Equation for the angular position of a slider crank mechanism

Click For Summary

Discussion Overview

The discussion revolves around deriving an equation for the angular position (α) in a slider crank mechanism, given the lengths of the rods and an input angle (θ). Participants explore the complexities that arise when the mechanism's configuration passes 180 degrees, leading to challenges in formulating a consistent equation for all angle inputs.

Discussion Character

  • Exploratory
  • Technical explanation
  • Mathematical reasoning
  • Debate/contested

Main Points Raised

  • One participant seeks a formula for α that accommodates angles from 0 to 360 degrees without introducing sign changes when θ exceeds 180 degrees.
  • Another participant suggests establishing a systematic method for measuring angles to ensure consistency across definitions of α and γ.
  • There are discussions about the definitions of angles ACB, ABC, and CAB in different configurations of the mechanism.
  • Participants present equations involving trigonometric functions and the law of sines to relate the lengths of the rods and angles.
  • Concerns are raised about the validity of certain equations, particularly regarding the square root terms and their implications for physical constraints.
  • One participant mentions difficulties in determining the angle between velocities Vb and Vb' and how reference angles can lead to negative values.
  • Another participant highlights that negative values under the square root indicate a design constraint, specifically when one rod length exceeds another, leading to potential binding in the mechanism.

Areas of Agreement / Disagreement

Participants express various viewpoints on the definitions and equations related to the mechanism, with no consensus reached on a single formula that resolves all issues. Disagreements persist regarding the treatment of angles and the implications of certain configurations.

Contextual Notes

Limitations include unresolved assumptions about angle definitions, dependencies on specific configurations, and the implications of negative values under square roots in the context of physical constraints.

Who May Find This Useful

Readers interested in mechanical engineering, kinematics, or those working on similar slider crank mechanisms may find the discussion relevant.

Mech_LS24
Messages
148
Reaction score
16
TL;DR
I can't figure out how to setup a equation for the angle position of a slider crank mechanism. As the mechanism is driven by an angular velocity, the angle (theta) changes constantly. Theta is the angle which rotates the crank. I would like find the angle α (alpha) during the rotation of crank.
Hi!

I would like to know how I could define an equation for α with given the two lengths of the rods and angle theta (θ). I sketched the situation below, the problem arises when the rod Lab has pasts the 180 degrees.

Like to hear.

Slider_crank_mechanism.jpg
 
Engineering news on Phys.org
It seems
[tex]\alpha+\gamma+2\pi-\theta_2=\pi[/tex].
 
Last edited:
anuttarasammyak said:
It seems
α+γ+2π−θ2=π.
For θ2 you are correct (angles in radians). But using the same formula for θ1 doesn't work.

I would like to use θ as input in a worksheet, therefore one formula is demanded. So, the input will be angles between 0 and 360 degrees. When is larger as 180 there should be added a minus sign in the formula, this is what I want to avoid. But I can't figure out that formula because I get the errors with + and - signs which is also seen here with this formula.
 
If you want common equation for ##\theta_1## and ##\theta_2 ## you should set up a systematic rule to measure all the angles like ##\theta_1## and ##\theta_2## are both measured counterclockwise from x axis. In your figure I see two ##\alpha## angles and two ##\gamma## angles. In which way of measuring rule these angles show these same values ?
 
What do you mean with systematic way? I got two constants, Lab and Lbc, the two rod which moves the 'piston'. That should be used for the input of the angles?

In your post I see red text with yellow background?
 
I mean
How do you define ##\angle ACB## for B upside and B downside ?
How do you define ##\angle ABC## for B upside and B downside ?
How do you define ##\angle CAB## for B upside and B downside ?
 
Sorry, you're right, I am going to draw it. Please give me a moment
 
The sketches below is what I mean. In situation 2, I need to add an α' for getting the right γ-angle.

I changed the definitions of the angles, to correspond with the Law of sinus.

Slider_crank_mechanism (1).jpg

Slider_crank_mechanism_01.jpg
 
Do you mean same equation holds for the same two angles and large / small ##\alpha## ?
 
  • Like
Likes   Reactions: Mech_LS24
  • #10
anuttarasammyak said:
Do you mean same equation holds for the same two angles and large / small ##\alpha## ?
Yes, I need angle β for calculating the velocity for rod Lbc.
 
  • #11
Maybe this sketch gives a better indication. I need to know the angle between Vb (velocity of the rod) and Vb (tangent velocity of rod AB, so perpendicular with rod AB). This angle is depended on the input angle θ.

