the assumptions made about the motion of the masses.

PhysicsBoi1908
Messages
50
Reaction score
12

Homework Statement


The objects are set free from the scenario shown in the attached image. Their masses have been given and they are under the effect of gravity. The length of the string has been shown in the figure. If the two blocks cross each other, then we need to determine the minimum value of m/M.

Homework Equations


I am having a hard time creating equations. I am not able to determine how the equations can be formed for this question.

The Attempt at a Solution


I tried using constraint, however, that was not of much help. I drew the diagram at intermediate and jotted down some equations with trigonometric ratios in them, but I wasn't able to make any conclusion.
Screen Shot 2018-08-31 at 12.36.51 AM.png
 

Attachments

  • Screen Shot 2018-08-31 at 12.36.51 AM.png
    Screen Shot 2018-08-31 at 12.36.51 AM.png
    87.5 KB · Views: 573
  • Like
Likes   Reactions: Delta2
Physics news on Phys.org
Try drawing the two FBDs as a starting point...
 
I did, we will have 2Tsinθ on the object with mass M in the upward direction, I then drew an intermediate diagram too, but it is not working out.
 
PhysicsBoi1908 said:
I did, we will have 2Tsinθ on the object with mass M in the upward direction, I then drew an intermediate diagram too, but it is not working out.
Can you please Upload a copy of your FBDs (in PDF or JPEG format), and write out the equations that you have written for the problem? That will help us to help you. Thanks. :smile:
 
This is the constraint diagram that I drew, this resulted in me writing a trigonometric equation that resulted in an error. I think I am making a mistake at the part where we are required to determine m/M such that they both "cross" each other, but I don't know for sure.
IMG_2589.jpg
 

Attachments

  • IMG_2589.jpg
    IMG_2589.jpg
    43.5 KB · Views: 505
If I understand it correctly, and I think I do, I think it is kind of simple. When they cross, the lengths will be equal on all of the lengths. You can even compute this length, and it is ## \frac{3}{2} L ##, because you have ## L_{total}=6L ##. In this case, when the diagram is symmetric, what happens if ## m>M ##? I think that is all this requires. The tension is symmetric around the pulleys. And it is not necessary to compute the tension or even the distance ## \frac{3}{2}L ##. Am I missing something? ## \\ ## The other thing I'm thinking though is that it requires a potential energy assessment, but scratch that=let's assume they cross each other and remain crossed.
 
Last edited:
@PhysicsBoi1908 -- Are the radii of the pulleys specified as zero, or at least implied? Also, do they say more explicitly what is meant by "crossing" of the masses? When they just touch top-to-bottom (in which case we need the vertical dimensions of each mass), or when their COMs cross? These questions change the geometry of the drawing...
 
That was bothering me too, however, I don't think that we will have to consider the pulley to have any radius. As for the objects crossing, we need to determine the minimum ratio of m/M, that leads me to think that we just need to have the objects touching each other, because if either of the masses will continue moving, then its mass will have to be relatively higher, but again, I don't know if I am right or wrong.
 
It might interest you that from energy considerations, the results give that ##\frac{m }{M} \geq 2 \sqrt{\frac{3}{5}}-1 \approx .55 ## if I computed it correctly, for ## m ## to ever be able to get even with ## M ##. It's difficult to assess the academic level that this problem is, and what exactly they are looking for. From a balance of forces, the answer is almost obvious, but there are a couple of ways to interpret it. ## \\ ## For the energy case, it would not remain balanced in that position=the heavier mass would fall back down. ## \\ ## The solution using energy considerations actually makes it a more interesting problem, but it does require the student to know that potential energy ## U=mgh ##.
 
Last edited:
  • Like
Likes   Reactions: PhysicsBoi1908 and Delta2
  • #10
Are we supposing that the final diagram will be symmetric because both of them will have the same velocity?
 
  • #11
For the balanced force case, the masses come to a stop if the ratio is the minimum=the answer for that case is ## \frac{m}{M}=1 ##. ## \\ ## For the energy consideration case, when ## \frac{m}{M} ## is at the minimum, they will both be slowing down and become stationary as they meet, so that the kinetic energy of each is zero. The only energy that needs to be computed there is the change in gravitational potential for each. The more I look at this problem, the more I think they might be looking for the student to consider the energy of the system. The statement of the problem just says "if the two blocks cross each other". It doesn't say that they need to remain crossed.
 
Last edited:
  • Like
Likes   Reactions: Delta2
  • #12
Yes! Even I arrived at m/M=1, but that isn't the answer, I just had an idea, I will try it out and report back in a few minutes.
 
  • Like
Likes   Reactions: Charles Link
  • #13
Can you please confirm if what I have done is correct? After this, I aim at writing x and l individually in terms of l via trigonometry, however, I am not able to establish the relation between angles that the string will make with each other.
I have attached an image, please check it.
 

Attachments

  • IMG_0881 3.jpg
    IMG_0881 3.jpg
    30.3 KB · Views: 381
  • #14
Any ideas on how we can relate x and y to l individually? The relation: x+y= 3½ is a relation having both x and y.
 
  • #15
You are starting to get the idea, but it stil needs some additional computing. What is the height of the two as they meet? I get that the mass ## m ## drops by a distance of ## \frac{\sqrt{5}}{2} L ##. (Compute the y distance when the hypotenuse is ## \frac{3}{2} L ## ).## \\ ## Then you also need to compute how much mass ## M ## rises, etc. That is actually straightforward. It starts out down below by ## \sqrt{3} L ##.
 
