Enqiry about an electrical motor's power

Click For Summary

Discussion Overview

The discussion revolves around calculating the power requirements for an electrical motor in a specific application, particularly focusing on the power needed for fans and pumps. Participants explore different methods to arrive at the power output, including considerations of efficiency and flow rates. The context includes both theoretical calculations and practical implications, with references to specific parts of a question set.

Discussion Character

  • Technical explanation
  • Mathematical reasoning
  • Debate/contested

Main Points Raised

  • One participant seeks clarification on how to demonstrate that the motor power is 10kW, indicating confusion in their calculations.
  • Another participant suggests calculating the required flow rate first, then the power needed to move gas, and adjusting for efficiency losses.
  • Multiple participants present calculations that suggest the power required is significantly higher than 10kW, with one arriving at 104kW using various methods.
  • One method involves calculating the head and flow rate, leading to a power requirement of 208kW, which is then halved for two fans.
  • Another method uses pressure and volumetric flow rate directly, yielding a similar power requirement of 104kW.
  • Participants discuss potential errors in the question's provided answers, with one noting that the expected power in part b should be about one-third of that calculated in part a.
  • There is mention of additional calculations for total power required over a discharge period, with different interpretations of what "additional electrical power" means.
  • One participant suggests that the question may be poorly worded, leading to confusion about the expected calculations.

Areas of Agreement / Disagreement

Participants do not reach a consensus on the correct power output, with multiple competing views on the calculations and interpretations of the question. There is disagreement regarding the accuracy of the book's answers and the methods used to arrive at the power requirements.

Contextual Notes

Participants express uncertainty about the assumptions made in their calculations, particularly regarding efficiency factors and the interpretation of the term "additional power." There are unresolved mathematical steps and dependencies on the definitions provided in the question.

Who May Find This Useful

This discussion may be useful for students or professionals involved in electrical engineering, particularly those working with motor power calculations and efficiency considerations in practical applications.

HHJ
Messages
11
Reaction score
0
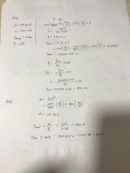
Any clue to to show that it is 10kW? Please tell me where i went wrong and thank you.

I tried and i just couldn't figure it out.
 

Attachments

  • 832AD8AE-E507-443C-B6CD-645E18786384.jpeg
    832AD8AE-E507-443C-B6CD-645E18786384.jpeg
    49.8 KB · Views: 721
  • image.jpg
    image.jpg
    19.3 KB · Views: 620
Engineering news on Phys.org
Only Q5b)
 
I would calculate the required flow rate first (125% of pumping requirement - from part a?), then the power required to move the gas. Then double that to account for the 50% loss in the fan. Then divide by two to get power of each fan.
 
CWatters said:
I would calculate the required flow rate first (125% of pumping requirement - from part a?), then the power required to move the gas. Then double that to account for the 50% loss in the fan. Then divide by two to get power of each fan.

Thanks i will try out get back to you soon..
 
For info: I notice you wrote "243kW" on the question sheet next to part a). If you multiply 234 * 100/65 you get 374kW.
 
I've just worked the numbers for Q5b and get a different answer to the book (eg not 10kW). I'll let you have a go before giving you my answer.
 
Tried i can get the answer, but i do not understand the working. Please Guide me
 

Attachments

  • image.jpg
    image.jpg
    22.2 KB · Views: 553
I looked at solving Q5b using three methods...

Method 1

This uses the same method as you used for Q5a...

h = 1.2*105/(1.225 * 9.81) = 9,986m

Flow rate Q is 125% of 2500 = 3125m3/h = 0.868 m3/S

P = ρ Q g h
= 1.225(kg/m3) * 0.868 (m3/S) * 9.81(m/S2) * 9,986(m)
= 104,163W
= 104kW

The fan and motor efficiency is 50% so the total power required is...
104 * 100/50 = 208kW

However there are two fans and motors and the question asks for the power of each fan so
208/2 = 104kW

So I think the answer is 104kW. (eg Not 10kW).

Method 2

From method 1...
P = ρ Q g h
but
ρgh = pressure
so..
P = Pressure * Volumetric flow rate (Q)

So this method does not use the density ρ and you do not need to calculate the equivalent head h...

They give you the pressure in the question (1.2bar = 120,000Pa).
Flow rate Q is same as method 1 = 0.868 m3/S

Power = 1.2*105 * 0.868 m3/S
= 104,160W
= 104kW

Then the same *2 and /2 gives answer 104kW for each motor. Same answer as method 1.

Method 3


Just as a check... Compare the data in parts a and b...