Could you help me with finding an equation for that?

Slider_crank_mechanism_02.jpg
 
  • #12
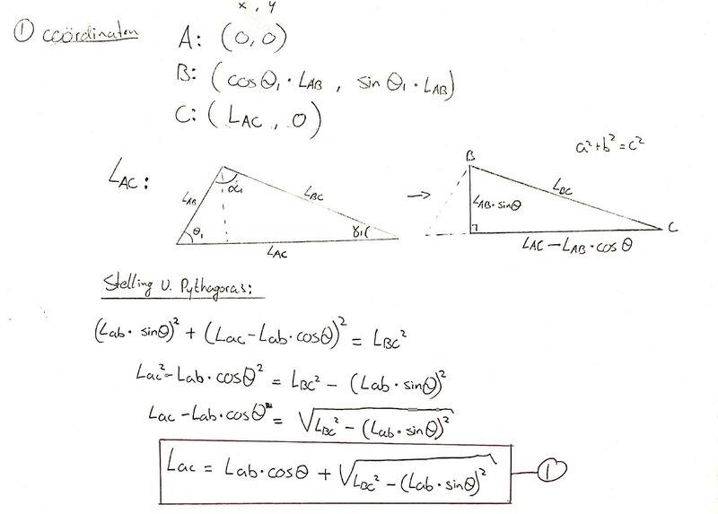
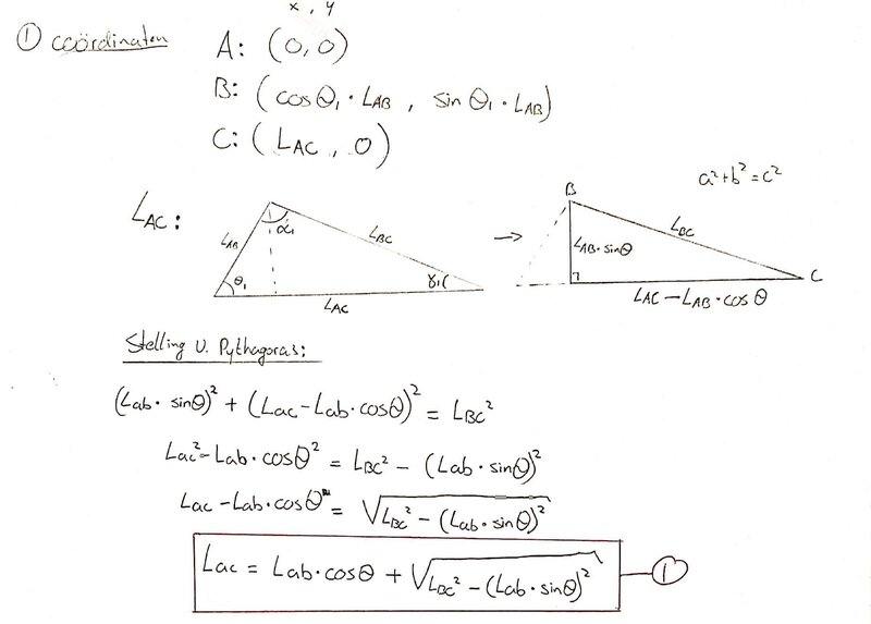
Though it might be not along your way, an analytic way is by introducing xy coordinate
[tex]A(0,0)[/tex]
[tex]B(L_{AB}\cos\theta,L_{AB}\sin\theta)[/tex]
[tex]C(L_{AC}(\theta),0)[/tex]
and the equation is
[tex](L_{AC}(\theta)-L_{AB}\cos\theta)^2+L_{AB}^2\sin^2\theta=L_{BC}^2[/tex]
[tex]L_{AC}(\theta)=L_{AB}\cos\theta+\sqrt{L_{BC}^2-L_{AB}^2\sin^2\theta}[/tex]
The velocity of rod is
[tex]\frac{d}{dt}L_{AC}(\theta)=\frac{d}{d\theta}L_{AC}(\theta)\ \ \dot{\theta}[/tex]
 
Last edited:
  • Like
Likes   Reactions: Mech_LS24
  • #13
Thanks,

What makes the x-coordinate of C the formula below? Shouldn't it not just be Lac?
[tex]C(L_{AC}(\theta),0)[/tex]

And the equation should be without the squares under the root, like below?:
[tex]L_{AC}(\theta)=L_{AB}\cos\theta+\sqrt{L_{BC}-L_{AB}\sin\theta}[/tex]

For example:
3^2 = 5^2 - 4^2
3 = sqrt((5^2) - (4^2)) doesn't make sense.