  • #16
How did the mass m drop by √5/2? Moreover, if it did, then we can say that since x+y=√3l, y=√3l-√5/2
 
  • #17
See my post 6 above. Hypotenuse=(3/2) L.
 
  • #18
Oh ok, I will try using it.
 
  • #19
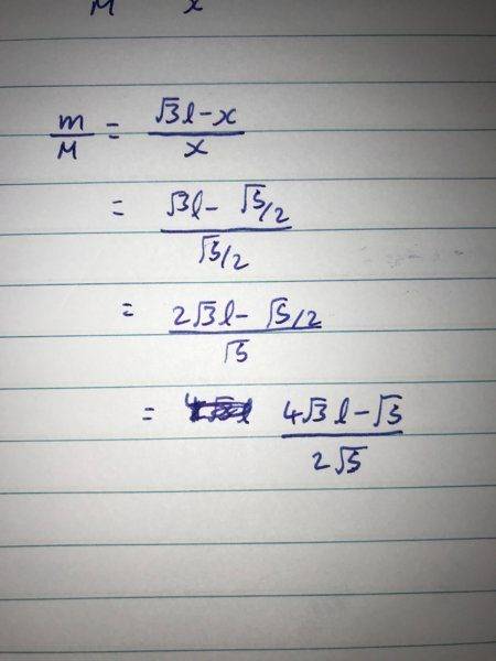
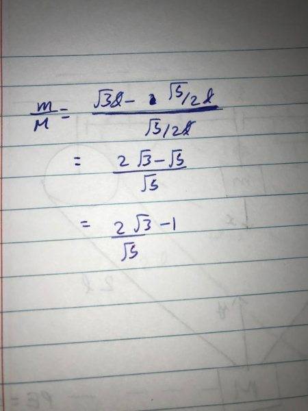
Plunging √5/2 into the equation m/M= (√3l-x)/x gives the following result:
 

Attachments

  • IMG_0882 2.jpg
    IMG_0882 2.jpg
    26.5 KB · Views: 398
  • #20
I corrected post 15=it needs an ## L ## multiplied by ## \frac{\sqrt{5}}{2} ##, i.e. ## x=\frac{\sqrt{5}}{2} L ##. You almost have the result. Check your arithmetic/algebra. I get ## \frac{m}{M}=2 \sqrt{\frac{3}{5}}-1 ##.
 
  • #21
Yes, I got it, however, I am not able to understand why the length of string=3l/2, of course, it is something rather obvious, but how can we prove it?
 

Attachments

  • IMG_0883.jpg
    IMG_0883.jpg
    26.2 KB · Views: 429
  • #22
The total length of the string is ## 6 L=2L+2L+L+L ##. You have 4 equal lengths, two on the left side and two on the right, going to the pulleys.
 
  • #23
Oh, ok, I will try asking my teacher if the answer is correct and report back. Thank you for your help.
 
  • Like
Likes   Reactions: Charles Link
  • #24
Additional comment: The clue is actually in the title of the thread that I am just looking at now="Energy". Looks like we might have interpreted it correctly. :smile::smile::smile:
 
  • Like
Likes   Reactions: Delta2 and PhysicsBoi1908
  • #25
Seems like it , I have sent our answer to my teacher, he will respond when he will be free, hopefully within a few hours
 
  • Like
Likes   Reactions: Charles Link
  • #26
If you try to form the differential equations of motion for this problem, they are going to be non linear cause as you already pointed out they ll contain term of ##\sin\theta(t)## and ##\tan\theta(t)## or possible square roots, so the only easy way I see is by energy methods as already Charles pointed out.
 
Last edited:
  • Like
Likes   Reactions: PhysicsBoi1908
  • #27
Yes, I tried forming such equations, but it only made the question more complex, the energy method is much nicer.
 
  • Like
Likes   Reactions: Delta2
  • #28
My sir hasn't replied yet, however, my friend has pointed out a mistake, according to what we have calculated, the ratio m/M is nearly 0.5, this signifies that M is greater than m, however, if that was to be the case, then the object of mass M will not go up, or will it because of initial tension?
 
  • #29
It will go up, simply because the body of mass m will go down (the only vertical force that is acting at start is its weight, there is no vertical component of tension initially) and by going down it will pull the strings towards its side*, so the body of mass M will go up. The whole point is whether the body of mass M will go up enough so that they meet.

*Unless of course the strings can be stretched or broken but I am sure we are not examining this case here.
 
  • Like
Likes   Reactions: Charles Link and PhysicsBoi1908
  • #30
This is what I thought, but my friend is not ready to accept it. Moreover, if m was to be heavier, then M will go up no matter what and will hence touch the mass m, the force acting on it will not be able to stop it since the angle that it is making will continue to decline, and so will the component of the force dragging it upwards. Thanks anyways.
 

Similar threads

  • · Replies 8 ·
Replies
8
Views
3K
  • · Replies 15 ·
Replies
15
Views
1K
  • · Replies 13 ·
Replies
13
Views
3K
  • · Replies 11 ·
Replies
11
Views
5K
  • · Replies 5 ·
Replies
5
Views
4K
Replies
17
Views
2K
Replies
24
Views
4K
  • · Replies 30 ·
2
Replies
30
Views
4K
  • · Replies 22 ·
Replies
22
Views
7K
  • · Replies 12 ·
Replies
12
Views
2K