In part b the flow rate is 1.25x greater than part a
In part b the pressure is about 1/3 of that in part a (3.5bar/1.2bar is about 1/3)

So I would expect the total power in part b to be about 1/3 of that calculated in part a.
In part a the power was about 370kW so a figure of 104kW for part b seems reasonable (right order of magnitude).

So I think there is an error in the answer given in the question.
 
Last edited:
CWatters said:
I looked at solving Q5b using three methods...

Method 1

This uses the same method as you used for Q5a...

h = 1.2*105/(1.225 * 9.81) = 9,986m

Flow rate Q is 125% of 2500 = 3125m3/h = 0.868 m3/S

P = ρ Q g h
= 1.225(kg/m3) * 0.868 (m3/S) * 9.81(m/S2) * 9,986(m)
= 104,163W
= 104kW

The fan and motor efficiency is 50% so the total power required is...
104 * 100/50 = 208kW

However there are two fans and motors and the question asks for the power of each fan so
208/2 = 104kW

So I think the answer is 104kW. (eg Not 10kW).

Method 2

From method 1...
P = ρ Q g h
but
ρgh = pressure
so..
P = Pressure * Volumetric flow rate (Q)

So this method does not use the density ρ and you do not need to calculate the equivalent head h...

They give you the pressure in the question (1.2bar = 120,000Pa).
Flow rate Q is same as method 1 = 0.868 m3/S

Power = 1.2*105 * 0.868 m3/S
= 104,160W
= 104kW

Then the same *2 and /2 gives answer 104kW for each motor. Same answer as method 1.

Method 3


Just as a check... Compare the data in parts a and b...

In part b the flow rate is 1.25x greater than part a
In part b the pressure is about 1/3 of that in part a (3.5bar/1.2bar is about 1/3)

So I would expect the total power in part b to be about 1/3 of that calculated in part a.
In part a the power was about 370kW so a figure of 104kW for part b seems reasonable (right order of magnitude).

So I think there is an error in the answer given in the question.
Sir, you’re right. I consulted my lecturer he told me some answers are intentionally set “wrongly” allowing student to find mistakes, understand and solve. Since the answer for 5b) has been concluded 5c) to solve the additional power required :

No. Cargo oil pumps, Nc = 3 ( from part a.)
cargo oil pump power, Pc = 374 kW ( from part a.)
Load factor = 85%
Diversity factor = 90%

Additional power of cargo pump for the factors,
PEL = Nc * Pc * load factor * diversity factor
PEL = 3* 374* 85/100 * 90/100
PcEL = 853 kW


No. Inert gas fans,Nf = 2 ( from part b.)
Inert gas fan power, Pf = 104 kW ( from part b.)
Load factor = 85%
Diversity factor = 90%

Additional power of cargo pump for the factors,
PfEL = Nf * Pf * load factor * diversity factor
PfEL = 2* 104* 85/100 * 90/100
PfEL = 318 kW


Sum of total power required for the 24 hours discharge operation, PEL.

∴PEL = PfEL* PcEL
PEL = 853 + 318 = 1171kW


In this case again, the given answer(889kW) is also incorrect from what i can find


 
  • #10
I think the question is badly written. It asks you to calculate the "additional electrical power". I can think of three possible answers..

1) This is the average power over the discharge period.
This is the method you used but check your working (PfEL = 2* 104* 85/100 * 90/100 = 159.12 not 318 kW)

I got the following answer..
Pave = Pump Power * 85/100 * 90/100
= (3*374kW + 2*104kW) * 85/100 * 90/100
= 1017kW

2) Peak power during the discharge period. This is the power when both oil and inert gas pumps are running at the same time...

Ppeak = Pump Power * 85/100
= (3*374kW + 2*104kW) * 85/100
= 1131kW

3) Total energy used
ETot = Pump Power * 85/100 * 90/100 * 24
= (3*374kW + 2*104kW) * 85/100 * 90/100 * 24
= 24,419 kWH

None of my answers match the book answer.

I'm not sure why they use the word "additional"? Perhaps that should read "average"?
 

Similar threads

  • · Replies 7 ·
Replies
7
Views
2K
Replies
0
Views
2K
  • · Replies 15 ·
Replies
15
Views
3K
  • · Replies 8 ·
Replies
8
Views
4K
  • · Replies 5 ·
Replies
5
Views
2K
  • · Replies 11 ·
Replies
11
Views
2K
  • · Replies 5 ·
Replies
5
Views
3K
  • · Replies 5 ·
Replies
5
Views
3K
Replies
3
Views
2K
  • · Replies 1 ·
Replies
1
Views
1K