And, how to get that angle at point B in a single equation?

How did you come to that velocity differential equation? Could you give an example how to differentiate that velocity?
 
  • #14
Mech_LS24 said:
Shouldn't it not just be Lac?
I wrote it to make it clear that it is a function of ##\theta##.

Imagine what happens in your sketch when you choose minus sign.

##L_{AC}## given, you can get ##\angle ABC## by sine law.

##\frac{df(x)}{dt}=\frac{df}{dx}\frac{dx}{dt}## is the formula used. ##L_{AC}## is a function of ##\theta## and ##\theta## is a function of time.
 
Last edited:
  • Like
Likes   Reactions: Mech_LS24
  • #15
anuttarasammyak said:
I wrote it to make it clear that it is a function of θ.
👍, I just wanted to be sure.

anuttarasammyak said:
LAC given, you can get ∠ABC by sine law.

df(x)dt=dfdxdxdt is the formula used. LAC is a function of θ and θ is a function of time.
Good point, I am going to draw and calculate on scale for different situations later today, thanks!
 
  • #16
I have made the drawings on scale (with 4 different positions) and written the calculation for Lac as well. I ended up with the same equation as you for the length of Lac, so I do understand it. But I am issuing two problems now:
  1. With the law of sines I end up with two solutions, where 99.7 degrees should be the right outcome. The only way I could find that angle is by first calculation the angle of γ and use the summation towards the 180 degrees.
  2. An equation for the angle between Vb and Vb' is still hard to determine. As I have the issue that using 90 degrees as reference would result in minus values (see situation 2, on the page with the main sketches upper right).

Hopefully you get the message, I tried my best for the sketches and approaches towards the equations/calculations.

*Afterwards, I will look at the differential equation. I have some documentation about it now, so going to read that :)

Slider_crank.jpg

Slider_crank_02.jpg
 

Attachments

  • Slider_crank_01.jpg
    Slider_crank_01.jpg
    32.2 KB · Views: 260
  • #17
Mech_LS24 said:
An equation for the angle between Vb and Vb' is still hard to determine. As I have the issue that using 90 degrees as reference would result in minus values (see situation 2, on the page with the main sketches upper right).
The angle you say seems ##\angle ABC## - ##\pi/2## where
[tex]\angle ABC = \sin^{-1} [\frac{L_{AB}\cos\theta+\sqrt{L_{BC}^2-L_{AB}^2\sin^2\theta}}{L_{BC}}\ sin\theta\ ][/tex]
Do you have a problem of its sign ?
 
Last edited:
  • #18
You are right, I managed it to plot it in Excel, see result below.

Thanks for your help and active participation! :)
1628187469379.png
 
  • Like
Likes   Reactions: anuttarasammyak
  • #19
Mech_LS24 said:
You are right, I managed it to plot it in Excel, see result below.

Thanks for your help and active participation! :)
View attachment 287140
I got the sam task as homework, but I am stuck in excel because of the negative values under the root..How did you manage to solve it?
 
  • #20
Bence2002 said:
I got the sam task as homework, but I am stuck in excel because of the negative values under the root..How did you manage to solve it?
The value under the root cannot be negative, it is a design constraint.

The only way it can be negative is if ##L_{AB} \gt L_{BC}##. If that is the case, when ##AB## is at 90° with the cylinder ##AC##, the link ##BC## wouldn't be long enough to reach the cylinder. The mechanism would therefore bind before reaching that point.
 
  • #21
jack action said:
The value under the root cannot be negative, it is a design constraint.

The only way it can be negative is if ##L_{AB} \gt L_{BC}##. If that is the case, when ##AB## is at 90° with the cylinder ##AC##, the link ##BC## wouldn't be long enough to reach the cylinder. The mechanism would therefore bind before reaching that point.
Thank you!
I managed to solve it later, I made a stupid mistake 😅
It's all good now :)
 
  • Like
Likes   Reactions: jack action

Similar threads

Replies
7
Views
3K
Replies
7
Views
5K
  • · Replies 13 ·
Replies
13
Views
4K
  • · Replies 3 ·
Replies
3
Views
14K
  • · Replies 2 ·
Replies
2
Views
4K
Replies
9
Views
3K
Replies
6
Views
6K
Replies
6
Views
7K
  • · Replies 8 ·
Replies
8
Views
4K
Replies
10
Views
4K